JEE Main 2014 B.E/B.Tech Question paper with Answer key PDF Conducted on April 12 is available for download. The exam was successfully organized by Central Board Of Secondary Education (CBSE). In terms of difficulty level, B.E/B.Tech was of Moderate to difficulty level. The question paper comprised a total of 90 questions divided among 3 sections.
JEE Main 2014 B.E/B.Tech Question Paper with Answer Key PDFs – April 12
| JEE Main 2014 Question Paper PDF | JEE Main 2014 Answer key PDF |
|---|---|
| Download PDF | Available Soon |
JEE Main 2014 Question Paper Analysis
- The question paper comprised a total of 90 questions divided among 3 sections i.e, Physics, Chemistry and Maths. Each section consists of 30 questions
- Physics Paper was moderate to difficult level
- Chemistry Paper was easy
- Maths Paper was Lengthy but not tough
For every correct answer, candidates got 4 and for each wrong attempt -1 marks were deducted.
JEE Main Previous Year Question Papers
Candidates can solve the question papers of the previous year to analyze their performance levels. To enhance the accuracy level, candidates are advised to solve JEE Main Question Papers daily. JEE Main B.E/B.Tech year wise and subject wise question paper links with answer key PDFs are provided below:
| JEE Main 2021 Question Papers | JEE Main 2020 Question Papers |
| JEE Main 2019 Question Papers | JEE Main 2018 Question Papers |















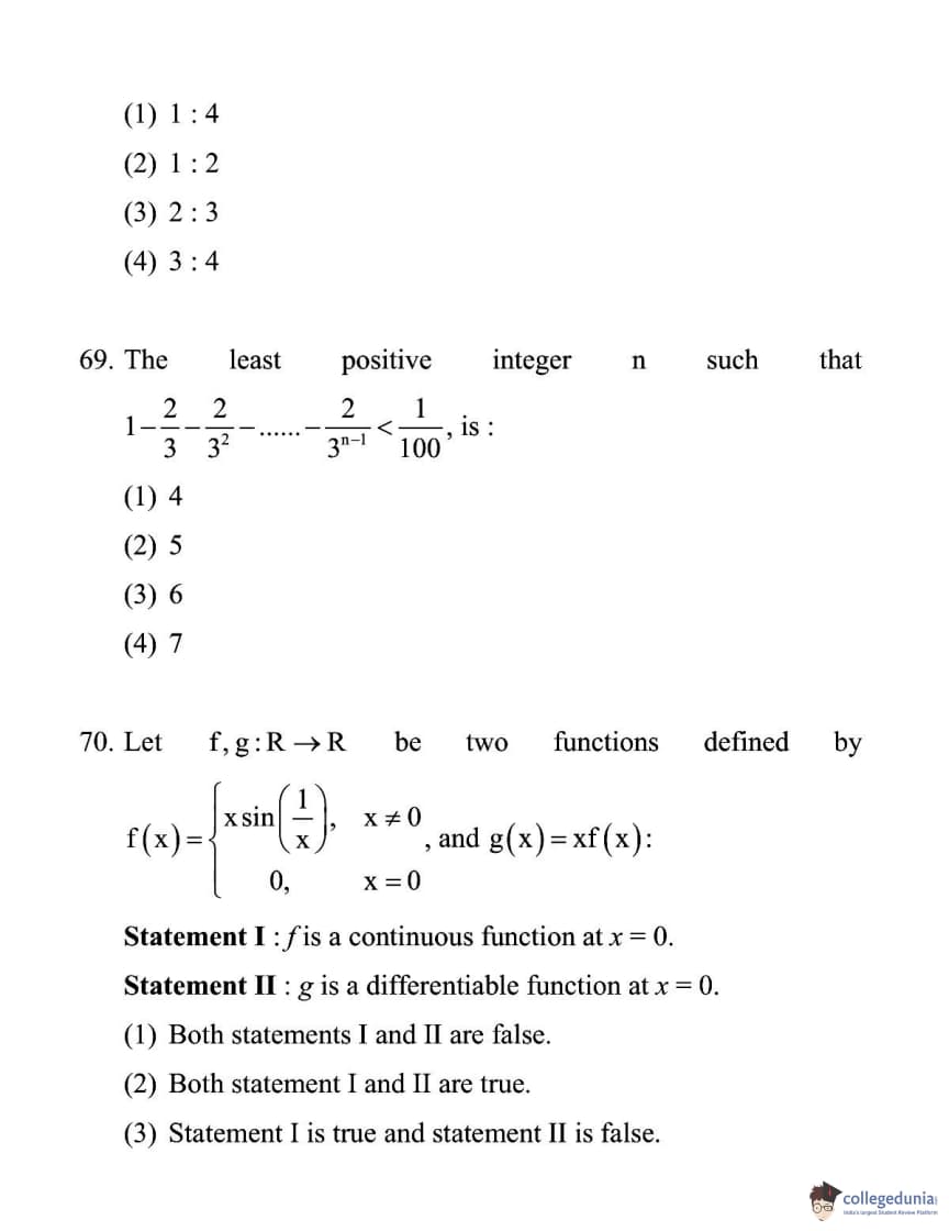
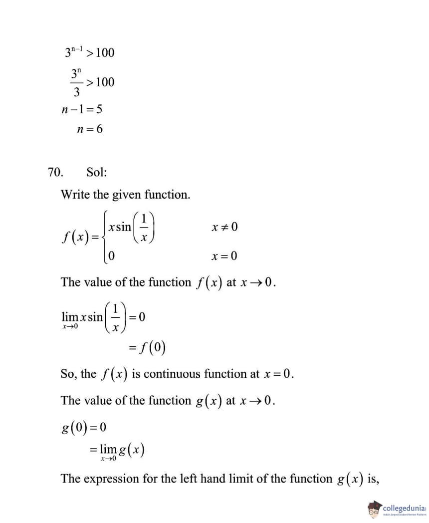
Comments