JEE Main 2026 Jan 24 Shift 1 official question paper is available here with answer key and solutions. NTA conducted the first shift of the day on Jan 24, 2026, from 9 AM to 12 PM.
JEE Main 2026 24th Jan Shift 1 Question Paper with Solution PDF
Also Check:
- Download JEE Main 2026 Session 1 Question Paper for all Shifts
- Predict your rank using Collegedunia’s JEE Main Rank Predictor for free
- Check JEE Main Jan 24th Shift 1 Answer Key
Based on initial analysis, JEE Main Jan 24th Shift 1 was Moderate to Difficult, where Mathematics remains the lengthiest section. Students can access the JEE Main Jan 24 Shift 1 official questions with answer keys here.
Students can check the detailed paper analysis for JEE Main Jan 24th Shift 1 here.

Let \(729, 81, 9, 1, \ldots\) be a sequence and \(P_n\) denote the product of the first \(n\) terms of this sequence.
If \[ 2 \sum_{n=1}^{40} (P_n)^{\frac{1}{n}} = \frac{3^{\alpha} - 1}{3^{\beta}} \]
and \(\gcd(\alpha, \beta) = 1\), then \(\alpha + \beta\) is equal to
The value of \(\dfrac{\sqrt{3}\cosec 20^\circ - \sec 20^\circ}{\cos 20^\circ \cos 40^\circ \cos 60^\circ \cos 80^\circ}\) is equal to
Let the lines \(L_1 : \vec r = \hat i + 2\hat j + 3\hat k + \lambda(2\hat i + 3\hat j + 4\hat k)\), \(\lambda \in \mathbb{R}\) and \(L_2 : \vec r = (4\hat i + \hat j) + \mu(5\hat i + + 2\hat j + \hat k)\), \(\mu \in \mathbb{R}\) intersect at the point \(R\).
Let \(P\) and \(Q\) be the points lying on lines \(L_1\) and \(L_2\), respectively, such that \(|PR|=\sqrt{29}\) and \(|PQ|=\sqrt{\frac{47}{3}}\).
If the point \(P\) lies in the first octant, then \(27(QR)^2\) is equal to
The number of real solutions of the equation: \(x|x+3| + |x-1| - 2 = 0\) is
Let \(A_1\) be the bounded area enclosed by the curves \(y=x^2+2\), \(x+y=8\) and \(y\)-axis that lies in the first quadrant.
Let \(A_2\) be the bounded area enclosed by the curves \(y=x^2+2\), \(y^2=x\), \(x=2\) and \(y\)-axis that lies in the first quadrant.
Then \(A_1-A_2\) is equal to
Let \(R\) be a relation defined on the set \(\{1,2,3,4\}\times\{1,2,3,4\}\) by \[ R=\{((a,b),(c,d)) : 2a+3b=3c+4d\} \]
Then the number of elements in \(R\) is
Let \(\vec a = 2\hat i + \hat j - 2\hat k\), \(\vec b = \hat i + \hat j\) and \(\vec c = \vec a \times \vec b\).
Let \(\vec d\) be a vector such that \(|\vec d - \vec a| = \sqrt{11}\), \(|\vec c \times \vec d| = 3\) and the angle between \(\vec c\) and \(\vec d\) is \(\frac{\pi}{4}\).
Then \(\vec a \cdot \vec d\) is equal to
Let each of the two ellipses \(E_1:\dfrac{x^2}{a^2}+\dfrac{y^2}{b^2}=1\;(a>b)\) and \(E_2:\dfrac{x^2}{A^2}+\dfrac{y^2}{B^2}=1\;(ALet the lengths of the latus recta of \(E_1\) and \(E_2\) be \(l_1\) and \(l_2\), respectively, such that \(2l_1^2=9l_2\).
If the distance between the foci of \(E_1\) is \(8\), then the distance between the foci of \(E_2\) is
Let \(S=\left\{z\in\mathbb{C}:\left|\frac{z-6i}{z-2i}\right|=1 and \left|\frac{z-8+2i}{z+2i}\right|=\frac{3}{5}\right\}\).
