JEE Main 2025 24 Jan Shift 2 Question Paper is now available for download with Solution PDF. NTA conducted the exam successfully on 24 Jan 2025 from 03:00 PM to 06:00 PM.
You can also match your JEE Main 2025 solutions with Collegdunia’s JEE Main 2025 Question Paper Solutions pdf for free and analyse your expected JEE Main Marks Vs Percentile in JEE Main Session 1.
| JEE Main 2025 Jan 24 Shift 2 Question Paper with Solution | Download | Check Solution |
Also Check
- Download JEE Main 2025 PYQ for all shifts
- Download JEE Main Last 10 Year Question Papers for all shifts
check – JEE Main 2025 Jan 24 Shift 1 Question Paper Solutions Pdf
JEE Main 24th Jan Shift 2 Questions with Solutions
Mathematics
Section - A
Let \( [x] \) denote the greatest integer function, and let \( m \) and \( n \) respectively be the numbers of the points, where the function \( f(x) = [x] + |x - 2| \), \( -2 < x < 3 \), is not continuous and not differentiable. Then \( m + n \) is equal to:
View Solution
Let \( (2, 3) \) be the largest open interval in which the function \( f(x) = 2 \log_e (x - 2) - x^2 + ax + 1 \) is strictly increasing, and \( (b, c) \) be the largest open interval, in which the function \( g(x) = (x - 1)^3 (x + 2 - a)^2 \) is strictly decreasing. Then \( 100(a + b - c) \) is equal to:
View Solution
The area of the region enclosed by the curves \( y = e^x \), \( y = |e^x - 1| \), and the y-axis is:
View Solution
Let the points \( \left( \frac{11}{2}, \alpha \right) \) lie on or inside the triangle with sides \( x + y = 11 \), \( x + 2y = 16 \), and \( 2x + 3y = 29 \). Then the product of the smallest and the largest values of \( \alpha \) is equal to:
View Solution
The number of real solution(s) of the equation \( x^2 + 3x + 2 = \min \left( |x - 3|, |x + 2| \right) \) is:
View Solution
If \( \alpha > \beta > \gamma > 0 \), then the expression \[ \cot^{-1} \beta + \left( \frac{1 + \beta^2}{\alpha - \beta} \right) + \cot^{-1} \gamma + \left( \frac{1 + \gamma^2}{\beta - \gamma} \right) + \cot^{-1} \alpha + \left( \frac{1 + \alpha^2}{\gamma - \alpha} \right) \]
is equal to:
View Solution
Let \( f: (0, \infty) \to \mathbb{R} \) be a function which is differentiable at all points of its domain and satisfies the condition \( x^2 f'(x) = 2f(x) + 3 \), with \( f(1) = 4 \). Then \( 2f(2) \) is equal to:
View Solution
Suppose A and B are the coefficients of the 30th and 12th terms respectively in the binomial expansion of \( (1 + x)^{2n - 1} \). If \( 2A = 5B \), then \( n \) is equal to:
View Solution
Let \( A = \left\{ x \in (0, \pi) \mid - \log\left(\frac{2}{\pi}\right)\sin x + \log\left(\frac{2}{\pi}\right)\cos x = 2 \right\} \) and \[ B = \left\{ x \geq 0 : \sqrt{x}(\sqrt{x - 4}) - 3\sqrt{x - 2} + 6 = 0 \right\}. \]
