JEE Main 2021 बी.ई/बी.टेक प्रश्न पत्र- 27 जुलाई, 2021- विशेषज्ञ कोचिंग संस्थानों द्वारा प्रभात को मध्यम रूप से कठिन माना गया। परीक्षा JEE Main के तीसरे सत्र की दूसरी परीक्षा थी। परीक्षा की मध्यम कठिनाई के लिए एक बड़ा योगदान कारक गणित खंड था, जिसमें विशेष रूप से संभाव्यता और विभेदक गणना से कठिन और लंबे प्रश्न थे। कठिनाई के मामले में दूसरा भौतिकी खंड था, जिसमें यांत्रिकी और आधुनिक भौतिकी से महत्वपूर्ण मात्रा में प्रश्न थे। जटिलता और सिद्धांत-आधारित प्रश्नों के संदर्भ में रसायन विज्ञान अनुभाग का कठिनाई स्तर भौतिकी अनुभाग के बराबर था; रसायन विज्ञान खंड में सबसे बड़ा योगदानकर्ता कार्बनिक रसायन विज्ञान (I और II) था। JEE Main 2022 की तैयारी कर रहे उम्मीदवार, 27 जुलाई 2021, प्रभात सत्र के लिए उत्तर कुंजी पीडीएफ के साथ प्रश्न पत्र नीचे से डाउनलोड कर सकते हैं:
JEE Main बी.ई/बी.टेक प्रश्न पत्र- 27 जुलाई, 2021 प्रभात
| JEE Main2021 प्रश्न पत्र | JEE Main2021 उत्तर कुंजी |
|---|---|
| डाउनलोड पीडीऍफ़ | डाउनलोड पीडीऍफ़ |
JEE Main 2021 बी.ई/बी.टेक प्रश्न पत्र 27 जुलाई (प्रभात सत्र): पेपर विश्लेषण
JEE Main 2021 बी.ई/बी.टेक पेपर 27 जुलाई को प्रभात 9.00 बजे से शाम 12.00 बजे के बीच आयोजित किया गया था, प्रत्येक इकाई के लिए पेपर विश्लेषण इस प्रकार है।
| विषय | विषय | प्रश्नों की संख्या |
|---|---|---|
| भौतिक विज्ञान | बिजली का गतिविज्ञान | 3 |
| गर्मी और ऊष्मप्रवैगिकी | 3 | |
| यांत्रिकी | 13 | |
| आधुनिक भौतिकी | 8 | |
| प्रकाशिकी | 1 | |
| एसएचएम और लहरें | 2 | |
| रसायन विज्ञान | अकार्बनिक रसायन I | 3 |
| अकार्बनिक रसायन विज्ञान II | 4 | |
| कार्बनिक रसायन I | 7 | |
| कार्बनिक रसायन II | 9 | |
| भौतिक रसायन विज्ञान I | 5 | |
| भौतिक रसायन विज्ञान II | 2 | |
| गणित | द्विपद प्रमेय | 2 |
| निर्देशांक ज्यामिति | 2 | |
| अंतर कलन | 4 | |
| समाकलन गणित | 2 | |
| क्रमपरिवर्तन और संयोजन | 3 | |
| संभावना | 2 | |
| वेक्टर और 3डी | 2 | |
| आंकड़े | 2 | |
| द्विघातीय समीकरण | 3 | |
| गणितीय तर्क | 2 | |
| त्रिकोणमिति | 2 | |
| मैट्रिक्स और निर्धारक | 2 | |
| गणित का मूल सिद्धांत | 2 |
विस्तृत प्रश्न पत्र विश्लेषण के लिए, देखें- JEE Main प्रश्न पत्र विश्लेषण
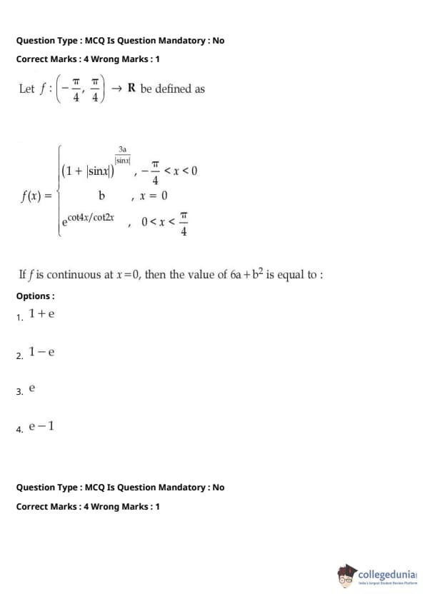
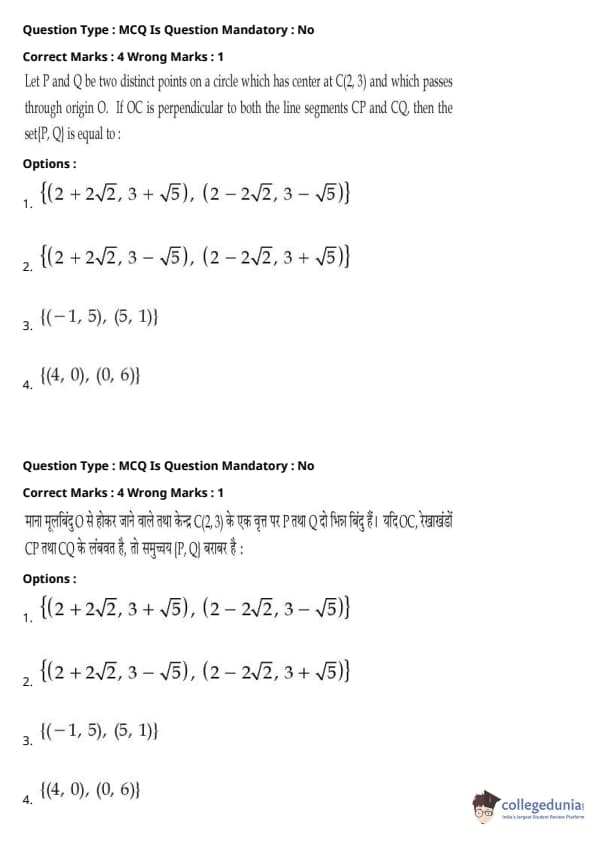
JEE Main 2021 Questions with Solutions
उत्तर कुंजी पीडीएफ के साथ JEE Main बी.ई / बी.टेक प्रश्न पत्र
उम्मीदवारों को यथासंभव पिछले वर्ष के प्रश्न पत्रों का प्रयास और अभ्यास करना चाहिए। कॉलेजडुनिया ने जेईई मेन बीई/बीटेक प्रश्न पत्र के लिए उत्तर कुंजी पीडीएफ के साथ लिंक नीचे दिए हैं:
| JEE Main 2020 प्रश्न पत्र | JEE Main 2019 प्रश्न पत्र | JEE Main 2018 प्रश्न पत्र |
| JEE Main भौतिकी प्रश्न पत्र | JEE Main मैथ्स प्रश्न पत्र | JEE Main रसायन विज्ञान प्रश्न पत्र |








Comments