Then \(\sum_{z\in S}|z|^2\) is equal to
Let \[ f(t)=\int \left(\frac{1-\sin(\log_e t)}{1-\cos(\log_e t)}\right)dt,\; t>1. \]
If \(f(e^{\pi/2})=-e^{\pi/2}\) and \(f(e^{\pi/4})=\alpha e^{\pi/4}\), then \(\alpha\) equals
Let \[ S=\frac{1}{2!5!}+\frac{1}{3!2!3!}+\frac{1}{5!2!1!}+\cdots up to 13 terms. \]
If \(13S=\dfrac{2^k}{n!}\), \(k\in\mathbb{N}\), then \(n+k\) is equal to
Let \(\alpha,\beta\in\mathbb{R}\) be such that the function \[ f(x)= \begin{cases} 2\alpha(x^2-2)+2\beta x, & x<1
(\alpha+3)x+(\alpha-\beta), & x\ge1 \end{cases} \]
is differentiable at all \(x\in\mathbb{R}\).
Then \(34(\alpha+\beta)\) is equal to
The mean and variance of a data of 10 observations are 10 and 2, respectively.
If an observation \(\alpha\) in this data is replaced by \(\beta\), then the mean and variance become \(10.1\) and \(1.99\), respectively.
Then \(\alpha+\beta\) equals
If the function \[ f(x)=\frac{e^x\left(e^{\tan x - x}-1\right)+\log_e(\sec x+\tan x)-x}{\tan x-x} \]
is continuous at \(x=0\), then the value of \(f(0)\) is equal to
From a lot containing \(10\) defective and \(90\) non-defective bulbs, \(8\) bulbs are selected one by one with replacement.
Then the probability of getting at least \(7\) defective bulbs is
Consider an A.P. \(a_1,a_2,\ldots,a_n\); \(a_1>0\).
If \(a_2-a_1=-\dfrac{3}{4}\), \(a_n=\dfrac{1}{4}a_1\), and \[ \sum_{i=1}^{n} a_i=\frac{525}{2}, \]
then \(\sum_{i=1}^{17} a_i\) is equal to
Let a circle of radius \(4\) pass through the origin \(O\), the points \(A(-\sqrt{3}a,0)\) and \(B(0,-\sqrt{2}b)\), where \(a\) and \(b\) are real parameters and \(ab\neq0\).
Then the locus of the centroid of \(\triangle OAB\) is a circle of radius
Let \(A(1,0)\), \(B(2,-1)\) and \(C\left(\dfrac{7}{3},\dfrac{4}{3}\right)\) be three points.
If the equation of the bisector of the angle \(ABC\) is \(\alpha x+\beta y=5\), then the value of \(\alpha^2+\beta^2\) is
If the domain of the function \[ f(x)=\log\left(10x^2-17x+7\right)\left(18x^2-11x+1\right) \]
is \((-\infty,a)\cup(b,c)\cup(d,\infty)-\{e\}\), then \(90(a+b+c+d+e)\) equals
If \(\cot x=\dfrac{5}{12}\) for some \(x\in(\pi,\tfrac{3\pi}{2})\), then \[ \sin 7x\left(\cos \frac{13x}{2}+\sin \frac{13x}{2}\right) +\cos 7x\left(\cos \frac{13x}{2}-\sin \frac{13x}{2}\right) \]
is equal to
The number of \(3\times2\) matrices \(A\), which can be formed using the elements of the set \(\{-2,-1,0,1,2\}\) such that the sum of all the diagonal elements of \(A^{T}A\) is \(5\), is
Let a line \(L\) passing through the point \(P(1,1,1)\) be perpendicular to the lines \[ \frac{x-4}{4}=\frac{y-1}{1}=\frac{z-1}{1} \quad and \quad \frac{x-17}{1}=\frac{y-71}{1}=\frac{z}{0}. \]
Let the line \(L\) intersect the \(yz\)-plane at the point \(Q\).
