JEE Main 2021 B.E./ B.Tech ಪ್ರಶ್ನೆ ಪತ್ರಿಕೆ- ಜುಲೈ 20, 2021- ಮಧ್ಯಾಹ್ನದ ಸಮಯವನ್ನು ಪರಿಣಿತ ಕೋಚಿಂಗ್ ಸಂಸ್ಥೆಗಳು ಮಧ್ಯಮ ಕಷ್ಟಕರವೆಂದು ರೇಟ್ ಮಾಡಿದ್ದಾರೆ.ಪರೀಕ್ಷೆಯು JEE Main 3ನೇ ಸೆಷನ್ನ ಎರಡನೇ ಪರೀಕ್ಷೆಯಾಗಿತ್ತು.ಪರೀಕ್ಷೆಯ ಮಧ್ಯಮ ತೊಂದರೆಗೆ ದೊಡ್ಡ ಕೊಡುಗೆ ಅಂಶವೆಂದರೆ ಗಣಿತ ವಿಭಾಗ, ಇದು ಟ್ರಿಕಿ ಮತ್ತು ಸುದೀರ್ಘವಾದ ಪ್ರಶ್ನೆಗಳನ್ನು ಒಳಗೊಂಡಿತ್ತು, ವಿಶೇಷವಾಗಿ ಸಂಭವನೀಯತೆ ಮತ್ತು ಡಿಫರೆನ್ಷಿಯಲ್ ಕ್ಯಾಲ್ಕುಲಸ್ನಿಂದ.ಕಷ್ಟದ ವಿಷಯದಲ್ಲಿ ಎರಡನೆಯದು ಭೌತಶಾಸ್ತ್ರ ವಿಭಾಗವಾಗಿದ್ದು, ಮೆಕ್ಯಾನಿಕ್ಸ್ ಮತ್ತು ಮಾಡರ್ನ್ ಫಿಸಿಕ್ಸ್ನಿಂದ ಗಮನಾರ್ಹ ಪ್ರಮಾಣದ ಪ್ರಶ್ನೆಗಳನ್ನು ಒಳಗೊಂಡಿದೆ.ರಸಾಯನಶಾಸ್ತ್ರ ವಿಭಾಗದ ತೊಂದರೆ ಮಟ್ಟವು ಭೌತಶಾಸ್ತ್ರ ವಿಭಾಗಕ್ಕೆ ಸಮನಾಗಿರುತ್ತದೆ, ಸಂಕೀರ್ಣತೆ ಮತ್ತು ಸಿದ್ಧಾಂತ ಆಧಾರಿತ ಪ್ರಶ್ನೆಗಳ ವಿಷಯದಲ್ಲಿ;ರಸಾಯನಶಾಸ್ತ್ರ ವಿಭಾಗಕ್ಕೆ ಹೆಚ್ಚಿನ ಕೊಡುಗೆ ನೀಡಿದವರು ಸಾವಯವ ರಸಾಯನಶಾಸ್ತ್ರ (I ಮತ್ತು II). JEE Main 2022 ಕ್ಕೆ ತಯಾರಿ ನಡೆಸುತ್ತಿರುವ ಅಭ್ಯರ್ಥಿಗಳು, ಜುಲೈ 20, 2021 ರಂದು ಮಧ್ಯಾಹ್ನದ ಸೆಷನ್ಗಾಗಿ ಕೆಳಗಿನ ಉತ್ತರದ ಪ್ರಮುಖ PDF ಗಳೊಂದಿಗೆ ಪ್ರಶ್ನೆ ಪತ್ರಿಕೆಗಳನ್ನು ಡೌನ್ಲೋಡ್ ಮಾಡಬಹುದು:
JEE Main B.E./ B.Tech ಪ್ರಶ್ನೆ ಪತ್ರಿಕೆ- ಜುಲೈ 20, 2021 ಮಧ್ಯಾಹ್ನ
| JEE Main 2021 ಪ್ರಶ್ನೆ ಪತ್ರಿಕೆ | JEE Main 2021 ಉತ್ತರ ಕೀ |
|---|---|
| PDF ಅನ್ನು ಡೌನ್ಲೋಡ್ ಮಾಡಿ | PDF ಅನ್ನು ಡೌನ್ಲೋಡ್ ಮಾಡಿ |
JEE Main 2021 B.E./ B.Tech ಪ್ರಶ್ನೆ ಪತ್ರಿಕೆ ಜುಲೈ 20 (ಮಧ್ಯಾಹ್ನ ಸೆಷನ್): ಪೇಪರ್ ಅನಾಲಿಸಿಸ್
JEE Main 2021 BE/B.Tech ಪೇಪರ್ ಜುಲೈ 20 ರಂದು ಪೂರ್ವಾಹ್ನದ ಸೆಷನ್ ಅನ್ನು ಮಧ್ಯಾಹ್ನ 3.00 ರಿಂದ 6.00 ರವರೆಗೆ ನಡೆಸಲಾಯಿತು, ಪ್ರತಿ ಘಟಕದ ಕಾಗದದ ವಿಶ್ಲೇಷಣೆಯು ಈ ಕೆಳಗಿನಂತಿರುತ್ತದೆ.