\text{Then \( n(A \cup B) \) is equal to:
View Solution
If the equation of the parabola with vertex \( \left( \frac{3}{2}, 3 \right) \) and the directrix \( x + 2y = 0 \) is \[ ax^2 + b y^2 - cxy - 30x - 60y + 225 = 0, then \alpha + \beta + \gamma is equal to: \]
View Solution
The function \( f: (-\infty, \infty) \to (-\infty, 1) \), defined by \[ f(x) = \frac{2^x - 2^{-x}}{2^x + 2^{-x}}, \]
is:
View Solution
Group A consists of 7 boys and 3 girls, while group B consists of 6 boys and 5 girls. The number of ways, 4 boys and 4 girls can be invited for a picnic if 5 of them must be from group A and the remaining 3 from group B, is equal to:
View Solution
If the system of equations \[ x + 2y - 3z = 2, \quad 2x + \lambda y + 5z = 5, \quad 14x + 3y + \mu z = 33 \]
\text{has infinitely many solutions, then \( \lambda + \mu \) is equal to:
View Solution
Let \( \mathbf{a} = 3\hat{i} - \hat{j} + 2\hat{k} \), \( \mathbf{b} = \mathbf{a} \times (\hat{i} - 2\hat{k}) \) and \( \mathbf{c} = \mathbf{b} \times \hat{k} \). Then the projection of \( \mathbf{c} - 2\hat{j} \) on \( \mathbf{a} \) is:
View Solution
The equation of the chord of the ellipse \( \frac{x^2}{25} + \frac{y^2}{16} = 1 \), whose mid-point is \( (3, 1) \) is:
View Solution
In an arithmetic progression, if \( S_{40} = 1030 \) and \( S_{12} = 57 \), then \( S_{30} - S_{10} \) is equal to:
View Solution
Let \( A = [a_{ij}] \) be a square matrix of order 2 with entries either 0 or 1. Let \( E \) be the event that \( A \) is an invertible matrix. Then the probability \( P(E) \) is:
View Solution
If \( 7 = 5 + \frac{1}{7}(5 + \alpha) + \frac{1}{7^2}(5 + 2\alpha) + \frac{1}{7^3}(5 + 3\alpha) + \cdots \), then the value of \( \alpha \) is:
View Solution
For some \( a, b \), let \( f(x) = \left| \begin{matrix} a + \frac{\sin x}{x} & 1 & b
a & 1 + \frac{\sin x}{x} & b
a & 1 & b + \frac{\sin x}{x} \end{matrix} \right| \), where \( x \neq 0 \), \( \lim_{x \to 0} f(x) = \lambda + \mu a + \nu b \). Then \( (\lambda + \mu + \nu)^2 \) is equal to:
View Solution
Let the position vectors of three vertices of a triangle be \( \overrightarrow{p} = 4\hat{i} + \hat{j} - 3\hat{k} \), \( \overrightarrow{q} = -5\hat{i} + 2\hat{j} + 3\hat{k} \), and \( \overrightarrow{r} = -5\hat{i} + 3\hat{j} + 2\hat{k} \). Then \( \alpha + 2\beta + 5\gamma \) is equal to:
View Solution
Section - B
Question 21:
Let \( y = y(x) \) be the solution of the differential equation \[ 2\cos x \frac{dy}{dx} = \sin 2x - 4y \sin x, \quad x \in \left( 0, \frac{\pi}{2} \right). \]
If \( y\left( \frac{\pi{3} \right) = 0 \), then \( y\left( \frac{\pi}{4} \right) + y\left( \frac{\pi}{4} \right) \) is equal to ________.