Another line parallel to \(L\) and passing through the point \(S(1,0,-1)\) intersects the \(yz\)-plane at the point \(R\).
Then the square of the area of the parallelogram \(PQRS\) is equal to
Let \((2\alpha,\alpha)\) be the largest interval in which the function \[ f(t)=\frac{|t+1|}{t^2},\; t<0 \]
is strictly decreasing. Then the local maximum value of the function \[ g(x)=2\log_e(x-2)+\alpha x^2+4x-\alpha,\; x>2 \]
is
Let a differentiable function \(f\) satisfy \[ \int_0^{36} f\!\left(\frac{tx}{36}\right)dt=4\alpha f(x). \]
If \(y=f(x)\) is a standard parabola passing through the points \((2,1)\) and \((-4,\beta)\), then \(\beta^2\) is equal to
The number of numbers greater than \(5000\), less than \(9000\) and divisible by \(3\), that can be formed using the digits \(0,1,2,5,9\), if repetition of digits is allowed, is
A boy throws a ball into air at \(45^\circ\) from the horizontal to land it on a roof of a building of height \(H\). If the ball attains maximum height in \(2\,s\) and lands on the building in \(3\,s\) after launch, then the value of \(H\) is \hspace{1cm m.
(Given: \(g = 10\,m s^{-2\))
There are three co-centric conducting spherical shells \(A\), \(B\) and \(C\) of radii \(a\), \(b\) and \(c\) respectively \((c>b>a)\) and they are charged with charges \(q_1\), \(q_2\) and \(q_3\) respectively. The potentials of the spheres \(A\), \(B\) and \(C\) respectively are:
For the series LCR circuit connected with \(220\,V,\,50\,Hz\) a.c. source as shown in the figure, the power factor is \(\dfrac{\alpha}{10}\). The value of \(\alpha\) is __________.

An unpolarised light is incident at an interface of two dielectric media having refractive indices of \(2\) (incident medium) and \(2\sqrt{3}\) (refracted medium) respectively. To satisfy the condition that reflected and refracted rays are perpendicular to each other, the angle of incidence is __________.
The exit surface of a prism with refractive index \(n\) is coated with a material having refractive index \(\dfrac{n}{2}\). When this prism is set for minimum angle of deviation, it exactly meets the condition of critical angle. The prism angle is __________.
A spring of force constant \(15\,N/m\) is cut into two pieces. If the ratio of their lengths is \(1:3\), then the force constant of the smaller piece is __________ \(N/m\).
Two electrons are moving in orbits of two hydrogen like atoms with speeds \(3\times10^{5}\,m/s\) and \(2.5\times10^{5}\,m/s\) respectively. If the radii of these orbits are nearly same then the possible order of energy states are __________ respectively.
A cylindrical block of mass \(M\) and area of cross section \(A\) is floating in a liquid of density \(\rho\) with its axis vertical. When depressed a little and released the block starts oscillating. The period of oscillation is __________.
Match the LIST-I with LIST-II:
\begin{tabular{|c|l|c|l|
\hline
List-I & & List-II &
\hline
A. & Magnetic induction & I. & \(MLT^{-2}A^{-2}\)
B. & Magnetic flux & II. & \(ML^{2}T^{-2}A^{-2}\)
C. & Magnetic permeability & III. & \(ML^{0}T^{-2}A^{-1}\)
D. & Self inductance & IV. & \(ML^{2}T^{-2}A^{-1}\)
\hline
\end{tabular
Choose the correct answer from the options given below:
A brass wire of length \(2\,m\) and radius \(1\,mm\) at \(27^\circC\) is held taut between two rigid supports. Initially it was cooled to a temperature of \(-43^\circC\) creating a tension \(T\) in the wire. The temperature to which the wire has to be cooled in order to increase the tension in it to \(1.4T\) is __________\(^\circ\)C.
