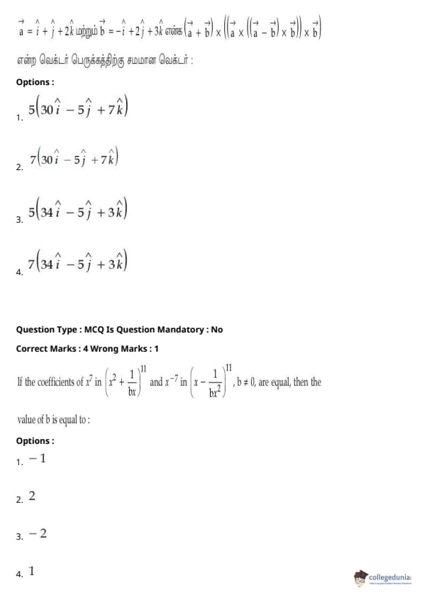
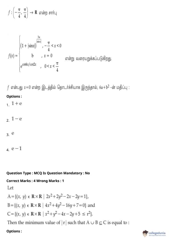
JEE Main 2021 B.E./B.Tech வினாத்தாள் - ஜூலை 27, 2021- முற்பகல் அமர்வு மாணவர்கள் மற்றும் நிபுணர்களால் ஒட்டுமொத்த சிரமத்தின் அடிப்படையில் மிதமானதாக மதிப்பிடப்பட்டது. மூன்று பிரிவுகளின் சிரம நிலைகளின் அடிப்படையில் தாள் நன்கு சமநிலையில் இருப்பதாகவும் கூறப்பட்டது. திருத்தப்பட்ட JEE Main தேர்வு முறையின்படி, ஒவ்வொரு பிரிவிலிருந்தும் மொத்தம் 30 கேள்விகள் கேட்கப்பட்டன, பிரிவில் விண்ணப்பதாரர் 25 கேள்விகளைக் கேட்க வேண்டும். JEE Main 2022 இலக்காகக் கொண்ட விண்ணப்பதாரர்கள், பயிற்சி மற்றும் பகுப்பாய்வு செய்வதற்காக கீழே உள்ள அமர்வுக்கான பதில் முக்கிய PDFகளுடன் வினாத்தாளைப் பதிவிறக்கலாம்.
JEE Main B.E./B.Tech வினாத்தாள்- ஜூலை 27,2021 (காலை)
| JEE MAIN 2021 வினாத்தாள் | JEE MAIN 2021 பதில் விசைகள் |
|---|---|
| Pdf ஐ பதிவிறக்கவும் | Pdf ஐ பதிவிறக்கவும் |
JEE Main 2021 B.E./B.Tech வினாத்தாள் ஜூலை 27 (FN): தாள் பகுப்பாய்வு
JEE Main 2021 B.E./B.Tech ஜூலை 27 முன்பகல் தாள் காலை 9.00 மணி முதல் மதியம் 12.00 மணி வரை நடத்தப்பட்டது மற்றும் மிதமான சிரம நிலை இருப்பதாக தெரிவிக்கப்பட்டது.
- வழக்கம் போல், கணிதம் தேர்வின் கடினமான பகுதியாக இருந்தது, ஒருங்கிணைப்புகள் மற்றும் இயற்கணிதம் பற்றிய கேள்விகள் நீளமாக இருந்தன.
- கணிதத்தில் ஆதிக்கம் செலுத்தும் அலகுகள் - வேறுபட்ட கால்குலஸ் (20%), ஒருங்கிணைந்த கால்குலஸ் (20%), ஒருங்கிணைப்பு வடிவியல் (12%), மற்றும் வெக்டார் & 3D (12%)
- இயற்பியல் பிரிவு மற்ற பிரிவுகளை விட ஒப்பீட்டளவில் எளிதாக இருந்தது. கோட்பாட்டின் அடிப்படையிலான கேள்விகளை விட கணக்கீடுகள் அடிப்படையிலான கேள்விகளின் எண்ணிக்கை அதிகமாக இருந்தாலும், அவை பெரும்பாலும் குறுகியதாகவும் நேரடி சூத்திரத்தின் ஒன்று அல்லது வேறு வேறுபாட்டை உள்ளடக்கியதாகவும் இருந்தன.
- இயற்பியலில் ஆதிக்கம் செலுத்தும் அலகுகள் இயக்கவியல் (37%) மற்றும் நவீன இயற்பியல் (24%).
- வேதியியல் பிரிவு சிரமத்தின் அடிப்படையில் ஆச்சரியமாக இருந்தது. JEE Main முந்தைய ஆண்டு தாள் பகுப்பாய்வால் கணிக்கப்பட்ட போக்குகளை சீர்குலைத்து, வேதியியல் பிரிவு தாளில் இரண்டாவது மிகவும் கடினமான பகுதியாக இருந்தது.
- வேதியியல் பிரிவில், ஆதிக்கம் செலுத்தும் அலகுகள் - ஆர்கானிக் கெமிஸ்ட்ரி II (30%), இயற்பியல் வேதியியல் I (20%), மற்றும் இயற்பியல் வேதியியல் II (18%)
- தாளில் பன்னிரண்டாம் வகுப்பு பாடத்திட்டத்தில் இருந்து சுமார் 48 கேள்விகளும், பன்னிரெண்டாம் வகுப்பு பாடத்திட்டத்தில் இருந்து சுமார் 42 கேள்விகளும் கேட்கப்பட்டன.
JEE Main 2021 Questions with Solutions
JEE Main B.E/ B. Tech வினாத்தாள் பதில் திறவுகோல் PDFகளுடன்
தேர்வில் போட்டித் தரங்களைப் பெறுவதற்கு JEE முதன்மை வினாத்தாள்களைத் தீர்ப்பது அவசியம். JEE முதன்மை முந்தைய ஆண்டு வினாத் தாள்களை முயற்சிப்பது, ஆர்வமுள்ள ஒருவரின் வேகத்தை மேம்படுத்த உதவுவது மட்டுமல்லாமல், அவரது/அவள் நம்பிக்கையையும் அதிகரிக்கும். கூடுதல் கூடுதலாக, ஒருவர் தனது பலவீனமான மற்றும் வலுவான பகுதிகளை நன்கு அறிந்திருப்பார், இது தேர்வின் இறுதி தயாரிப்புகளுக்கு மேலும் உதவும்.
| JEE Main 2020 வினாத்தாள் | JEE Main 2019 வினாத்தாள் | JEE Main 2018 வினாத்தாள் |
| JEE Main இயற்பியல் வினாத்தாள் |
JEE Main கணிதம்வினாத்தாள் | JEE Main வேதியியல்வினாத்தாள் |













Comments