JEE Main Paper 1 April Session Forenoon Slot was conducted on April 8, between 9:30 AM to 12:30 PM. As per the test-takers, the overall difficulty level was rated moderate. Students reported the April session to be of the same level of difficulty as the January session. The Physics section was the most difficult section in the question paper. A total of 90 questions were listed by NTA. Each question carried 4 marks. NCERT plays a crucial role in solving the questions.
JEE Main 2019 B.E./B.Tech Question Paper- April 8(Forenoon)
| JEE Main 2019 Question Paper | JEE Main 2019 Answer Key |
|---|---|
| Download PDF | Download PDF |
Quick Links:
| JEE Main 2022 Physics Preparation | JEE Main 2022 Chemistry Preparation | JEE Main 2022 Mathematics Preparation |
JEE Main 2019 B.E./B.Tech Question Paper - Paper Analysis
JEE Main 2019 B.E./B.Tech Question Paper- Paper Analysis
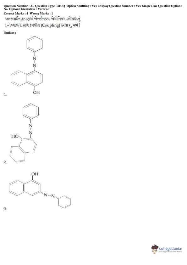
- The Chemistry was the easiest section than Mathematics and Physics
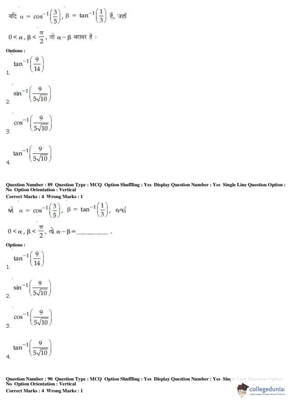
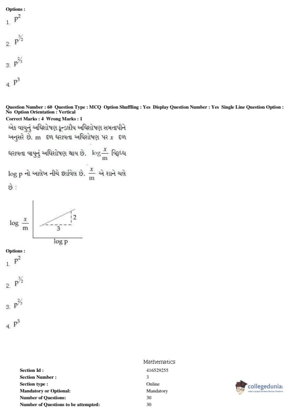
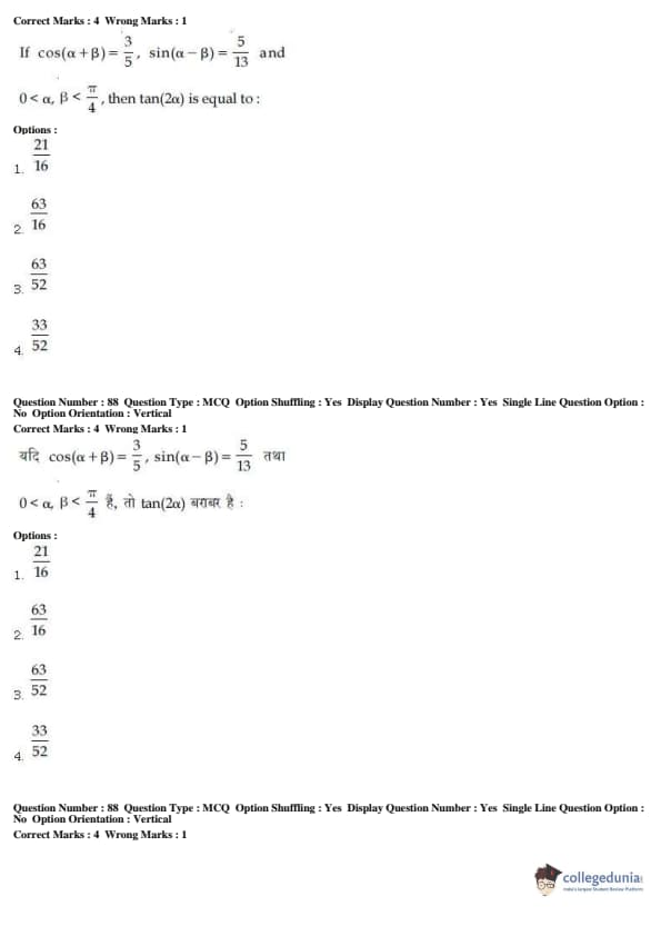
- The Mathematics section was overall moderate. Majority of the questions were asked from the NCERT and 11th syllabus
- The questions from the Physics section were tricky and more time-consuming
- The cutoff for the same goes upto 80-85
| Sections | Difficulty Level | Analysis |
|---|---|---|
| Physics | The most difficult section to attempt | Most of the questions appeared from class 11th |
| Chemistry | Competitively Easy | There was no involvement of tricky questions. Most of the questions were factual based |
| Mathematics | Easy to moderate | Some of the test-takers rated Mathematics at an easy level. None of the questions listed from Mathematical Induction chapter |
Also Check:
| JEE Main Mathematics Syllabus | JEE Main Physics Syllabus | JEE Main Chemistry Syllabus | JEE Main B.Arch/B.Planning Syllabus |
JEE Main Previous Year Question Papers
Candidates can solve the question papers of the previous year to analyze their performance levels. To enhance the accuracy level, candidates are advised to solve JEE Main Question Papers daily. JEE Main B.Arch year wise and subject wise question paper links with answer key PDFs are provided below:









Comments