Two resistors of \(100\,\Omega\) each are connected in series with a \(9\,V\) battery. A voltmeter of \(400\,\Omega\) resistance is connected to measure the voltage drop across one of the resistors. The voltmeter reading is __________ V.
Two masses \(400\,g\) and \(350\,g\) are suspended from the ends of a light string passing over a heavy pulley of radius \(2\,cm\). When released from rest the heavier mass is observed to fall \(81\,cm\) in \(9\,s\). The rotational inertia of the pulley is \hspace{1cm \(kg m^2\).
(Given: \(g = 9.8\,m s^{-2\))
Given below are two statements:
Statement I: For all elements, greater the mass of the nucleus, greater is the binding energy per nucleon.
Statement II: For all elements, nuclei with less binding energy per nucleon transform to nuclei with greater binding energy per nucleon.
Choose the correct answer.
In a microscope of tube length \(10\,cm\) two convex lenses are arranged with focal lengths \(2\,cm\) and \(5\,cm\). Total magnification obtained with this system for normal adjustment is \((5)^k\). The value of \(k\) is __________.
The electrostatic potential in a charged spherical region of radius \(r\) varies as \(V = ar^{3} + b\), where \(a\) and \(b\) are constants. The total charge in the sphere of unit radius is \(a \times \pi \varepsilon_{0}\). The value of \(a\) is \hspace{1cm.
(Permittivity of vacuum is \(\varepsilon_{0\))
Two resistors \(2\,\Omega\) and \(3\,\Omega\) are connected in the gaps of a bridge as shown in the figure. The null point is obtained with the contact of jockey at some point on wire \(XY\). When an unknown resistor is connected in parallel with \(3\,\Omega\) resistor, the null point is shifted by \(22.5\,cm\) towards \(Y\). The resistance of unknown resistor is __________ \(\Omega\).

Three masses \(200\,kg\), \(300\,kg\) and \(400\,kg\) are placed at the vertices of an equilateral triangle of side \(20\,m\). They are rearranged on the vertices of a bigger triangle of side \(25\,m\) with the same centre. The work done in this process is \hspace{1cm J.
(Gravitational constant \(G = 6.7 \times 10^{-11\,N m^2kg^{-2}\))
Match the LIST-I with LIST-II:
\begin{tabular{|c|l|c|l|
\hline
List-I & & List-II &
\hline
A. & Radio-wave & I. & is produced by Magnetron valve
B. & Micro-wave & II. & due to change in the vibrational modes of atoms
C. & Infrared-wave & III. & due to inner shell electrons moving from higher energy level to lower energy level
D. & X-ray & IV. & due to rapid acceleration of electrons
\hline
\end{tabular
Choose the correct answer from the options given below:
Three charges \(+2q\), \(+3q\) and \(-4q\) are situated at \((0,-3a)\), \((2a,0)\) and \((-2a,0)\) respectively in the \(x\)-\(y\) plane. The resultant dipole moment about origin is __________.
Density of water at \(4^\circ\)C and \(20^\circ\)C are \(1000\,kg/m^3\) and \(998\,kg/m^3\) respectively. The increase in internal energy of \(4\,kg\) of water when it is heated from \(4^\circ\)C to \(20^\circ\)C is \hspace{1cm J.
(Specific heat capacity of water \(= 4.2\,J g^{-1K^{-1}\) and atmospheric pressure \(=10^5\,Pa\))
In the given figure, the blocks \(A\), \(B\) and \(C\) weigh \(4\,kg\), \(6\,kg\) and \(8\,kg\) respectively. The coefficient of sliding friction between any two surfaces is \(0.5\). The force \(\vec{F}\) required to slide the block \(C\) with constant speed is \hspace{1cm N.
(Given: \(g = 10\,m s^{-2\))

A voltage regulating circuit consisting of a Zener diode having breakdown voltage of \(10\,V\) and maximum power dissipation of \(0.4\,W\) is operated at \(15\,V\). The approximate value of protective resistance in this circuit is __________ \(\Omega\).