View Solution
Let \( P \) be the image of the point \( Q(7, -2, 5) \) in the line \( L: \frac{x - 1}{2} = \frac{y + 1}{3} = \frac{z}{4} \), and let \( R(5, p, q) \) be a point on \( L \). Then the square of the area of \( \triangle PQR \) is:
View Solution
Number of functions \( f: \{1, 2, \dots, 100\} \to \{0, 1\} \), that assign 1 to exactly one of the positive integers less than or equal to 98, is equal to:
View Solution
If \[ \int \frac{2x^2 + 5x + 9}{\sqrt{x^2 + x + 1}} \, dx = \sqrt{x^2 + x + 1} + \alpha \sqrt{x^2 + x + 1} + \beta \log_e \left( \left| x + \frac{1}{2} + \sqrt{x^2 + x + 1} \right| \right) + C, \]
where \( C \) is the constant of integration, then \( \alpha + 2\beta \) is equal to ____
View Solution
Let \( H_1: \frac{x^2}{a^2} - \frac{y^2}{b^2} = 1 \) and \( H_2: \frac{x^2}{A^2} - \frac{y^2}{B^2} = 1 \) be two hyperbolas having lengths of latus rectums \( 15\sqrt{2} \) and \( 12\sqrt{5} \) respectively. Let their eccentricities be \( e_1 = \frac{5}{\sqrt{2}} \) and \( e_2 \) respectively. If the product of the lengths of their transverse axes is \( 100\sqrt{10} \), then \( 25e_2^2 \) is equal to:
View Solution
Physics
Section - A
Question 26:
A solid sphere is rolling without slipping on a horizontal plane. The ratio of the linear kinetic energy of the centre of mass of the sphere and rotational kinetic energy is:
View Solution
A long straight wire of a circular cross-section with radius \( a \) carries a steady current \( I \). The current is uniformly distributed across this cross-section. The plot of magnitude of magnetic field \( B \) with distance \( r \) from the centre of the wire is given by:
View Solution
Given below are two statements. One is labelled as Assertion (A) and the other is labelled as Reason (R):
Assertion (A): An electron in a certain region of uniform magnetic field is moving with constant velocity in a straight line path.
Reason (R): The magnetic field in that region is along the direction of velocity of the electron.
\text{In the light of the above statements, choose the correct answer from the options given below:
View Solution
The magnitude of heat exchanged by a system for the given cyclic process ABC (as shown in the figure) is (in SI units):
View Solution
A particle oscillates along the \( x \)-axis according to the law, \( x(t) = x_0 \sin^2 \left( \frac{\pi t}{T} \right) \), where \( x_0 = 1 \, m \) and \( T \) is the time period of oscillation. The kinetic energy (\( K \)) of the particle as a function of \( x \) is correctly represented by the graph:
View Solution
A photograph of a landscape is captured by a drone camera at a height of 18 km. The size of the camera film is 2 cm \( \times \) 2 cm and the area of the landscape photographed is 400 km\(^2\). The focal length of the lens in the drone camera is:
View Solution
A small uncharged conducting sphere is placed in contact with an identical sphere but having \( 4 \times 10^{-6} \, C \) charge and then removed to a distance such that the force of repulsion between them is \( 9 \times 10^{-3} \, N \). The distance between them is (Take \( \frac{1}{4\pi \epsilon_0} = 9 \times 10^9 \) in SI units):
View Solution
In the first configuration (1) as shown in the figure, four identical charges \( q_0 \) are kept at the corners A, B, C and D of square of side length \( a \). In the second configuration (2), the same charges are shifted to mid points C, E, H, and F of the square. If \( K = \frac{1}{4\pi \epsilon_0} \), the difference between the potential energies of configuration (2) and (1) is given by:
View Solution
In a Young's double slit experiment, three polarizers are kept as shown in the figure. The transmission axes of \( P_1 \) and \( P_2 \) are orthogonal to each other. The polarizer \( P_3 \) covers both the slits with its transmission axis at \( 45^\circ \) to those of \( P_1 \) and \( P_2 \). An unpolarized light of wavelength \( \lambda \) and intensity \( I_0 \) is incident on \( P_1 \) and \( P_2 \). The intensity at a point after \( P_3 \), where the path difference between the light waves from \( S_1 \) and \( S_2 \) is \( \frac{\lambda}{3} \), is:
View Solution
The energy \( E \) and momentum \( p \) of a moving body of mass \( m \) are related by some equation. Given that \( c \) represents the speed of light, identify the correct equation:
View Solution
Given below are two statements. One is labelled as Assertion (A) and the other is labelled as Reason (R):
Assertion (A): In an insulated container, a gas is adiabatically shrunk to half of its initial volume. The temperature of the gas decreases.
Reason (R): Free expansion of an ideal gas is an irreversible and an adiabatic process.
