JEE Main 2018 B.E./B.Tech Question Paper with Answer Key for the exam conducted on April 08 in the Afternoon Session (2:30 PM to 5:30 PM) is available for download. The exam was successfully concluded by CBSE (Central Board of Secondary Education).Candidates rated JEE Main 2018 B.E./B.Tech Question Paper as tough in terms of overall difficulty.The question paper comprises a total of 90 questions. The 90 questions were distributed across three main sections i.e. Physics, Chemistry, and Mathematics.
JEE Main B.E./B.Tech 2018 Question Paper with Answer Key PDFs - April 08 (Afternoon Session)
| JEE Main 2018 Question Paper | JEE Main 2018 Answer Key |
|---|---|
| Download PDF | Download PDF |
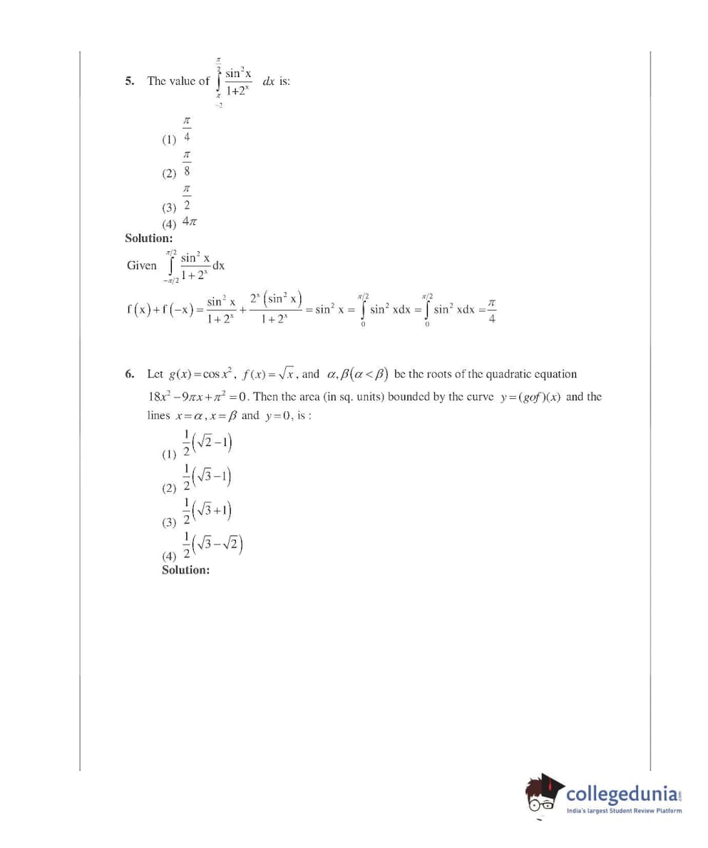
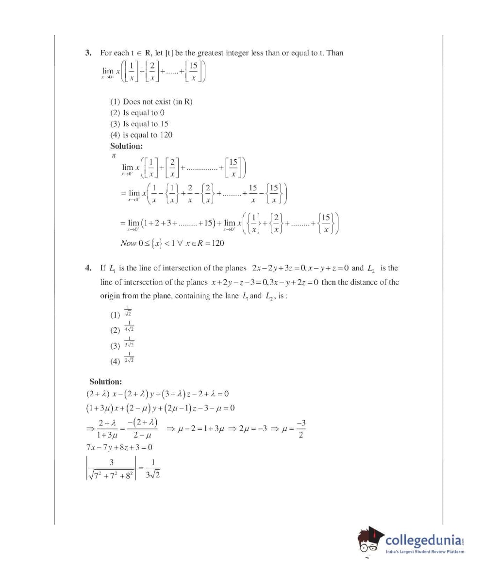
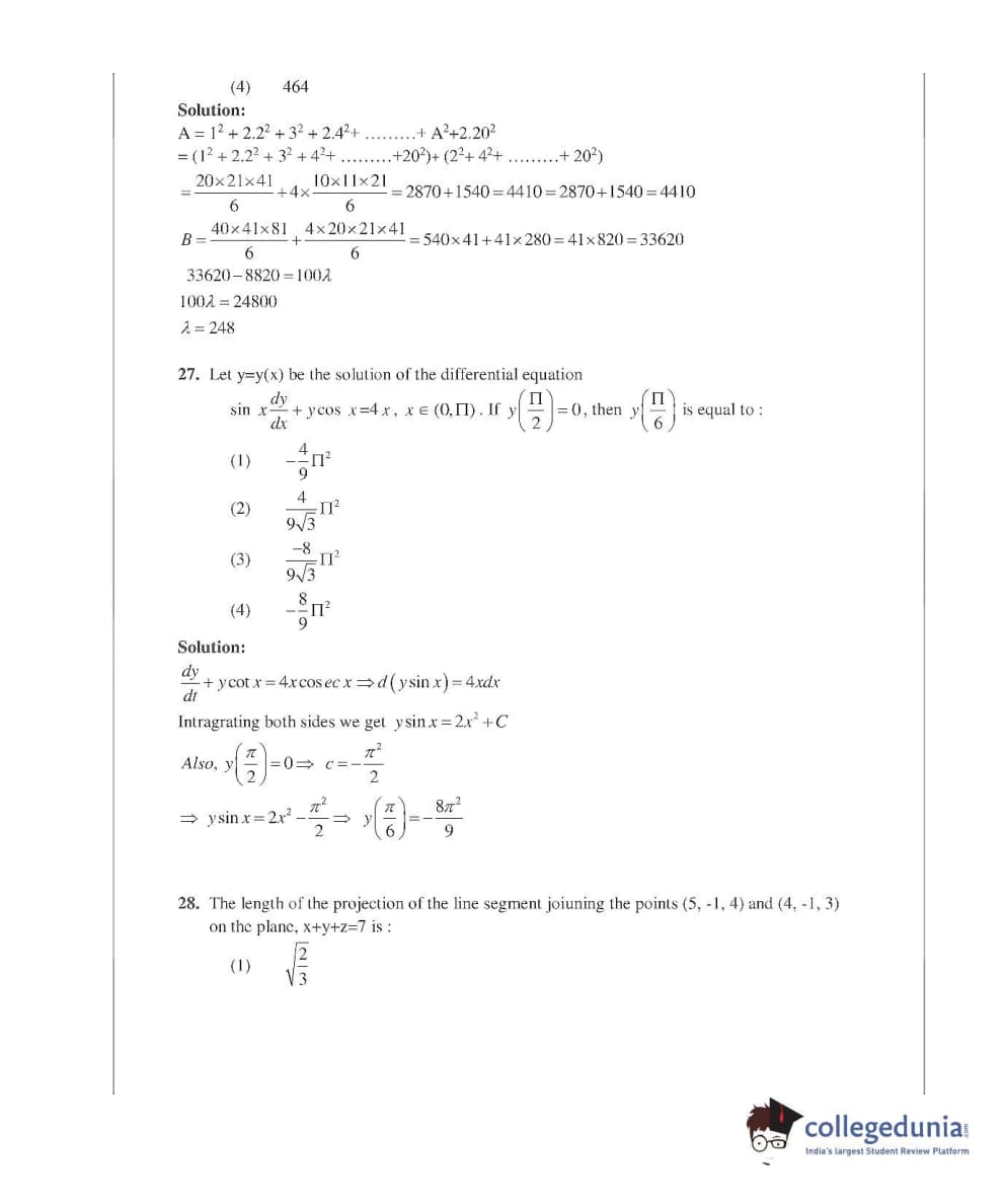
JEE Main B.E./B.Tech 2018 Paper Analysis
- The most difficult section in the exam was Physics. Candidates had a tough time to solve a few of the questions.
- Easiest of all was the Chemistry section. Candidates did not have to think out of the box to solve it. Many of the questions were direct.
- Mathematics section was moderate in level of difficulty. But many students found Mathematics as tough and a lengthy paper.
- This time, the distribution of questions from class 11 was comparatively higher than class 12 for Mathematics.
- Topics that were found easy: Integration, Conic Sections, Semiconductor, Optics.
- Electrodynamics and Mechanics flooded the questions in Physics.
JEE Main B.E./B.Tech Previous Year Question Papers
Candidates can solve the question papers of the previous year to analyze their performance levels. To enhance the accuracy level, candidates are advised to solve JEE Main Question Papers daily. JEE Main B.E./B.Tech year wise and subject wise question paper links with answer key PDFs are provided below:
| JEE Main 2021 Question Papers | JEE Main 2020 Question Papers |
| JEE Main 2019 Question Papers | JEE Main 2018 Question Papers |








Comments