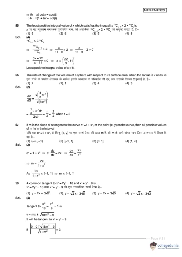
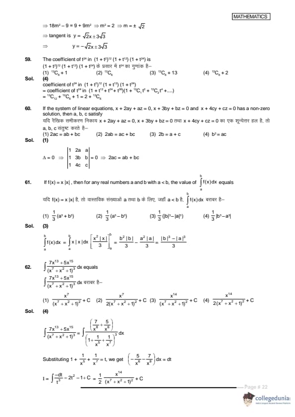
JEE Main 2013 B.Arch Question Paper with Answer Key PDF conducted on April 13, 2013 is available for download. The exam was successfully organized by Central Board of Secondary Education (CBSE). In terms of difficulty level, B.Arch was of easier level. The question paper comprised a total of 80 questions divided among 3 sections.
JEE Main 2013 B.Arch Question Paper with Answer Key PDFs
| JEE Main 2013 Question Paper PDF | JEE Main 2013 Answer key PDF |
|---|---|
| Download PDF | Download PDF |
JEE Main Previous Year Question Papers
Candidates can solve the question papers of the previous year to analyze their performance levels. To enhance the accuracy level, candidates are advised to solve JEE Main Question Papers daily. JEE Main B.Arch year-wise and subject-wise question paper links with answer key PDFs are provided below:
| JEE Main 2022 Question Papers | JEE Main 2021 Question Papers |
| JEE Main 2020 Question Papers | JEE Main 2019 Question Papers |









Comments