JEE Main 2020 B.E./B.Tech Question Paper for Sept 6 Morning session was moderate in terms of difficulty level. The mathematics section was the toughest among the three while Chemistry was the easiest.
Candidates preparing for JEE Main 2022 can check the question paper and answer key PDF below to prepare better for the exam.
JEE Main B.E./B.Tech Question Paper- September 6, 2020 (Morning Session)
| JEE MAIN 2020 Question Paper | JEE MAIN 2020 Answer Key |
|---|---|
| Download PDF | Download PDF |
JEE Main 2020 B.E./B.Tech Question Paper with Answer Key– Sept 6 (Morning Shift) Paper Analysis
- Questions from Optics, Modern Physics, Electrostatics and Magnetism, EMI and thermodynamics were asked in physics.
- Numerical Questions in Physics were mostly asked from class 11th syllabus while theoretical portion was mainly from class 12th.
- Mathematics section was moderate to difficult following the earlier trend. Questions were lengthy and that made the paper a bit tougher.
- Questions from Calculus, Trignometry, Algebra and Geometry had more weightage. Conic section and 3-D had toughest questions.
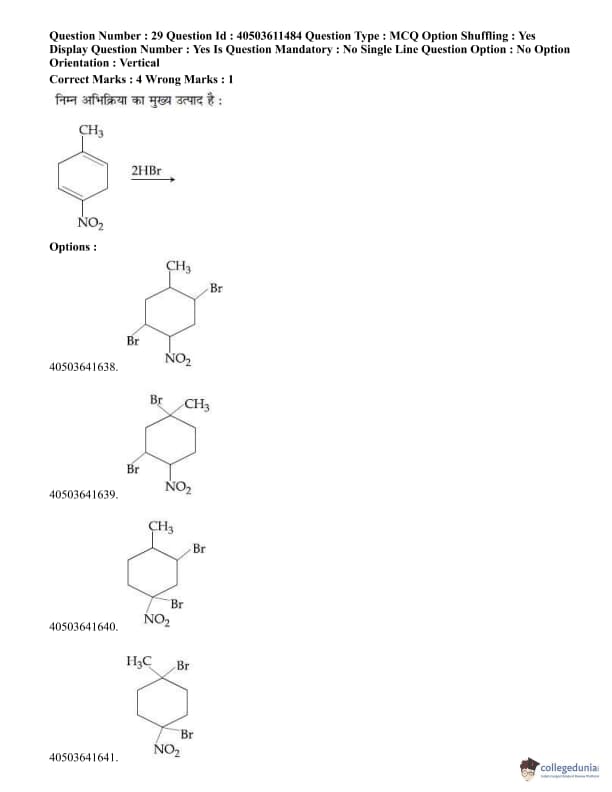
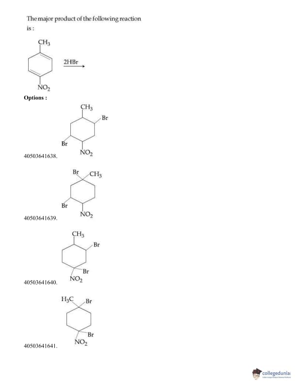
- Chemistry was again easiest of all the sections but had some tricky questions. NCERT based direct questions were asked.
- Questions from Chemical bonding, Co-ordination compound, were asked majorly. Inorganic chemistry had most weightage.
- An attempt of 38-42 questions will be considered safe score.
JEE Main B.E/ B. Tech Previous Year Question Paper with Answer Key PDFs
Previous year question papers are a good way to practice and improve skills for an exam, so Collegedunia has provided JEE Main Previous year Question Paper with Solutions PDF for the students to download.
| JEE Main 2020 Question Paper | JEE Main 2019 Question Paper | JEE Main 2018 Question Paper |
| JEE Main Physics Question Paper | JEE Main Maths Question Paper | JEE Main Chemistry Question Paper |














Comments