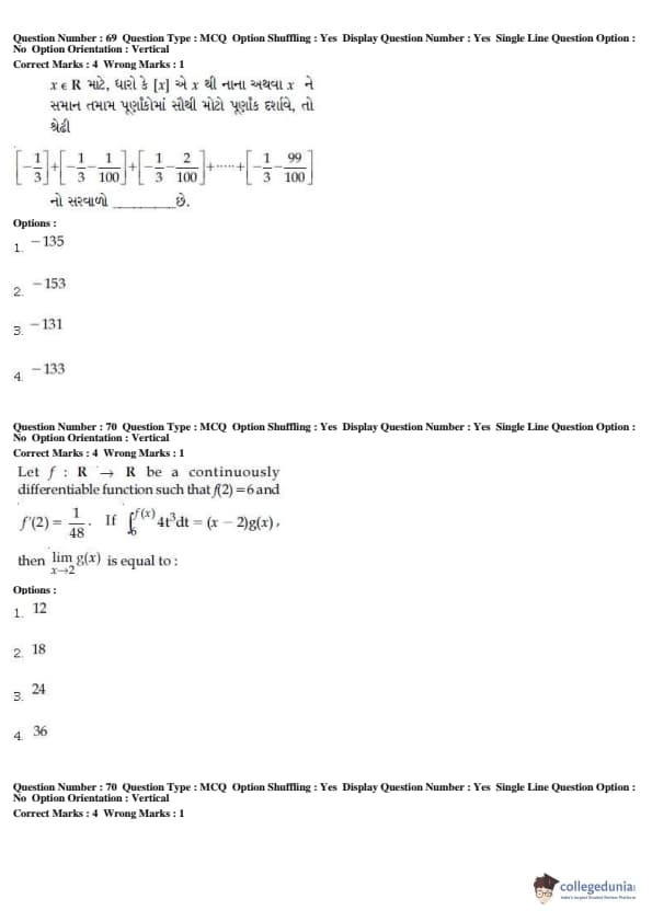
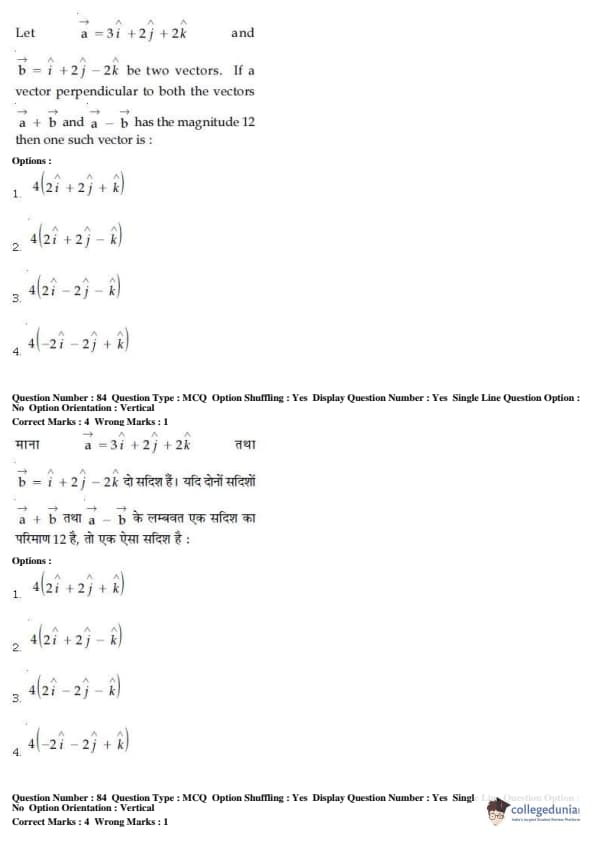
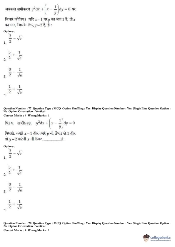
JEE Main 2019 B.E./B.Tech Question Paper with Answer Key for the exam conducted on April 12 in the Afternoon Session (2:30 PM to 5:30 PM) is available for download. The exam was successfully concluded by NTA (National Testing Agency) for the first time. Candidates rated JEE Main 2019 Question Paper as easy to moderate in terms of overall difficulty. The question paper comprises a total of 90 questions. The 90 questions were distributed across three main sections i.e. Physics, Chemistry, and Mathematics.
JEE Main 2019 B.E./B.Tech Question Paper- April 12(Afternoon)
| JEE Main 2019 Question Paper | JEE Main 2019 Answer Key |
|---|---|
| Download PDF | Download PDF |
Quick Links:
| JEE Main 2022 Physics Preparation | JEE Main 2022 Chemistry Preparation | JEE Main 2022 Mathematics Preparation |
JEE Main 2019 Question Paper: Paper Analysis
- 8-9 questions were lengthy in the Mathematics section. Very less number of questions were based on Formula
- Equal number of questions were asked from class 11th and class 12th in the Mathematics section
- Surprisingly, the Physics section was as compared to the previous slots
- 9-10 questions were based on formulas
- The Chemistry section has been the easiest section in the entire session. 2-3 questions appeared from the last year
Please go through the below-mentioned the see the details of number of listed questions as per the difficulty level and carried marks-
| Sections | No. Of Questions Asked | Carried Marks | Difficulty Level |
|---|---|---|---|
| Chemistry | 30 | 120 | Easy |
| Physics | 30 | 120 | Easy to Moderate |
| Mathematics | 30 | 120 | Moderate |
| Total | 90 | 360 |
Quick Links:
| JEE Main Mathematics Syllabus | JEE Main Physics Syllabus | JEE Main Chemistry Syllabus | JEE Main B.Arch/B.Planning Syllabus |
JEE Main B.E./B.Tech Question Paper with Answer Key PDFs
Candidates can solve the question papers of the previous year to analyze their performance levels. To enhance the accuracy level, candidates are advised to solve JEE Main Question Papers daily. JEE Main B.E./B.Tech year wise and subject wise question paper links with answer key PDFs are provided below:









Comments