A short bar magnet placed with its axis at \(30^\circ\) with an external magnetic field of \(800\) Gauss experiences a torque of \(0.016\,N m\). The work done in moving it from most stable to most unstable position is \(\alpha \times 10^{-3}\,J\). The value of \(\alpha\) is __________.
A gas of certain mass filled in a closed cylinder at a pressure of \(3.23\,kPa\) has temperature \(50^\circ\)C. The gas is now heated to double its temperature. The modified pressure is __________ Pa.
Sixty four rain drops of radius \(1\,mm\) each falling down with a terminal velocity of \(10\,cm/s\) coalesce to form a bigger drop. The terminal velocity of the bigger drop is __________ cm/s.
Match the LIST-I with LIST-II:
\begin{tabular{|c|l||c|l|
\hline
List-I & Chloro-derivative & List-II & Example
\hline
A. & Vinyl Chloride & I. & \(\mathrm{CH_2 = CH - CH_2Cl}\)
B. & Benzyl Chloride & II. & \(\mathrm{CH_3 - CH(Cl)CH_3}\)
C. & Alkyl Chloride & III. & \(\mathrm{CH_2 = CHCl}\)
D. & Allyl Chloride & IV. & 
\hline
\end{tabular
Choose the correct answer from the options given below:
At \(27^\circC\), in presence of a catalyst, activation energy of a reaction is lowered by \(10\,kJ mol^{-1}\). The logarithm of the ratio \(\dfrac{k(catalysed)}{k(uncatalysed)}\) is __________.
(Consider that the frequency factor for both the reactions is same)
A hydroxy compound \((X)\) with molar mass \(122\,g mol^{-1}\) is acetylated with acetic anhydride, using a large excess of the reagent ensuring complete acetylation of all hydroxyl groups. The product obtained has a molar mass of \(290\,g mol^{-1}\). The number of hydroxyl groups present in compound \((X)\) is __________.
Consider three metal chlorides \(x\), \(y\) and \(z\), where \(x\) is water soluble at room temperature, \(y\) is sparingly soluble in water at room temperature and \(z\) is soluble in hot water. \(x\), \(y\) and \(z\) are respectively __________.
Given below are statements about some molecules/ions. Identify the CORRECT statements.
A. The dipole moment value of \(\mathrm{NF_3}\) is higher than that of \(\mathrm{NH_3}\).
B. The dipole moment value of \(\mathrm{BeH_2}\) is zero.
C. The bond order of \(\mathrm{O_2^{2-}}\) and \(\mathrm{F_2}\) is same.
D. The formal charge on the central oxygen atom of ozone is \(-1\).
E. In \(\mathrm{NO_2}\), all the three atoms satisfy the octet rule, hence it is very stable.
Choose the correct answer from the options given below:
\(A \rightarrow D\) is an endothermic reaction occurring in three elementary steps:
(i) \(A \rightarrow B \quad \Delta H_i = +ve\)
(ii) \(B \rightarrow C \quad \Delta H_{ii} = -ve\)
(iii) \(C \rightarrow D \quad \Delta H_{iii} = -ve\)
Which of the following graphs between potential energy (y-axis) versus reaction coordinate (x-axis) correctly represents the reaction profile of \(A \rightarrow D\)?

The correct stability order of the following diazonium salts is:

Choose the correct answer from the options given below:
Arrange the following carbanions in the decreasing order of stability:
I. \(p\)-\(\mathrm{Br{-}C_6H_4{-}CH_2^-}\)
II. \(\mathrm{C_6H_5{-}CH_2^-}\)
III. \(p\)-\(\mathrm{CH_3O{-}C_6H_4{-}CH_2^-}\)
IV. \(p\)-\(\mathrm{CHO{-}C_6H_4{-}CH_2^-}\)
V. \(p\)-\(\mathrm{CH_3{-}C_6H_4{-}CH_2^-}\)
Choose the correct answer from the options given below:
Consider the following two reactions A and B:

The numerical value of [molar mass of \(x\) + molar mass of \(y\)] is __________.
