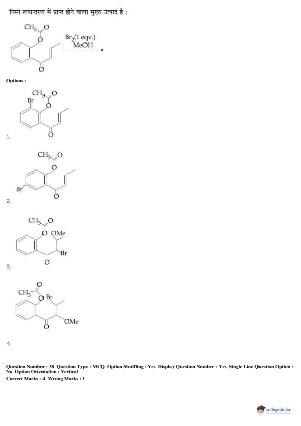
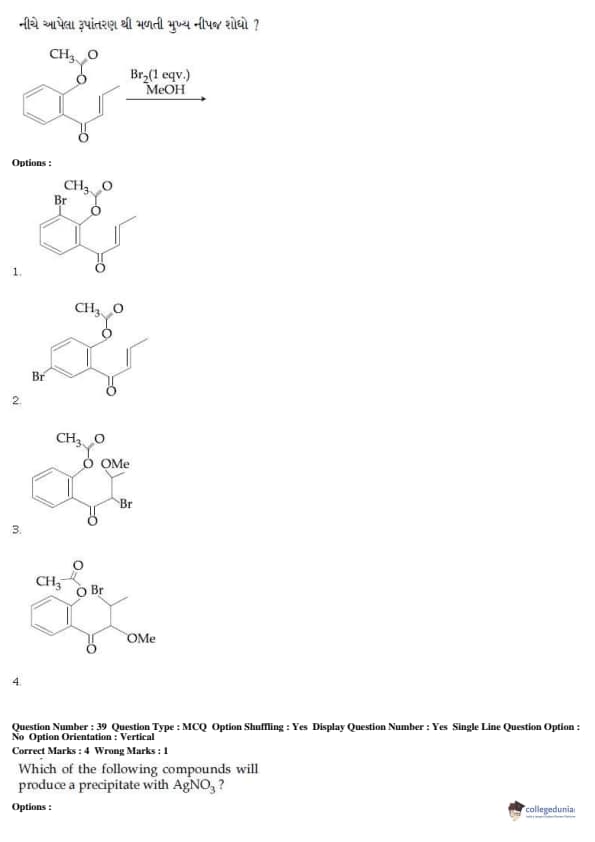
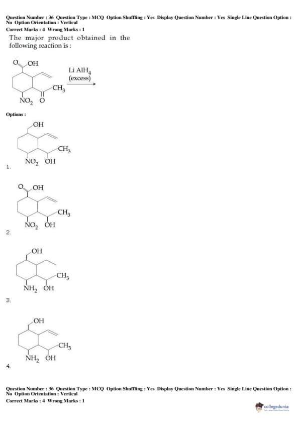
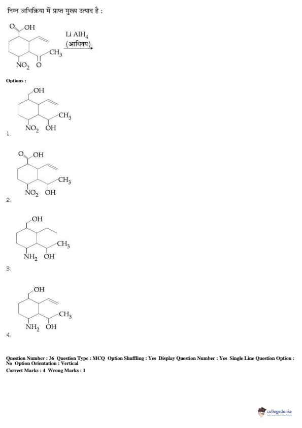
JEE Main 2019 was B.E./B.Tech Afternoon session was rated moderate. The exam was conducted between 2:30 PM to 5:30 PM by NTA (National Testing Agency).
Download last 10 years JEE Main Question Papers
JEE Main 2019 B.E./B.Tech Question Paper- January 11, 2019- Afternoon Session)
| JEE Main 2019 Question Paper | JEE Main 2019 Answer Key |
|---|---|
| Download PDF | Download PDF |
Quick Links:
| JEE Main 2022 Physics Preparation | JEE Main 2022 Chemistry Preparation | JEE Main 2022 Mathematics Preparation |
JEE Main 2019 Question Paper: Paper Analysis
The question paper was a set of 90 questions that were divided into three parts i.e. Physics, Chemistry, and Mathematics. Each of the sections carried an equal number of 30 questions. Most of the questions listed in the question paper were of moderate level. Please have a look at the below-mentioned table in order to get the complete analysis of questions as per the sections in terms of difficulty level-
| Difficulty Level | Mathematics | Physics | Chemistry |
|---|---|---|---|
| Easy | 10-12 | 7-8 | 12-15 |
| Moderate | 11-13 | 15-17 | 10-12 |
| Difficult | 4-6 | 5-7 | 3-5 |
As per the specified marking scheme, students were entitled to gain 4 marks for every correct answer. JEE Main follows a negative marking scheme. As per the negative marking scheme, 1 mark must be reduced every time a candidate's attempted question turns out to be an incorrect answer.
Quick Links:
| JEE Main Mathematics Syllabus | JEE Main Physics Syllabus | JEE Main Chemistry Syllabus | JEE Main B.Arch/B.Planning Syllabus |
JEE Main B.E./B.Tech Question Paper with Answer Key PDFs
Candidates can solve the question papers of the previous year to analyze their performance levels. To enhance the accuracy level, candidates are advised to solve JEE Main Question Papers daily. JEE Main B.E./B.Tech year wise and subject wise question paper links with answer key PDFs are provided below:









Comments