JEE Main 2021 B.E./B.Tech ਪ੍ਰਸ਼ਨ ਪੱਤਰ - 27 ਜੁਲਾਈ, 2021- ਦੁਪਹਿਰ ਦੇ ਸੈਸ਼ਨ ਨੂੰ ਵਿਦਿਆਰਥੀਆਂ ਅਤੇ ਮਾਹਰਾਂ ਦੁਆਰਾ ਸਮੁੱਚੀ ਮੁਸ਼ਕਲ ਦੇ ਰੂਪ ਵਿੱਚ ਮੱਧਮ ਦਰਜਾ ਦਿੱਤਾ ਗਿਆ ਸੀ। ਪੇਪਰ ਨੂੰ ਤਿੰਨ ਭਾਗਾਂ ਦੇ ਮੁਸ਼ਕਲ ਪੱਧਰਾਂ ਦੇ ਰੂਪ ਵਿੱਚ ਚੰਗੀ ਤਰ੍ਹਾਂ ਸੰਤੁਲਿਤ ਵੀ ਕਿਹਾ ਗਿਆ ਸੀ। ਸੰਸ਼ੋਧਿਤ JEE Main ਪ੍ਰੀਖਿਆ ਪੈਟਰਨ ਦੇ ਅਨੁਸਾਰ, ਹਰੇਕ ਭਾਗ ਤੋਂ ਕੁੱਲ 30 ਪ੍ਰਸ਼ਨ ਪੁੱਛੇ ਗਏ ਸਨ, ਸੈਕਸ਼ਨ ਵਿੱਚ ਉਮੀਦਵਾਰ ਦੁਆਰਾ 25 ਪ੍ਰਸ਼ਨਾਂ ਦੀ ਕੋਸ਼ਿਸ਼ ਕੀਤੀ ਜਾਣੀ ਸੀ। JEE Main 2022 ਲਈ ਟੀਚਾ ਰੱਖਣ ਵਾਲੇ ਉਮੀਦਵਾਰ ਅਭਿਆਸ ਅਤੇ ਵਿਸ਼ਲੇਸ਼ਣ ਲਈ ਹੇਠਾਂ ਦਿੱਤੇ ਸੈਸ਼ਨ ਲਈ ਉੱਤਰ ਕੁੰਜੀ PDF ਦੇ ਨਾਲ ਪ੍ਰਸ਼ਨ ਪੱਤਰ ਡਾਊਨਲੋਡ ਕਰ ਸਕਦੇ ਹਨ।
JEE Main ਬੀ.ਈ./ਬੀ.ਟੈਕ ਪ੍ਰਸ਼ਨ ਪੱਤਰ- ਜੁਲਾਈ 27, 2021 (ਪੂਰਵ ਦੁਪਹਿਰ)
| JEE MAIN 2021 ਪ੍ਰਸ਼ਨ ਪੱਤਰ | JEE MAIN 2021 ਉੱਤਰ ਕੁੰਜੀ |
|---|---|
| PDF ਡਾਊਨਲੋਡ ਕਰੋ | PDF ਡਾਊਨਲੋਡ ਕਰੋ |
JEE Main 2021 B.E./B.Tech ਪ੍ਰਸ਼ਨ ਪੱਤਰ 27 ਜੁਲਾਈ (FN): ਪੇਪਰ ਵਿਸ਼ਲੇਸ਼ਣ
JEE Main 2021 B.E./B.Tech 27 ਜੁਲਾਈ ਦਾ ਫੋਰੇਨੂਨ ਪੇਪਰ ਸਵੇਰੇ 9.00 ਵਜੇ ਤੋਂ ਦੁਪਹਿਰ 12.00 ਵਜੇ ਤੱਕ ਆਯੋਜਿਤ ਕੀਤਾ ਗਿਆ ਸੀ ਅਤੇ ਇਸ ਨੂੰ ਦਰਮਿਆਨੀ ਮੁਸ਼ਕਲ ਦਾ ਪੱਧਰ ਦੱਸਿਆ ਗਿਆ ਸੀ।
