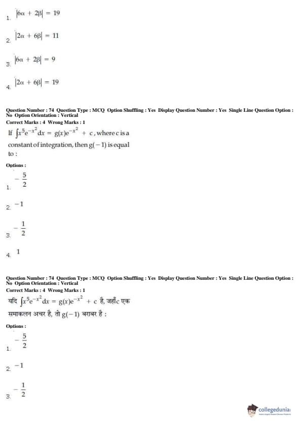
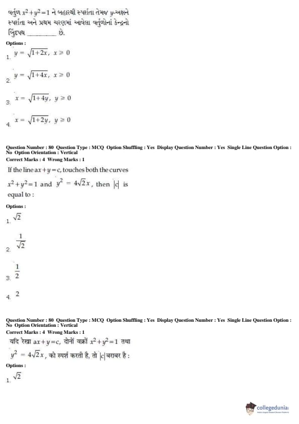
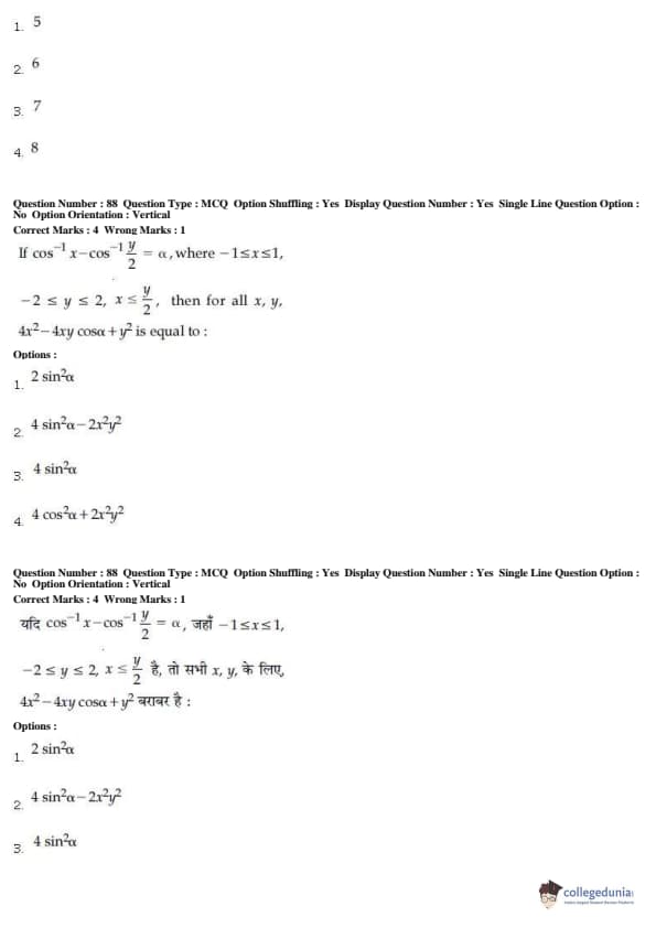
JEE Main 2019 B.E./B.Tech was rated easier than the January session. The overall difficulty level was rated easy to moderate. JEE Main 2019 B.E./B.Tech questions paper had three parts i.e. Physics, Chemistry and Mathematics. Almost all the chapters from class 11th and 12th from Chemistry, Mathematics, and Physics section made their contribution in the question paper. Students would be rewarded with 4 marks on attempting every correct answer. 1 mark would be deducted for every incorrect answer. No marks would be deducted for the unattempted questions.
JEE Main 2019 B.E./B.Tech Question Paper- April 10 (Afternoon)
| JEE Main 2019 Question Paper | JEE Main 2019 Answer Key |
|---|---|
| Download PDF | Download PDF |
Quick Links:
| JEE Main 2022 Physics Preparation | JEE Main 2022 Chemistry Preparation | JEE Main 2022 Mathematics Preparation |
JEE MAIN 2019 B.E./B.Tech Exam Pattern and Paper Wise Analysis
A total of 90 questions constituted the question paper of JEE Main 2019 B.E./B.Tech April 10 Afternoon Session. Each question carried 4 marks..
- Mathematics- As per the candidates, the Mathematics section had mixed questions. Most of the questions were easy and moderate, yet time consuming at the same time
- Physics- As compared to April 8 and 9, the Physics section was easy yet the most difficult section among all the three section
- Chemistry- Chemistry was the easiest section among all the three sections. The number of tricky questions were on the lower side
Quick Links:
| JEE Main Mathematics Syllabus | JEE Main Physics Syllabus | JEE Main Chemistry Syllabus | JEE Main B.Arch/B.Planning Syllabus |
JEE Main B.E./B.Tech Question Paper with Answer Key PDFs
Candidates can solve the question papers of the previous year to analyze their performance levels. To enhance the accuracy level, candidates are advised to solve JEE Main Question Papers daily. JEE Main B.E./B.Tech year wise and subject wise question paper links with answer key PDFs are provided below:









Comments