\text{In the light of the above statements, choose the correct answer from the options given below:
View Solution
A solid sphere and a hollow sphere of the same mass and of the same radius are rolled on an inclined plane. Let the time taken to reach the bottom by the solid sphere and the hollow sphere be \( t_1 \) and \( t_2 \), respectively, then:
View Solution
Young's double slit interference apparatus is immersed in a liquid of refractive index 1.44. It has slit separation of 1.5 mm. The slits are illuminated by a parallel beam of light whose wavelength in air is 690 nm. The fringe-width on a screen placed behind the plane of slits at a distance of 0.72 m, will be:
View Solution
The position vector of a moving body at any instant of time is given as \( \mathbf{r} = \left( 5t^2 \hat{i} - 5t \hat{j} \right) \, m. The magnitude and direction of velocity at \( t = 2 \) s is:
View Solution
N equally spaced charges each of value \( q \) are placed on a circle of radius \( R \). The circle rotates about its axis with an angular velocity \( \omega \) as shown in the figure. A bigger Amperian loop \( B \) encloses the whole circle, whereas a smaller Amperian loop \( A \) encloses a small segment. The difference between enclosed currents, \( I_B - I_A \) for the given Amperian loops is:
View Solution
The output of the circuit is low (zero) for:
(A) \( X = 0, Y = 0 \)
(B) \( X = 0, Y = 1 \)
(C) \( X = 1, Y = 0 \)
(D) \( X = 1, Y = 1 \)
\text{Choose the correct answer from the options given below:
View Solution
Arrange the following in the ascending order of wavelength (\( \lambda \)):
(A) Microwaves (\( \lambda_1 \))
(B) Ultraviolet rays (\( \lambda_2 \))
(C) Infrared rays (\( \lambda_3 \))
(D) X-rays (\( \lambda_4 \))
\text{Choose the most appropriate answer from the options given below:
View Solution
The temperature of a body in air falls from \( 40^\circ C \) to \( 24^\circ C \) in 4 minutes. The temperature of the air is \( 16^\circ C \). The temperature of the body in the next 4 minutes will be:
View Solution
Which of the following figure represents the relation between Celsius and Fahrenheit temperatures?
View Solution
In photoelectric effect, the stopping potential \( V_0 \) vs frequency \( \nu \) curve is plotted. \( h \) is the Planck's constant and \( \phi_0 \) is the work function of metal.
(A) \( V_0 \) vs \( \nu \) is linear.
(B) The slope of \( V_0 \) vs \( \nu \) curve is \( \frac{\phi_0}{h} \).
(C) \( h \) constant is related to the slope of \( V_0 \) vs \( \nu \) line.
(D) The value of electric charge of electron is not required to determine \( h \) using the \( V_0 \) vs \( \nu \) curve.
(E) The work function can be estimated without knowing the value of \( h \).
\text{Choose the correct answer from the options given below:
View Solution
Section - B
Question 46:
Acceleration due to gravity on the surface of earth is \( g \). If the diameter of earth is reduced to one third of its original value and mass remains unchanged, then the acceleration due to gravity on the surface of the earth is ____ g.
View Solution
The ratio of the power of a light source \( S_1 \) to that of the light source \( S_2 \) is 2. \( S_1 \) is emitting \( 2 \times 10^{15} \) photons per second at 600 nm. If the wavelength of the source \( S_2 \) is 300 nm, then the number of photons per second emitted by \( S_2 \) is _____ \( \times 10^{14} \).
View Solution
A string of length \( L \) is fixed at one end and carries a mass of \( M \) at the other end. The mass makes \( \frac{3}{\pi} \) rotations per second about the vertical axis passing through the end of the string as shown. The tension in the string is ____ ML.
View Solution
The increase in pressure required to decrease the volume of a water sample by 0.2percentage is \( P \times 10^5 \, Nm^{-2} \). Bulk modulus of water is \( 2.15 \times 10^9 \, Nm^{-2} \). The value of \( P \) is ____.
View Solution
A tightly wound long solenoid carries a current of 1.5 A. An electron is executing uniform circular motion inside the solenoid with a time period of 75 ns. The number of turns per meter in the solenoid is ____.