\(W\) g of a non-volatile electrolyte solid solute of molar mass \(M\,g mol^{-1}\) when dissolved in \(100\,mL\) water decreases vapour pressure of water from \(640\,mm Hg\) to \(600\,mm Hg\). If aqueous solution of the electrolyte boils at \(375\,K\) and \(K_b\) for water is \(0.52\,K kg mol^{-1}\), then the mole fraction of the electrolyte \((x_2)\) in the solution can be expressed as \hspace{1cm.
(Given: density of water \(=1\,g mL^{-1\), boiling point of water \(=373\,K\))
Match the LIST-I with LIST-II for an isothermal process of an ideal gas system.
\begin{tabular{|c|l||c|l|
\hline
List-I & & List-II & Work done (\(V_f > V_i\))
\hline
A. & Reversible expansion & I. & \(w = 0\)
B. & Free expansion & II. & \(w = -nRT\ln\!\left(\dfrac{V_f}{V_i}\right)\)
C. & Irreversible expansion & III. & \(w = -P_{ex}(V_f - V_i)\)
D. & Irreversible compression & IV. & \(w = -P_{ex}(V_i - V_f)\)
\hline
\end{tabular
Choose the correct answer from the options given below:
Given below are two statements:
Statement I: C–Cl bond is stronger in \(\mathrm{CH_2 = CH{-}Cl}\) than in \(\mathrm{CH_3{-}CH_2{-}Cl}\).
Statement II: The given optically active molecule, on hydrolysis, gives a solution that can rotate the plane polarized light.
In the light of the above statements, choose the correct answer from the options given below:
Arrange the following alkenes in the decreasing order of stability:

Choose the correct answer from the options given below:
Given below are two statements:
Statement I: Hybridisation, shape and spin only magnetic moment of \(\mathrm{K_3[Co(CO_3)_3]}\) is \(sp^3d^2\), octahedral and \(4.9\) BM respectively.
Statement II: Geometry, hybridisation and spin only magnetic moment values (BM) of the ions \(\mathrm{[Ni(CN)_4]^{2-}}\), \(\mathrm{[MnBr_4]^{2-}}\) and \(\mathrm{[CoF_6]^{3-}}\) respectively are square planar, tetrahedral, octahedral; \(dsp^2\), \(sp^3\), \(sp^3d^2\) and \(0\), \(5.9\), \(4.9\).
In the light of the above statements, choose the correct answer from the options given below:
Given below are two statements:
Statement I: \(\mathrm{K > Mg > Al > B}\) is the correct order in terms of metallic character.
Statement II: Atomic radius is always greater than the ionic radius for any element.
In the light of the above statements, choose the correct answer from the options given below:
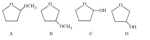
A student is given one compound among the following compounds that gives positive test with Tollen's reagent. The compound is:

Consider a mixture \(X\) which is made by dissolving \(0.4\) mol of \([\mathrm{Co(NH_3)_5SO_4}]Br\) and \(0.4\) mol of \([\mathrm{Co(NH_3)_5Br}]SO_4\) in water to make \(4\) L of solution. When \(2\) L of mixture \(X\) is allowed to react with excess \(\mathrm{AgNO_3}\), it forms precipitate \(Y\). The rest \(2\) L of mixture \(X\) reacts with excess \(\mathrm{BaCl_2}\) to form precipitate \(Z\). Which of the following statements is CORRECT?
