JEE Main 2017 B.Arch Question paper with Answer key PDF Conducted on April 2 is available for download. The exam was successfully organized by Central Board Of Secondary Education (CBSE). In terms of difficulty level, B.Arch was of Moderate level. The question paper comprised a total of 80 questions divided among 3 sections.
JEE Main 2017 B.Arch Question Paper with Answer Key PDF – April 2 (Code X)
| JEE Main 2017 Question Paper PDF | JEE Main 2017 Answer key PDF |
|---|---|
| Download PDF | Available Soon |
JEE Main 2017 Question Paper Analysis
- Maths was the toughest section out of the three
- In aptitude section, there was a change of pattern this time. Some questions (like counting surfaces or counting shapes) were removed and in place certain more easy questions were included.
- Drawing section was lengthy. And students might have found it difficult to complete it
For every correct answer, candidates got 4 and for each wrong attempt -1 marks were deducted.
JEE Main Previous Year Question Papers
Candidates can solve the question papers of the previous year to analyze their performance levels. To enhance the accuracy level, candidates are advised to solve JEE Main Question Papers daily. JEE Main B.Arch year wise and subject wise question paper links with answer key PDFs are provided below:
| JEE Main 2021 Question Papers | JEE Main 2020 Question Papers |
| JEE Main 2019 Question Papers | JEE Main 2018 Question Papers |














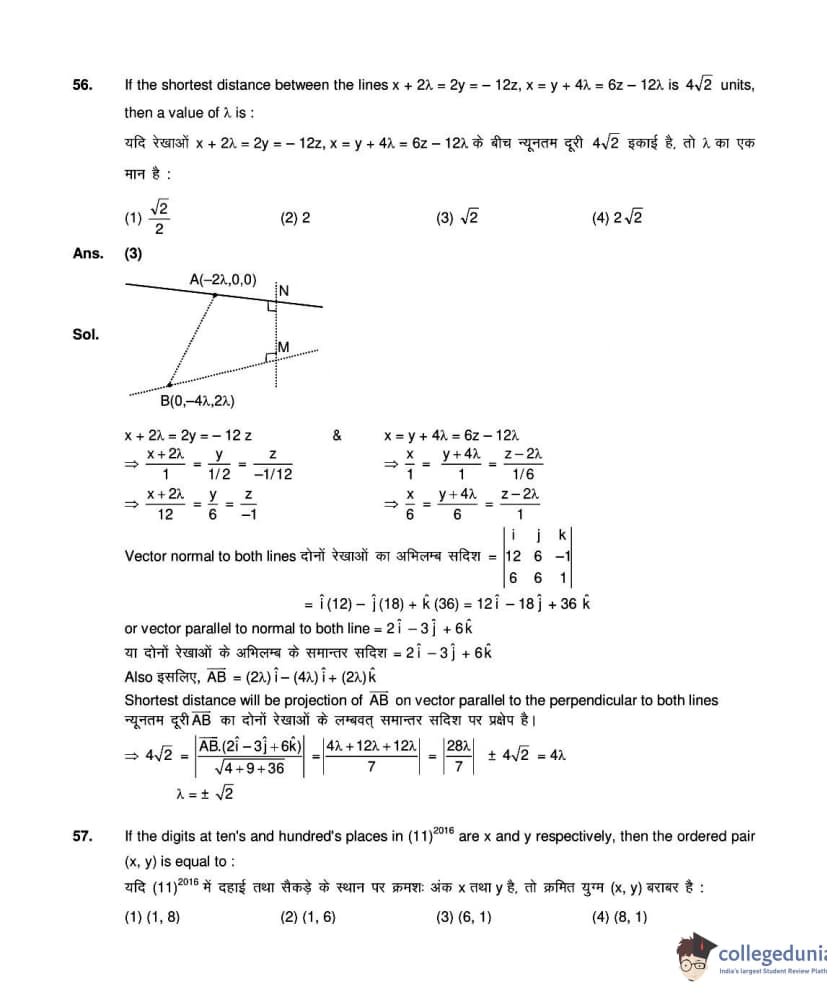
Comments