View Solution
Chemistry
Section - A
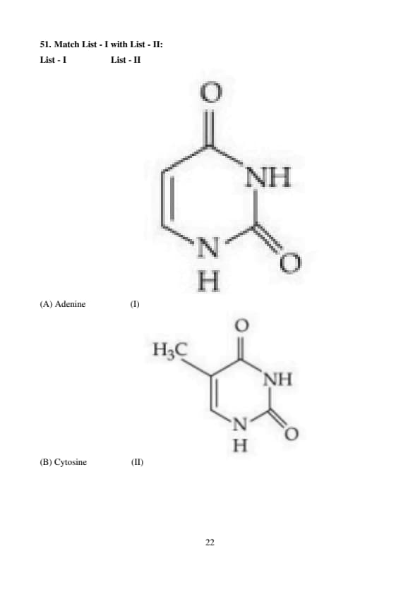
Question 51:
Match List - I with List - II:
List - I List - II
(A) Adenine (I)
(B) Cytosine (II)
(C) Thymine (III)
(D) Uracil (IV)
Choose the correct answer from the options given below:
View Solution
Find the compound \( A \) from the following reaction sequences: \[ A \xrightarrow{aqua regia} B \xrightarrow{(1) \, KNO_3, \, NH_4OH} yellow ppt. \]
View Solution
Based on the data given below: \[ E^\circ_{Cr_2O_7^{2-}/Cr^{3+}} = 1.33 \, V, \quad E^\circ_{Cl_2/Cl^-} = 1.36 \, V, \quad E^\circ_{MnO_4^-/Mn^{2+}} = 1.51 \, V, \quad E^\circ_{Cr^{3+}/Cr} = -0.74 \, V. \]
The strongest reducing agent is:
View Solution
Given below are two statements:
Statement I: Experimentally determined oxygen-oxygen bond lengths in the \( O_2 \) are found to be the same and the bond length is greater than that of a \( O=O \) (double bond) but less than that of a single \( O-O \) bond.
Statement II: The strong lone pair-lone pair repulsion between oxygen atoms is solely responsible for the fact that the bond length in ozone is smaller than that of a double bond \( O=O \) but more than that of a single bond \( O-O \).
\text{In light of the above statements, choose the correct answer from the options given below:
View Solution
Identify correct statement/s:
(A) \( -OCH_3 \) and \( -NHCOCH_3 \) are activating groups.
(B) \( -CN \) and \( -OH \) are meta directing groups.
(C) \( -CN \) and \( -SO_3H \) are meta directing groups.
(D) Activating groups act as ortho- and para-directing groups.
(E) Halides are activating groups.
\text{Choose the correct answer from the options given below:
View Solution
Given below are two statements:
Statement (I):
Statement (II):
In light of the above statements, choose the correct answer from the options given below:
View Solution
The successive 5 ionisation energies of an element are 800, 2427, 3658, 25024 and 32824 kJ/mol, respectively. By using the above values, predict the group in which the above element is present:
View Solution
The conditions and consequences that favour the \( t_{2g}^3 e_g^1 \) configuration in a metal complex are:
View Solution
Given below are two statements:
Statement (I): The first ionization energy of Pb is greater than that of Sn.
Statement (II): The first ionization energy of Ge is greater than that of Si.
\text{In light of the above statements, choose the correct answer from the options given below:
View Solution
The heat of formation of \( SO_2(g) \) is given by: \[ S(g) + \frac{3}{2} O_2(g) \rightarrow SO_3(g) + 2x \, kcal \] \[ SO_2(g) + \frac{1}{2} O_2(g) \rightarrow SO_3(g) + y \, kcal \]
View Solution
For the reaction, \[ H_2(g) + I_2(g) \rightleftharpoons 2HI(g) \]
Attainment of equilibrium is predicted correctly by:
View Solution
The structure of the major product formed in the following reaction is:
View Solution
In the given structure, number of \( sp \) and \( sp^2 \) hybridized carbon atoms present respectively are:
View Solution
Which of the following mixing of 1M base and 1M acid leads to the largest increase in temperature?
