JEE Main 9 April B.Arch (Paper 2A) question paper with solutions and answers pdf is available here for download. NTA conducted JEE Main B.Arch (Paper 2A) exam on 9 April from 9:00 AM to 12:00 PM. The question paper for JEE Main B.Arch 9 April exam includes 77 questions spread across Maths, Aptitude and Drawing.
Students who are appearing for JEE Main B.Arch April 9 exam can check memory based question paper and difficulty level of the exam on this page. JEE Main 2025 April 9 exam was easy to moderate.
JEE Main 2025 was conducted in various cities across the country, with 15 destinations abroad. JEE Main Paper 2B (B.Planning) and JEE Main Paper 2A & 2B (B.Arch and B.Planning) were also conducted by NTA during the same time.
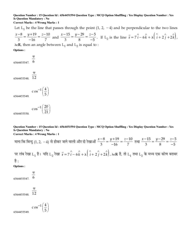
JEE Main 2025 B.Arch April 9 Question Paper with Solutions
| JEE Main 2025 B.Arch April 9 Question Paper Pdf | Download PDF | View Solution |

JEE Main B.Arch April 9 Question Paper With Video Solutions
The JEE Main 2025 April 9 Question Paper with Video Solution is available here. Students can match their responses with the JEE Main B.Arch 2025 April 9 Answer key with Solutions. Students who appeared inJEE Main April 9 can check the Question Paper and video solution to understand the difficulty level of the exam.
Related Links:
- JEE Main 2025 Question Paper pdf with solutions
- JEE Main 30 Jan 2025 B.Arch Question Paper with Solutions
- JEE Main Previous Years Question Paper with Solution PDF
JEE Main B.Arch 2025 April 9 Answer Key: Coaching Institute PDF
| Coaching Institutes | Question Paper with Solutions PDF |
|---|---|
| Aakash BYJUs | Download |
| Allen Institute | Download |
| Resonance | Download |
| Vedantu | Download |
| Sri Chaitanya | Download |
You can check:
- JEE Main Previous Years Question Paper with Solution
- JEE Main 2024 Question Paper with Solution PDF
- JEE Main 2023 Question Paper with Solution PDF
- JEE Main 2022 Question Paper with Solution PDF
JEE Main 2025 B.Arch And B.Planning Difficulty Level Analysis (Expected)
| Subject | Session 1 (January 30, 2025) | Session 2 (April 9, 2025) | Total Questions |
| Mathematics | Difficult | Easy to Moderate | 30 |
| Aptitude | Moderate | Easy | 50 |
| Planning | Difficult | Moderate | 25 |
| Overall | Moderate to Difficult | Easy to Moderate | 105 |
JEE Main 2025 Paper 2 Session 2 Cutoff (Expected)
| Category | Session 1 (January 2025) | Session 2 (April 2025) |
| General (Open) | 70 - 80 | 80 - 90 |
| OBC-NCL | 65 - 75 | 75 - 85 |
| SC | 50 - 60 | 60 - 70 |
| ST | 45 - 55 | 55 - 65 |
| PwD (General) | 30 - 40 | 40 - 50 |
| PwD (Reserved) | 30 - 40 | 40 - 50 |







Comments