A solution is prepared by dissolving 0.3 g of a non-volatile non-electrolyte solute A of molar mass 60 g mol\(^{-1}\) and 0.9 g of a non-volatile non-electrolyte solute B of molar mass 180 g mol\(^{-1}\) in 100 mL H\(_2\)O at 27\(^\circ\)C. Osmotic pressure of the solution will be
[Given: R = 0.082 L atm K\(^{-1}\) mol\(^{-1}\)]
Given below are two statements:
Statement I: The number of paramagnetic species among \([\mathrm{CoF_6}]^{3-}\), \([\mathrm{TiF_6}]^{3-}\), \(\mathrm{V_2O_5}\) and \([\mathrm{Fe(CN)_6}]^{3-}\) is 3.
Statement II: \( \mathrm{K_4[Fe(CN)_6]} < \mathrm{K_3[Fe(CN)_6]} < \mathrm{[Fe(H_2O)_6]SO_4 \cdot H_2O} < \mathrm{[Fe(H_2O)_6]Cl_3} \) is the correct order in terms of number of unpaired electrons.
Choose the correct answer from the options given below:
Among the following, the CORRECT combinations are
A. \( \mathrm{IF_3} \rightarrow \) T-shaped (\( sp^3d \))
B. \( \mathrm{IF_5} \rightarrow \) Square pyramidal (\( sp^3d^2 \))
C. \( \mathrm{IF_7} \rightarrow \) Pentagonal bipyramidal (\( sp^3d^3 \))
D. \( \mathrm{ClO_4^-} \rightarrow \) Square planar (\( sp^2d \))
Choose the correct answer from the options given below:
The hydrogen spectrum consists of several spectral lines in Lyman series (L\(_1\), L\(_2\), L\(_3\) \dots; L\(_1\) has lowest energy among Lyman series). Similarly, it consists of several spectral lines in Balmer series (B\(_1\), B\(_2\), B\(_3\) \dots; B\(_1\) has lowest energy among Balmer lines). The energy of L\(_1\) is \(x\) times the energy of B\(_1\). The value of \(x\) is \hspace{1cm \(\times 10^{-1\). (Nearest integer)
X and Y are the number of electrons involved, respectively during the oxidation of I\(^-\) to I\(_2\) and S\(^{2-}\) to S by acidified K\(_2\)Cr\(_2\)O\(_7\). The value of X + Y is __________.
Consider two Group IV metal ions X\(^{2+}\) and Y\(^{2+}\). A solution containing 0.01 M X\(^{2+}\) and 0.01 M Y\(^{2+}\) is saturated with H\(_2\)S. The pH at which the metal sulphide YS will form as a precipitate is \hspace{1cm. (Nearest integer)
Given:
\(K_{sp(\mathrm{XS}) = 1 \times 10^{-22}\) at 25\(^\circ\)C
\(K_{sp}(\mathrm{YS}) = 4 \times 10^{-16}\) at 25\(^\circ\)C
\([\mathrm{H_2S}] = 0.1\) M
\(K_{a1} \times K_{a2} (\mathrm{H_2S}) = 1.0 \times 10^{-21}\)
\(\log 2 = 0.30,\ \log 3 = 0.48,\ \log 5 = 0.70\)
In Dumas method for estimation of nitrogen, 0.50 g of an organic compound gave 70 mL of nitrogen collected at 300 K and 715 mm pressure. The percentage of nitrogen in the organic compound is \hspace{1cm} %. (Aqueous tension at 300 K is 15 mm)
Electricity is passed through an acidic solution of Cu\(^{2+}\) till all the Cu\(^{2+}\) was exhausted, leading to the deposition of 300 mg of Cu metal. However, a current of 600 mA was continued to pass through the same solution for another 28 minutes by keeping the total volume of the solution fixed at 200 mL. The total volume of oxygen evolved at STP during the entire process is \hspace{1cm mL. (Nearest integer)
Given:
\(\mathrm{Cu^{2+ + 2e^- \rightarrow Cu(s)}\)
\(\mathrm{O_2 + 4H^+ + 4e^- \rightarrow 2H_2O}\)
Faraday constant = 96500 C mol\(^{-1}\)
Molar volume at STP = 22.4 L








Comments