| ವಿಷಯ | ವಿಷಯ | ಪ್ರಶ್ನೆಗಳ ಸಂಖ್ಯೆ |
|---|---|---|
| ಭೌತಶಾಸ್ತ್ರ | ಎಲೆಕ್ಟ್ರೋಡೈನಾಮಿಕ್ಸ್ | 3 |
| ಶಾಖ ಮತ್ತು ಥರ್ಮೋಡೈನಾಮಿಕ್ಸ್ | 3 | |
| ಯಂತ್ರಶಾಸ್ತ್ರ | 13 | |
| ಆಧುನಿಕ ಭೌತಶಾಸ್ತ್ರ | 8 | |
| ಆಪ್ಟಿಕ್ಸ್ | 1 | |
| SHM ಮತ್ತು ಅಲೆಗಳು | 2 | |
| ರಸಾಯನಶಾಸ್ತ್ರ | ಅಜೈವಿಕ ರಸಾಯನಶಾಸ್ತ್ರ I | 3 |
| ಅಜೈವಿಕ ರಸಾಯನಶಾಸ್ತ್ರ II | 4 | |
| ಸಾವಯವ ರಸಾಯನಶಾಸ್ತ್ರ I | 7 | |
| ಸಾವಯವ ರಸಾಯನಶಾಸ್ತ್ರ II | 9 | |
| ಭೌತಿಕ ರಸಾಯನಶಾಸ್ತ್ರ I | 5 | |
| ಭೌತಿಕ ರಸಾಯನಶಾಸ್ತ್ರ II | 2 | |
| ಗಣಿತಶಾಸ್ತ್ರ | ದ್ವಿಪದ ಪ್ರಮೇಯ | 2 |
| ಸಮನ್ವಯ ರೇಖಾಗಣಿತ | 2 | |
| ಡಿಫರೆನ್ಷಿಯಲ್ ಕ್ಯಾಲ್ಕುಲಸ್ | 4 | |
| ಅವಿಭಾಜ್ಯ ಕಲನಶಾಸ್ತ್ರ | 2 | |
| ಕ್ರಮಪಲ್ಲಟನೆ ಮತ್ತು ಸಂಯೋಜನೆ | 3 | |
| ಸಂಭವನೀಯತೆ | 2 | |
| ವೆಕ್ಟರ್ ಮತ್ತು 3D | 2 | |
| ಅಂಕಿಅಂಶಗಳು | 2 | |
| ಕ್ವಾಡ್ರಾಟಿಕ್ ಸಮೀಕರಣಗಳು | 3 | |
| ಗಣಿತದ ರೀಸನಿಂಗ್ | 2 | |
| ತ್ರಿಕೋನಮಿತಿ | 2 | |
| ಮ್ಯಾಟ್ರಿಕ್ಸ್ ಮತ್ತು ಡಿಟರ್ಮಿನೆಂಟ್ಸ್ | 2 | |
| ಗಣಿತಶಾಸ್ತ್ರದ ಮೂಲಭೂತ | 2 |
ವಿವರವಾದ ಪ್ರಶ್ನೆ ಪತ್ರಿಕೆ ವಿಶ್ಲೇಷಣೆಗಾಗಿ, ಭೇಟಿ ನೀಡಿ-JEE Main ಪ್ರಶ್ನೆ ಪತ್ರಿಕೆ ವಿಶ್ಲೇಷಣೆ
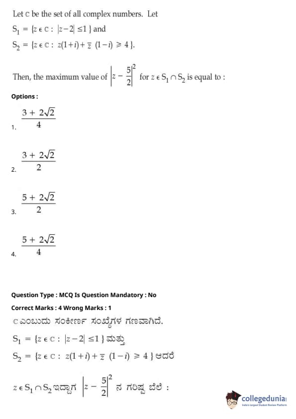
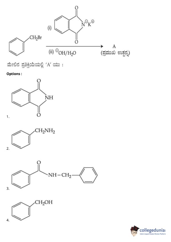
JEE Main 2021 Questions with Solutions
ಉತ್ತರ ಕೀ ಪಿಡಿಎಫ್ಗಳೊಂದಿಗೆ JEE Main ಬಿಇ/ಬಿ.ಟೆಕ್ ಪ್ರಶ್ನೆ ಪತ್ರಿಕೆ
ಅಭ್ಯರ್ಥಿಗಳು ಸಾಧ್ಯವಾದಷ್ಟು ಹಿಂದಿನ ವರ್ಷದ ಪ್ರಶ್ನೆ ಪತ್ರಿಕೆಗಳನ್ನು ಪ್ರಯತ್ನಿಸಿ ಮತ್ತು ಅಭ್ಯಾಸ ಮಾಡಬೇಕು.ಕಾಲೇಜ್ಡುನಿಯಾ JEE ಮುಖ್ಯ BE/ B. ಟೆಕ್ ಪ್ರಶ್ನೆ ಪತ್ರಿಕೆಗೆ ಉತ್ತರ ಕೀ ಪಿಡಿಎಫ್ಗಳೊಂದಿಗೆ ಲಿಂಕ್ಗಳನ್ನು ಒದಗಿಸಿದೆ:
| JEE Main 2020 ಪ್ರಶ್ನೆ ಪತ್ರಿಕೆ | JEE Main 2019 ಪ್ರಶ್ನೆ ಪತ್ರಿಕೆ | JEE Main 2018 ಪ್ರಶ್ನೆ ಪತ್ರಿಕೆ |
| JEE Main ಭೌತಶಾಸ್ತ್ರ ಪ್ರಶ್ನೆ ಪತ್ರಿಕೆ | JEE Main ಗಣಿತ ಪ್ರಶ್ನೆ ಪತ್ರಿಕೆ | JEE Main ರಸಾಯನಶಾಸ್ತ್ರ ಪ್ರಶ್ನೆ ಪತ್ರಿಕೆ |









Comments