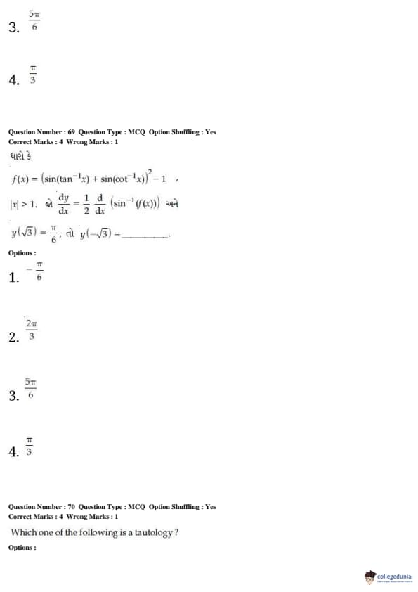
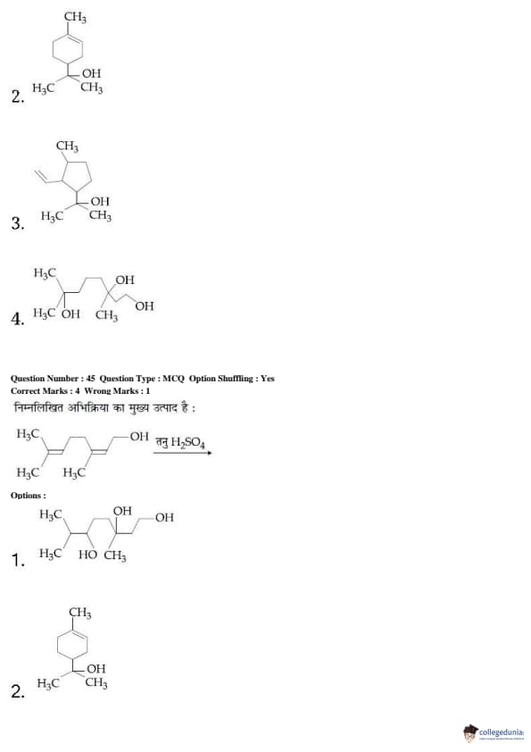
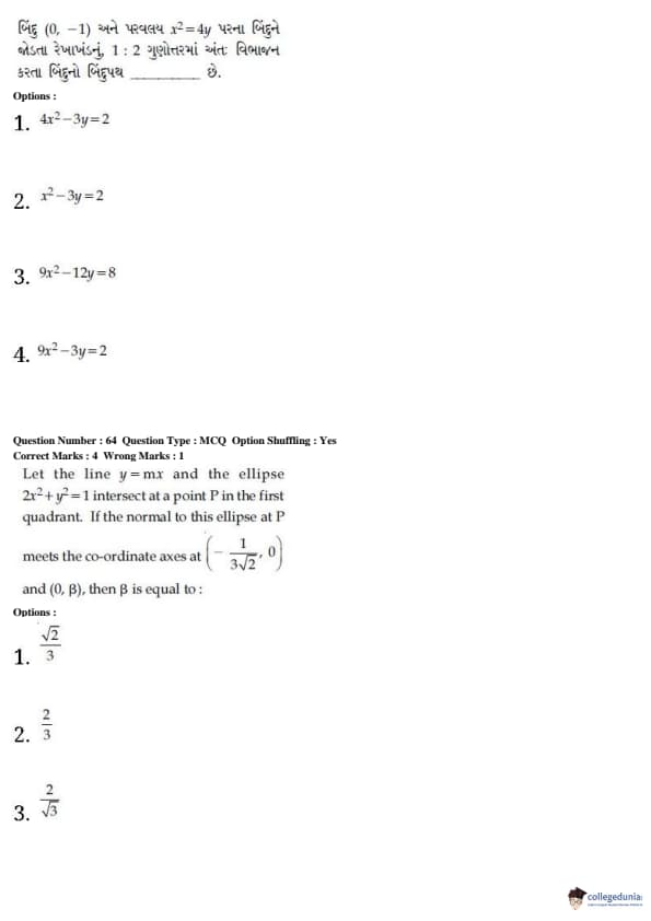
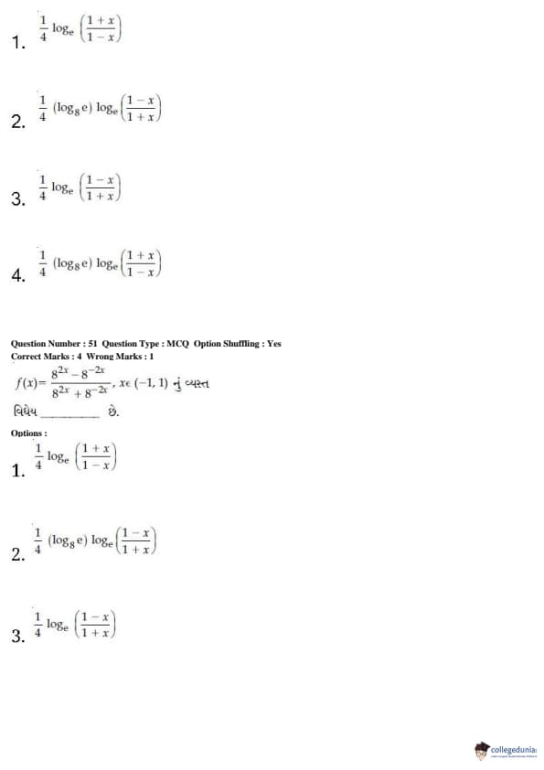
JEE Main 2020 B.E./B.Tech Question Paper for January 8, 2020, was rated to be average on the difficulty level by the experts. Following the trends set by the previous year’s JEE Main Paper Analysis, the Mathematics section of the paper was the toughest section. Calculus (8 Questions), and Coordinate Geometry (3 Questions) were the dominant units in Mathematics. Contrary to Mathematics, Physics was the easiest section of the paper with Mechanics (9 Questions) and Electrodynamics (7 Questions) being the dominant units. The remaining section, Chemistry, was moderate in terms of difficulty, with questions based on Physical Chemistry and Inorganic Chemistry being in majority.
JEE Main B.E./B.Tech Question Paper- January 8, 2020 Shift 1
Candidates preparing for JEE Main 2022 can download the question paper pdf along with its answer key pdf for January 8, 2020, B.tech exam from the links provided below.
| JEE MAIN 2020 Question Paper | JEE MAIN 2020 Answer Key |
|---|---|
| Download PDF | Download PDF |
JEE Main B.E./B.Tech Question Paper January 8, 2020 (Shift 1): Weightage of Class XI and Class XII Topics
JEE Main B.Tech/ B.E exam features topics from both Class XI and Class XII. The distribution of topics from Class XI and Class XII in the paper is as follows. See JEE Main Syllabus
| Subject | Class 11 Topics Weightage | Class 12 Topics Weightage |
|---|---|---|
| Maths | 45% | 55% |
| Physics | 47% | 54% |
| Chemistry | 46% | 52% |
| Overall | 44.65% | 55.35% |
JEE Main B.E./B.Tech Previous Year Question Paper with Answer Key PDFs
JEE Main B.E./B.Tech Previous Year Question Papers with solutions are available at the links below for the students to download.
| JEE Main 2020 Question Paper | JEE Main 2019 Question Paper | JEE Main 2018 Question Paper |
| JEE Main Physics Question Paper | JEE Main Maths Question Paper | JEE Main Chemistry Question Paper |













Comments