View Solution
Match List - I with List - II.
List - I List - II
(A) \( Ti^{3+} \) (I) 3.87
(B) \( V^{2+} \) (II) 0.00
(C) \( Ni^{2+} \) (III) 1.73
(D) \( Sc^{3+} \) (IV) 2.84
View Solution
When Ethane-1,2-diamine is added progressively to an aqueous solution of Nickel (II) chloride, the sequence of colour change observed will be:
View Solution
The elemental composition of a compound is 54.2% C, 9.2% H, and 36.6% O. If the molar mass of the compound is 132 g/mol, the molecular formula of the compound is:
View Solution
For hydrogen atom, the orbital/s with lowest energy is/are:
View Solution
Match List - I with List - II.
View Solution
For the reaction:
The correct order of set of reagents for the above conversion is :
View Solution
Section - B
Question 71:
In Carius method of estimation of halogen, 0.25 g of an organic compound gave 0.15 g of silver bromide (AgBr). The percentage of Bromine in the organic compound is ____\times 10^{-1% (Nearest integer).
(Given: Molar mass of Ag is 108 and Br is 80 g mol^{-1)
View Solution
The observed and normal molar masses of compound MX\(_2\) are 65.6 and 164 respectively. The percent degree of ionisation of MX\(_2\) is ____% (Nearest integer).
View Solution
The possible number of stereoisomers for 5-phenylpent-4-en-2-ol is:____
View Solution
The hydrocarbon (X) with molar mass 80 g mol\(^{-1}\) and 90% carbon has ____ degree of unsaturation.
View Solution
Consider a complex reaction taking place in three steps with rate constants \(k_1\), \(k_2\), and \(k_3\) respectively. The overall rate constant \(k\) is given by the expression \( k = \sqrt{\frac{k_1 k_3}{k_2}} \). If the activation energies of the three steps are 60, 30, and 10 kJ mol\(^{-1}\) respectively, then the overall energy of activation in kJ mol\(^{-1}\) is ____(Nearest integer).
View Solution
Related News:
- JEE Main 23rd Jan Shift 1 Question Paper
- JEE Main 23rd Jan Shift 2 Question Paper
- JEE Main 22nd Jan Shift 1 Question Paper
- JEE Main 22nd Jan Shift 2 Question Paper
JEE Main 24th Jan Shift 2 Paper Analysis- Check Difficulty Level and Good Score
The question paper consists of a total of 75 questions, divided equally across the three subjects:
- The Mathematics section in JEE Main 2025 24th Jan Shift 2 Question Paper is expected to be Tough with 9 questions coming majorly from topics like Integration, Co-ordinate Geometry, etc.
- Physics expected to be Moderate with 7 questions coming majorly from topics like Modern Physics, Thermodynamics, etc.
- Chemistry is expected as Easy with 8 questions coming majorly from topics like Organic Chemistry, Physical Chemistry, etc.
Each section included a mix of multiple-choice questions (MCQs) and numerical value-based questions, offering a balanced challenge for students.
Check: JEE Main 24th Jan Shift 1 Question Paper
JEE Main 2025:Shift-Wise Analysis
| Session | Shift | Difficulty Trend (Physics, Chemistry, Mathematics) |
Overall Difficulty |
|---|---|---|---|
| January | 22nd January Shift 1 |
|
Moderate |
| January | 22nd January Shift 2 |
|
Moderate |
| January | 23rd January Shift 1 |
|
Moderate |
| January | 23rd January Shift 2 | To be Updated | To be Updated |
| January | 24th January Shift 1 | To be Updated | To be Updated |
| January | 24th January Shift 2 | To be Updated | To be Updated |
| January | 28th January Shift 1 | To be Updated | To be Updated |
| January | 28th January Shift 2 | To be Updated | To be Updated |
| January | 29th January Shift 1 | To be Updated | To be Updated |
| January | 29th January Shift 2 | To be Updated | To be Updated |



.png?h=35&w=35&mode=stretch)






Comments