- ਆਮ ਵਾਂਗ, ਗਣਿਤ ਇਮਤਿਹਾਨ ਦਾ ਸਭ ਤੋਂ ਔਖਾ ਭਾਗ ਸੀ, ਜਿਸ ਵਿੱਚ ਇੰਟੈਗਰਲਸ ਅਤੇ ਅਲਜਬਰਾ ਦੇ ਸਵਾਲ ਲੰਬੇ ਸਨ।
- ਗਣਿਤ ਵਿੱਚ ਪ੍ਰਮੁੱਖ ਇਕਾਈਆਂ ਸਨ - ਡਿਫਰੈਂਸ਼ੀਅਲ ਕੈਲਕੂਲਸ (20%), ਇੰਟੈਗਰਲ ਕੈਲਕੂਲਸ (20%), ਕੋਆਰਡੀਨੇਟ ਜਿਓਮੈਟਰੀ (12%), ਅਤੇ ਵੈਕਟਰ ਅਤੇ 3D (12%)
- ਭੌਤਿਕ ਵਿਗਿਆਨ ਭਾਗ ਦੂਜੇ ਭਾਗਾਂ ਨਾਲੋਂ ਤੁਲਨਾਤਮਕ ਤੌਰ 'ਤੇ ਆਸਾਨ ਸੀ। ਹਾਲਾਂਕਿ ਗਣਨਾ-ਆਧਾਰਿਤ ਪ੍ਰਸ਼ਨਾਂ ਦੀ ਗਿਣਤੀ ਥਿਊਰੀ-ਅਧਾਰਿਤ ਪ੍ਰਸ਼ਨਾਂ ਨਾਲੋਂ ਵੱਧ ਸੀ, ਉਹ ਜਿਆਦਾਤਰ ਛੋਟੇ ਸਨ ਅਤੇ ਸਿੱਧੇ ਫਾਰਮੂਲੇ ਦੇ ਇੱਕ ਜਾਂ ਹੋਰ ਭਿੰਨਤਾਵਾਂ ਨੂੰ ਸ਼ਾਮਲ ਕਰਦੇ ਸਨ।
- ਭੌਤਿਕ ਵਿਗਿਆਨ ਵਿੱਚ ਪ੍ਰਮੁੱਖ ਇਕਾਈਆਂ ਮਕੈਨਿਕਸ (37%) ਅਤੇ ਆਧੁਨਿਕ ਭੌਤਿਕ ਵਿਗਿਆਨ (24%) ਸਨ।
- ਕੈਮਿਸਟਰੀ ਸੈਕਸ਼ਨ ਮੁਸ਼ਕਲ ਪੱਖੋਂ ਹੈਰਾਨੀਜਨਕ ਸੀ। JEE Main ਪਿਛਲੇ ਸਾਲ ਦੇ ਪੇਪਰ ਵਿਸ਼ਲੇਸ਼ਣ ਦੁਆਰਾ ਅਨੁਮਾਨਿਤ ਰੁਝਾਨਾਂ ਨੂੰ ਪਰੇਸ਼ਾਨ ਕਰਦੇ ਹੋਏ, ਕੈਮਿਸਟਰੀ ਸੈਕਸ਼ਨ ਪੇਪਰ ਦਾ ਦੂਜਾ ਸਭ ਤੋਂ ਮੁਸ਼ਕਲ ਭਾਗ ਸੀ।
- ਕੈਮਿਸਟਰੀ ਸੈਕਸ਼ਨ ਵਿੱਚ, ਪ੍ਰਮੁੱਖ ਇਕਾਈਆਂ ਸਨ - ਆਰਗੈਨਿਕ ਕੈਮਿਸਟਰੀ II (30%), ਫਿਜ਼ੀਕਲ ਕੈਮਿਸਟਰੀ I (20%), ਅਤੇ ਫਿਜ਼ੀਕਲ ਕੈਮਿਸਟਰੀ II (18%)
