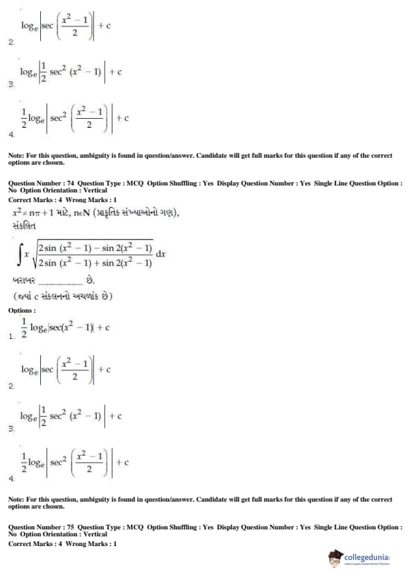
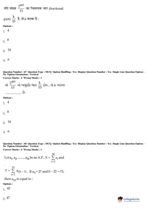
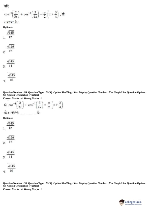
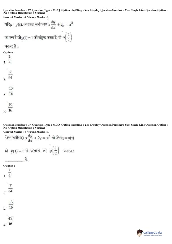
JEE Main 2019 B.E./B.Tech Forenoon Session was rated moderate to difficult. The exam commenced at 9:30 AM and concluded at 12:30 PM. As per the candidates, Physics section again gained the rank of most difficult section. The Mathematics section was also seen on the tougher side in the question paper. The Chemistry section was moderate, yet the Chemistry section was the easiest section as compared to the other sections.
Download last 10 years JEE Main Question Papers
JEE Main 2019 B.E./B.Tech Question Paper- January 09, 2019- Forenoon Session)
| JEE Main 2019 Question Paper | JEE Main 2019 Answer Key |
|---|---|
| Download PDF | Download PDF |
Quick Links:
| JEE Main 2022 Physics Preparation | JEE Main 2022 Chemistry Preparation | JEE Main 2022 Mathematics Preparation |
JEE Main B.E./B.Tech Distribution of Questions as per Sections and Topics
Chemistry- 9 questions appeared from Organic Chemistry. Inorganic and Physical Chemistry were accountable for carrying 12 and 9 questions respectively
Mathematics- 10 questions were related to Algebra. 8 questions were from Calculus, Coordinate Geometry and Trigonometry carried 6 questions each
Physics- 8 questions asked from Mechanics, 6 from Heat & Thermodynamics, 4 from Electrostatics & Magnetism, 7 from questions from Current Electricity & EMI, and 5 from 5 questions from Optics & Modern Physics
Quick Links:
| JEE Main Mathematics Syllabus | JEE Main Physics Syllabus | JEE Main Chemistry Syllabus | JEE Main B.Arch/B.Planning Syllabus |
JEE Main B.E./B.Tech Question Paper with Answer Key PDFs
Candidates can solve the question papers of the previous year to analyze their performance levels. To enhance the accuracy level, candidates are advised to solve JEE Main Question Papers daily. JEE Main B.E./B.Tech year wise and subject wise question paper links with answer key PDFs are provided below:










Comments