JEE Main 2026 April 4 Shift 2 Chemistry Question Paper is available here with answer key and solutions. NTA conducted the second shift of the day on April 4, 2026, from 3:00 PM to 6:00 PM.
- The JEE Main Chemistry Question Paper contains a total of 25 questions.
- Each correct answer gets you 4 marks while incorrect answers gets you a negative mark of 1.
Candidates can download the JEE Main 2026 April 4 Shift 2 chemistry question paper along with detailed solutions to analyze their performance and understand the exam pattern better.
JEE Main 2026 April 4 Shift 2 Chemistry Question Paper with Solution PDF

Also Check:
Given that: \[ E^\circ_{Fe^{3+}/Fe} = -0.036\, V \quad and \quad E^\circ_{M^{x+}/M} = 0.15\, V \]
A Galvanic cell is formed using above electrodes, whose \( E_{cell} = 0.2047\, V \) when reaction quotient of cell reaction is \(10^{-2}\). Find the value of \(x\). [Nearest integer]
20 ml of CH\(_3\)COOH solution is neutralised by 28.08 ml of NaOH. In the 20 ml of same solution 14.04 ml of same NaOH solution is poured, then pH of resultant solution will be: (pKa of CH\(_3\)COOH = 4.75)
For a given reversible reaction at \(300\,K\): \[ 2N_2O_5(g) \rightleftharpoons 4NO_2(g) + O_2(g) \]
If \( N_2O_5 \) is 50% dissociated at 5 bar and 300 K at equilibrium then find \( \Delta G^\circ \) for the reaction?
[Given : \( \log 2 = 0.3, \log 7 = 0.84 \)]
Which of the following have same radius according to Bohr's theory :
(A) Radius of \(1^{st}\) orbit of H-atom.
(B) Radius of \(1^{st}\) orbit of He\(^{+}\).
(C) Radius of \(II^{nd}\) orbit of He\(^{2+}\).
(D) Radius of \(II^{nd}\) orbit of Li\(^{2+}\).
(E) Radius of \(II^{nd}\) orbit of Be\(^{3+}\).
For the 1st order reaction
\[ A \rightarrow P \]
Based on given data, find the time \(x\) (in min)

When 3.395 gm \(C_2H_5OH_{(l)}\) is burnt completely, it liberate 101.11 kJ of heat, then find the enthalpy of formation of \(C_2H_5OH_{(l)}\)
Given \(\Delta H_f^\circ\) of \(H_2O_{(l)} = -285.8 \, kJ/mol\)
\(\Delta H_c^\circ\) of graphite \(= -393.5 \, kJ/mol\)
From given data
(I) 90.8 lit of \(H_2(g)\) at STP
(II) 684 gm of sucrose
(III) 2 moles of cyclohexane
Correct order of total number of atoms will be
Consider the following setup separated by a semi–permeable membrane (SPM):

Which of the following is correct for the above figure?
For the reaction:
\[ R \rightarrow P \]
The variation of concentration of reactant \([R]\) with time is shown below.

Statements:
I. Curve 1 will be observed when order of reaction is 1.
II. If curve 2 & curve 3 are observed for \(1^{st}\) order then rate constant for \(3^{rd}\) curve will be greater than rate constant for \(2^{nd}\) curve.
III. Decomposition of HI on gold surface represent curve (1).
Select the option representing correct set of statements:
Assume internuclear axis to be z-axis, the correct molecular orbital representation of \(\pi^*\) antibonding molecular orbital formed by overlapping between two \(p\) orbitals will be:

If first ionization enthalpy of Mg is \(738 \, kJ/mol\) then second ionization enthalpy of Mg in kJ/mol will be :
Element ‘M’ of group 13 has same electronegativity as Ge.
Consider the statements
(A) \(M^{3+}\) is good oxidizing agent
(B) \(M^{3+}\) is good reducing agent
(C) \(E^\circ_{M^{3+}/M} > 0\)
(D) \(M^{3+}\) is more stable than \(M^{+}\)
Which of the following is correct?
Consider the following elements.
Hf \([Z = 72]\) ; Yb \([Z = 70]\) ; Lu \([Z = 71]\)
Gd \([Z = 64]\) ; Eu \([Z = 63]\) ; Tm \([Z = 69]\)
Dy \([Z = 66]\) ; Er \([Z = 68]\)
A : [Hf, Yb]
B : [Gd, Eu]
C : [Lu, Tm]
D : [Er, Dy]
The pair which contains same number of \(f\) electrons.
Which of the following ion forms a precipitate on addition of \(NH_4OH\) and \(H_2S\)?
Consider the following complex compounds
(A) \([Ni(NH_3)_6]^{2+}\)
(B) \([NiCl_4]^{2-}\)
(C) \([Ni(en)_3]^{2+}\)
The number of unpaired electrons in A, B and C respectively and order of frequency of absorbed radiation among A, B and C is:
If \(|x|\) represents the difference in maximum oxidation state possible for Mn in its oxide and in its fluoride.
Among the following ions, which ions contain unpaired electrons equal to \(|x|\).
(A) \(Zn^{2+}\)
(B) \(Fe^{2+}\)
(C) \(Co^{2+}\)
(D) \(V^{2+}\)
(E) \(Sc^{3+}\)
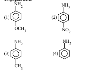
Which of the following compound has most stable conjugate acid?

Styrene undergoes the following sequence of reactions

Molar mass of product (P) is:
Compare the C–O bond length in the following compounds
(a) \(CH_3{-}CO{-}CH_3\)
(b) Benzaldehyde type structure
(c) \(CH_3{-}COO^{-}\)
Compare C–O bond length.
Match the column-I with column-II

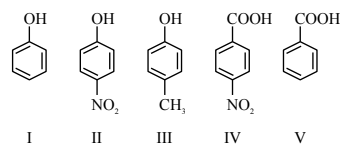
Compare acidic strength of the following compounds:

(I) Phenol
(II) \(p\)-Nitrophenol
(III) \(p\)-Methylphenol
(IV) \(p\)-Nitrobenzoic acid
(V) Benzoic acid
Product of D-aldotetroses with conc. \(HNO_3\) gives optically inactive dicarboxylic acid. Which among the following will be D-Aldotetrose in the given structures?

Relationship between following pair of compounds?

Match the column-I with column-II

Compound (X) has molar mass \(76\). \(2 \times 10^{-3}\) mole of X gives \(0.4813\,g\) \(BaSO_4\) as precipitate. What is the % of S in compound (X)? Mention answer in \(10^{-1}\) form.
JEE Main 2026 Chemistry Exam Pattern
| Particulars | Details |
|---|---|
| Exam Mode | Online (Computer-Based Test) |
| Paper | B.E./B.Tech |
| Medium of Exam | 13 languages: English, Hindi, Gujarati, Bengali, Tamil, Telugu, Kannada, Marathi, Malayalam, Odia, Punjabi, Assamese, Urdu |
| Type of Questions | Multiple Choice Questions (MCQs) + Numerical Value Questions |
| Total Marks | 100 marks |
| Marking Scheme | +4 for correct answer & -1 for incorrect MCQ and Numerical Value-based Questions |
| Total Questions | 25 Questions |









Comments