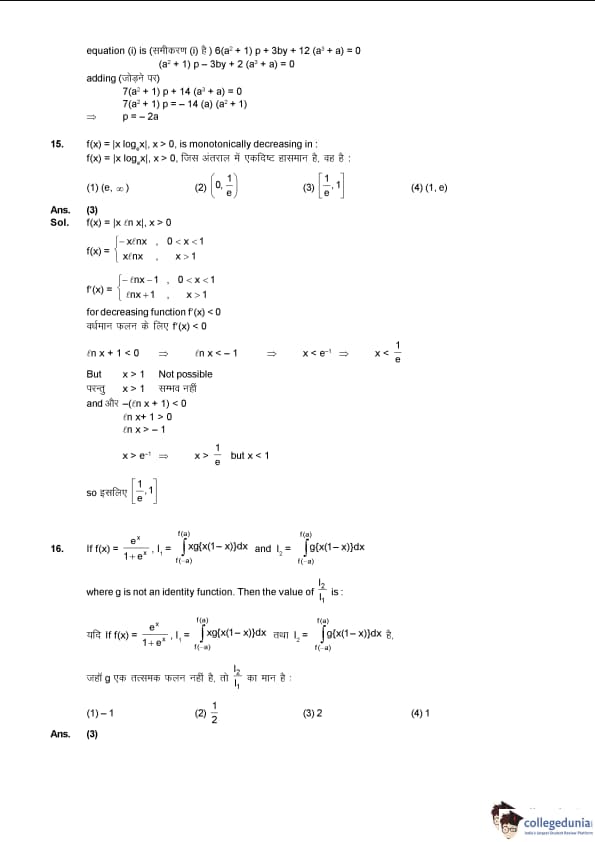
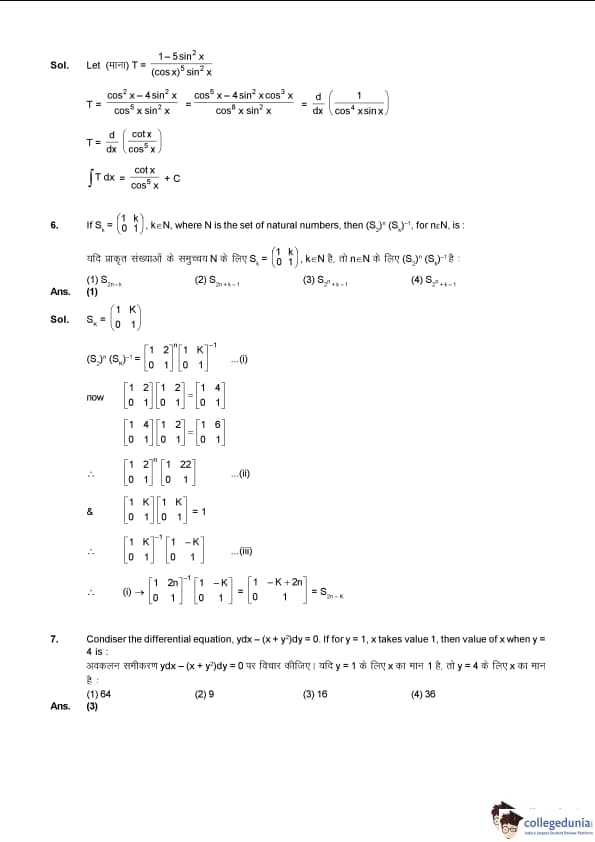
JEE Main 2014 B.Arch Question Paper with Answer Key PDF conducted on April 6 is available for download. The exam was successfully organized by the Central Board of Secondary Education (CBSE). In terms of difficulty level, JEE Main 2014 B.Arch paper was of easier level. The question paper comprised a total of 80 questions divided into 3 sections.
JEE Main 2014 B.Arch Question Paper with Answer Key PDFs
| JEE Main 2014 Question Paper PDF | JEE Main 2014 Answer key PDF |
|---|---|
| Download PDF | Download PDF |
JEE Main 2014 Question Paper Analysis
- The B.Arch paper mainly involves your mental strength
- Few Students found it very easy, one of the major differences in both papers was the Maths section. It was comparatively easier in the second paper. The General paper had quizzes and all, so that was easy and interesting. B.Arch was easier than the first paper
For every correct answer, the candidate got 4 and for each wrong attempt, -1 marks were deducted.
JEE Main Previous Year Question Papers
Candidates can solve the question papers of the previous year to analyze their performance levels. To enhance the accuracy level, candidates are advised to solve JEE Main Question Papers daily. JEE Main B.Arch year-wise and subject-wise question paper links with answer key PDFs are provided below:
| JEE Main 2022 Question Papers | JEE Main 2021 Question Papers |
| JEE Main 2020 Question Papers | JEE Main 2019 Question Papers |









Comments