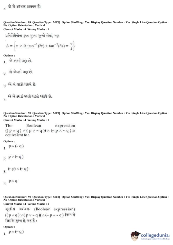
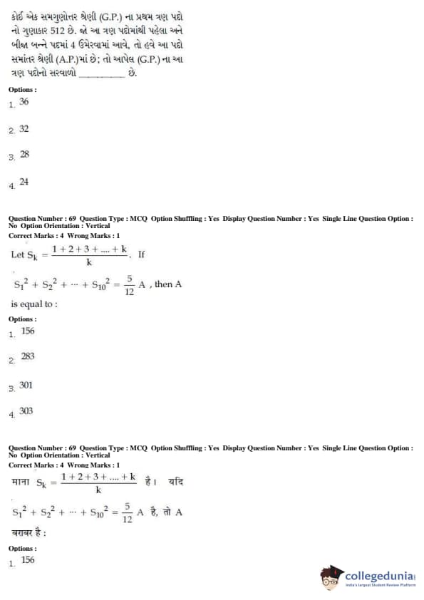
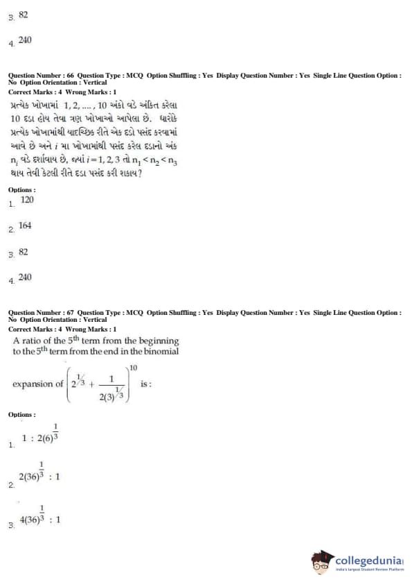
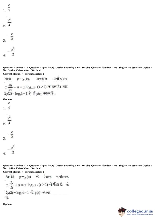
JEE Main 2019 B.E./B.Tech was the last day of the January session. It was held from 9:30 AM to 12:30 PM. The exam was rated moderate. The question paper was distributed among the three sections (Physics, Chemistry, and Mathematics). Each section carried a total of 120 marks divided between 30 questions. Each question was accountable for holding 4 marks.
JEE Main 2019 B.E./B.Tech Question Paper- January 12 (Forenoon)
| JEE Main 2019 Question Paper | JEE Main 2019 Answer Key |
|---|---|
| Download PDF | Download PDF |
Quick Links:
| JEE Main 2022 Physics Preparation | JEE Main 2022 Chemistry Preparation | JEE Main 2022 Mathematics Preparation |
JEE Main 2019 B.E./B.Tech Paper Analysis
- Chemistry section was the easiest section among all the sections. Most of the questions were related to Inorganic Chemistry. The listed questions in the Check section were less time-consuming
- The Physics section was the most difficult aspect of the question paper. The candidates found the questions tricky and more complex than any other section. NCERT was proven a helpful tool for the students
- The difficulty level of the Mathematics section falls between easy and difficult. The question paper was a combination of both complex and easy questions
A score between 75-80 would be considered a good score.
Quick Links:
| JEE Main Mathematics Syllabus | JEE Main Physics Syllabus | JEE Main Chemistry Syllabus | JEE Main B.Arch/B.Planning Syllabus |
JEE Main Previous Year Question Papers
Candidates can solve the question papers of the previous year to analyze their performance levels. To enhance the accuracy level, candidates are advised to solve JEE Main Question Papers daily. JEE Main B.Arch year wise and subject wise question paper links with answer key PDFs are provided below:













Comments