- ਪੇਪਰ ਵਿੱਚ 12ਵੀਂ ਜਮਾਤ ਦੇ ਸਿਲੇਬਸ ਵਿੱਚੋਂ ਲਗਭਗ 48 ਸਵਾਲ ਪੁੱਛੇ ਗਏ ਸਨ, ਅਤੇ 11ਵੀਂ ਜਮਾਤ ਦੇ ਸਿਲੇਬਸ ਵਿੱਚੋਂ ਲਗਭਗ 42 ਸਵਾਲ ਪੁੱਛੇ ਗਏ ਸਨ।
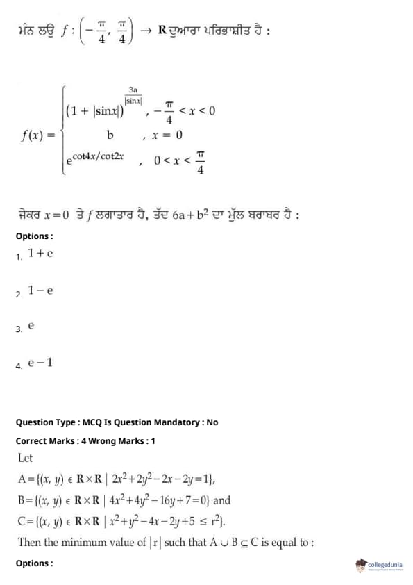
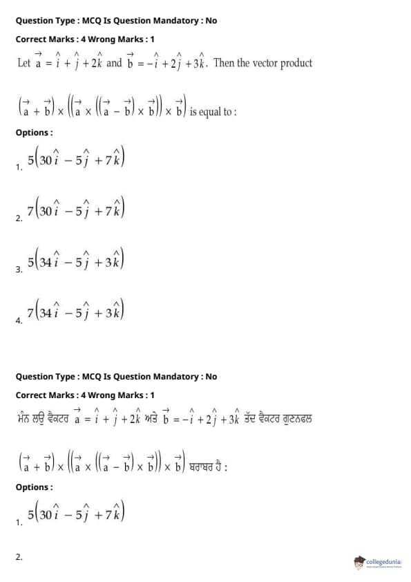
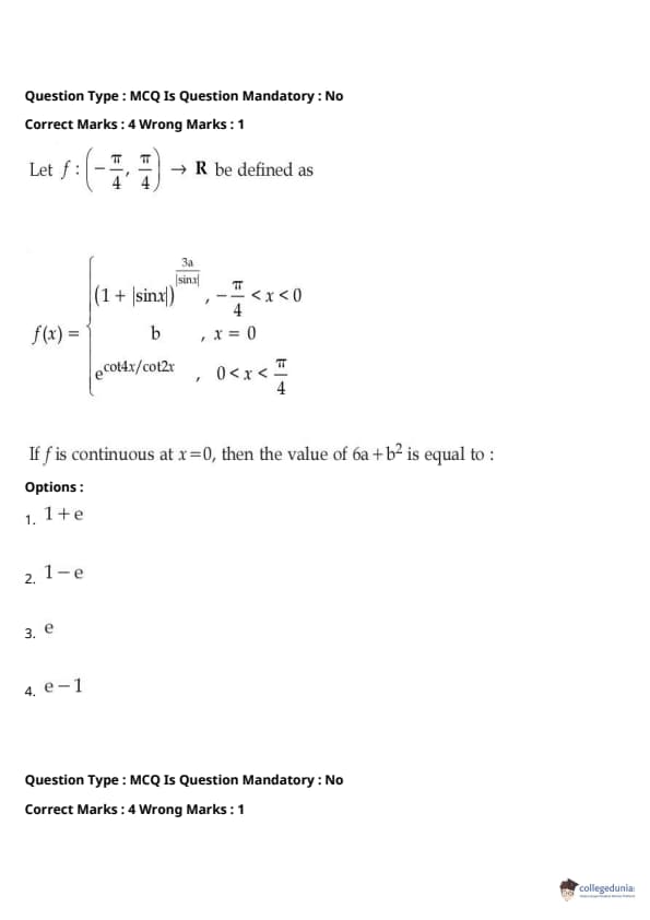
JEE Main 2021 Questions with Solutions
ਜਵਾਬ ਕੁੰਜੀ PDF ਦੇ ਨਾਲ JEE Main B.E/ B. ਟੈਕ ਪ੍ਰਸ਼ਨ ਪੱਤਰ
ਪ੍ਰੀਖਿਆ ਵਿੱਚ ਪ੍ਰਤੀਯੋਗੀ ਰੈਂਕ ਹਾਸਲ ਕਰਨ ਲਈ JEE Main ਪ੍ਰਸ਼ਨ ਪੱਤਰਾਂ ਨੂੰ ਹੱਲ ਕਰਨਾ ਲਾਜ਼ਮੀ ਹੈ। JEE Main ਪਿਛਲੇ ਸਾਲ ਦੇ ਪ੍ਰਸ਼ਨ ਪੱਤਰਾਂ ਦੀ ਕੋਸ਼ਿਸ਼ ਕਰਨਾ ਨਾ ਸਿਰਫ਼ ਇੱਕ ਚਾਹਵਾਨ ਨੂੰ ਉਸਦੀ ਗਤੀ ਨੂੰ ਬਿਹਤਰ ਬਣਾਉਣ ਵਿੱਚ ਮਦਦ ਕਰੇਗਾ ਬਲਕਿ ਉਸਦੇ ਆਤਮ ਵਿਸ਼ਵਾਸ ਨੂੰ ਵੀ ਵਧਾਏਗਾ। ਇੱਕ ਵਾਧੂ ਪਲੱਸ ਦੇ ਤੌਰ 'ਤੇ, ਕੋਈ ਵੀ ਆਪਣੇ ਕਮਜ਼ੋਰ ਅਤੇ ਮਜ਼ਬੂਤ ਖੇਤਰਾਂ ਤੋਂ ਜਾਣੂ ਹੋਵੇਗਾ ਜੋ ਇਮਤਿਹਾਨ ਦੀਆਂ ਅੰਤਿਮ ਤਿਆਰੀਆਂ ਵਿੱਚ ਹੋਰ ਮਦਦ ਕਰੇਗਾ।
| JEE Main 2020 ਪ੍ਰਸ਼ਨ ਪੱਤਰ | JEE Main 2019 ਪ੍ਰਸ਼ਨ ਪੱਤਰ | JEE Main 2018 ਪ੍ਰਸ਼ਨ ਪੱਤਰ |
| JEE Main ਭੌਤਿਕ ਵਿਗਿਆਨ ਪ੍ਰਸ਼ਨ ਪੱਤਰ | JEE Main ਗਣਿਤ ਪ੍ਰਸ਼ਨ ਪੱਤਰ | JEE Main ਕੈਮਿਸਟਰੀਪ੍ਰਸ਼ਨ ਪੱਤਰ |









Comments