NTA has released JEE Main 2026 official question papers on their website jeemain.nta.nic.in. JEE Main 2026 April 6 Shift 1 Question Paper with Answer Key and Solution PDF is available here.
NTA conducted JEE Main 2026 April 6 Shift 1 from 9 AM to 12 PM in CBT Mode in 3 sections: Physics, Chemistry, and Mathematics, prepared according to the latest JEE Main exam pattern.
Also Check:
In JEE Mains 2026 April 6 Shift 1 paper, Physics Questions were asked from LR Circuit, LC circuit. Some Questions from Mathematics were lengthy.
JEE Main 2026 April 6 Shift 1 Question Paper with Solution PDF
Let $[\cdot]$ denote the greatest integer function. If the domain of the function
$$f(x) = \sin^{-1} \left( \frac{x + [x]}{3} \right)$$
is $[\alpha, \beta)$, then $\alpha^2 + \beta^2$ is equal to:
Let one root of the quadratic equation in $x$:
$(k^2 - 15k + 27)x^2 + 9(k - 1)x + 18 = 0$
be twice the other. Then the length of the latus rectum of the parabola $y^2 = 6kx$ is equal to:
Let $e_1$ and $e_2$ be two distinct roots of the equation $x^2 - ax + 2 = 0$. Let the sets
$\{a \in \mathbb{R} : e_1 \text{ and } e_2 \text{ are the eccentricities of hyperbolas}\} = (\alpha, \beta)$, and
$\{a \in \mathbb{R} : e_1 \text{ and } e_2 \text{ are the eccentricities of an ellipse and a hyperbola, respectively}\} = (\gamma, \infty)$.
Then $\alpha^2 + \beta^2 + \gamma^2$ is equal to:
Let the set of all values of $k \in \mathbb{R}$ such that the equation
$z(\bar{z} + 2 + i) + k(2 + 3i) = 0, z \in \mathbb{C}$, has at least one solution, be the interval $[\alpha, \beta]$. Then $9(\alpha + \beta)$ is equal to:
The value of $1^3 - 2^3 + 3^3 - ... + 15^3$ is:
The sum of the first ten terms of an A.P. is 160 and the sum of the first two terms of a G.P. is 8. If the first term of the A.P. is equal to the common ratio of the G.P. and the first term of the G.P. is equal to common difference of the A.P., then the sum of all possible values of the first term of the G.P. is:
The number of 4-letter words, with or without meaning, each consisting of two vowels and two consonants that can be formed from the letters of the word INCONSEQUENTIAL, without repeating any letter, is:
If the coefficients of the middle terms in the binomial expansions of $(1 + \alpha x)^{26}$ and $(1 - \alpha x)^{28}$, $\alpha \neq 0$, are equal, then the value of $\alpha$ is:
A data consists of 20 observations $x_1, x_2, \dots, x_{20}$. If $\sum_{i=1}^{20} (x_i + 5)^2 = 2500$ and $\sum_{i=1}^{20} (x_i - 5)^2 = 100$, then the ratio of mean to standard deviation of this data is:
A bag contains $(N + 1)$ coins - $N$ fair coins, and one coin with 'Head' on both sides. A coin is selected at random and tossed. If the probability of getting 'Head' is $\frac{9}{16}$, then $N$ is equal to:
If the eccentricity $e$ of the hyperbola $\frac{x^2}{a^2} - \frac{y^2}{b^2} = 1$, passing through $(6, 4\sqrt{3})$, satisfies $15(e^2 + 1) = 34e$, then the length of the latus rectum of the hyperbola $\frac{x^2}{b^2} - \frac{y^2}{2(a^2 + 1)} = 1$ is:
Let chord $PQ$ of length $3\sqrt{13}$ of the parabola $y^2 = 12x$ be such that the ordinates of points $P$ and $Q$ are in the ratio $1:2$. If the chord $PQ$ subtends an angle $\alpha$ at the focus of the parabola, then $\sin \alpha$ is equal to:
Let $0 < \alpha < 1, \beta = \frac{1}{3\alpha}$ and $\tan^{-1}(1-\alpha) + \tan^{-1}(1-\beta) = \frac{\pi}{4}$. Then $6(\alpha + \beta)$ is equal to:
Let $S = \{\theta \in (-2\pi, 2\pi) : \cos\theta + 1 = \sqrt{3} \sin\theta\}$. Then $\sum_{\theta \in S} \theta$ is equal to:
Let the image of the point $P(1, 6, a)$ in the line $L: \frac{x}{1} = \frac{y-1}{2} = \frac{z-a+1}{b}, b > 0$, be $(\frac{a}{3}, 0, a+c)$. If $S(\alpha, \beta, \gamma), \alpha > 0$, is the point on $L$ such that the distance of $S$ from the foot of perpendicular from the point $P$ on $L$ is $2\sqrt{14}$, then $\alpha + \beta + \gamma$ is equal to:
Let a line $L$ be perpendicular to both the lines $L_1: \frac{x+1}{3} = \frac{y+3}{5} = \frac{z+5}{7}$ and $L_2: \frac{x-2}{1} = \frac{y-4}{4} = \frac{z-6}{7}$. If $\theta$ is the acute angle between the lines $L$ and $L_3: \frac{x-\frac{8}{7}}{2} = \frac{y-\frac{4}{7}}{1} = \frac{z}{2}$, then $\tan \theta$ is equal to:
The value of $\lim_{x \to 0} \frac{x^2 \sin^2 x}{x^2 - \sin^2 x}$ is:
The value of the integral $\int_{-\frac{\pi}{4}}^{\frac{\pi}{4}} \frac{32 \cos^4 x}{1 + e^{\sin x}} dx$ is:
The area of the region {(x, y) : 0 ≤ y ≤ 6 - x, y^2 ≥ 4x - 3, x ≥ 0} is:
Let $e$ be the base of natural logarithm and let $f : \{1, 2, 3, 4\} \to \{1, e, e^2, e^3\}$ and $g : \{1, e, e^2, e^3\} \to \{1, \frac{1}{2}, \frac{1}{3}, \frac{1}{4}\}$ be two bijective functions such that $f$ is strictly decreasing and $g$ is strictly increasing. If $\phi(x) = \left[ f^{-1} \left\{ g^{-1} \left( \frac{1}{2} \right) \right\} \right]^x$, then the area of the region $R = \{ (x, y) : x^2 \le y \le \phi(x), 0 \le x \le 1 \}$ is:
Let $A = \begin{bmatrix} -1 & 1 & -1 \\ 1 & 0 & 1 \\ 0 & 0 & 1 \end{bmatrix}$ satisfy $A^2 + \alpha(\text{adj}(\text{adj}(A))) + \beta(\text{adj}(A)(\text{adj}(\text{adj}(A)))) = \begin{bmatrix} 2 & -2 & 2 \\ -2 & 0 & -1 \\ 0 & 0 & -1 \end{bmatrix}$ for some $\alpha, \beta \in \mathbb{R}$.
Then $(\alpha - \beta)^2$ is equal to __________.
Let the centre of the circle $x^2 + y^2 + 2gx + 2fy + 25 = 0$ be in the first quadrant and lie on the line $2x - y = 4$. Let the area of an equilateral triangle inscribed in the circle be $27\sqrt{3}$. Then the square of the length of the chord of the circle on the line $x = 1$ is __________.
If $\vec{a} = \hat{i} + \hat{j} + \hat{k}$, $\vec{b} = \hat{j} - \hat{k}$ and $\vec{c}$ be three vectors such that $\vec{a} \times \vec{c} = \vec{b}$ and $\vec{a} \cdot \vec{c} = 3$, then $\vec{c} \cdot (\vec{a} - 2\vec{b})$ is equal to __________.
For the functions $f(\theta) = \alpha \tan^{2}\theta + \beta \cot^{2}\theta$, and $g(\theta) = \alpha \sin^{2}\theta + \beta \cos^{2}\theta$, $\alpha > \beta > 0$, let $\min_{0 < \theta < \frac{\pi}{2}} f(\theta) = \max_{0 < \theta < \pi} g(\theta)$. If the first term of a G.P. is $\left( \frac{\alpha}{2\beta} \right)$, its common ratio is $\left( \frac{2\beta}{\alpha} \right)$ and the sum of its first 10 terms is $\frac{m}{n}$, $\gcd(m, n) = 1$, then $m + n$ is equal to ________.
Let $y = y(x)$ be the solution of the differential equation $(x^2 - x\sqrt{x^2 - 1}) dy + (y(x - \sqrt{x^2 - 1}) - x) dx = 0, x \geq 1$. If $y(1) = 1$, then the greatest integer less than $y(\sqrt{5})$ is ________.
The density $\rho$ of a uniform cylinder is determined by measuring its mass $m$, length $l$ and diameter $d$. The measured values of $m, l$ and $d$ are $97.42 \pm 0.02$ g, $8.35 \pm 0.05$ mm and $20.20 \pm 0.02$ mm, respectively. Calculated percentage fractional error in $\rho$ is
The potential energy of a particle changes with distance $x$ from a fixed origin as $V = \frac{A\sqrt{x}}{x + B}$, where $A$ and $B$ are constant with appropriate dimensions. The dimensions of $AB$ are
The rain drop of mass $1$ g, starts with zero velocity from a height of $1$ km. It hits the ground with a speed of $5$ m/s. The work done by the unknown resistive force is —————— J.
(take $g = 10$ m/s$^2$)
Two blocks ($P$ and $Q$) with respectively masses $2\text{ kg}$ and $1.5\text{ kg}$ are joined by a massless thread. These blocks are mounted on a frictionless pully which is fixed on the edge of a cube $(S)$, as shown in the figure below. Block $P$ is positioned on the top surface which has no friction and block $Q$ is in contact with side-surface, having coefficient friction $\mu$. The cube $(S)$ moves towards the right with acceleration of $\frac{g}{2}$, where $g$ is gravitational acceleration. During this movement the block $P$ and $Q$ remain stationary. The value of $\mu$ is ______. (take $g = 10\text{ m/s}^2$)
A lift of mass $1600\text{ kg}$ is supported by thick iron wire. If the maximum stress which the wire can withstand is $4 \times 10^8\text{ N/m}^2$ and its radius is $4\text{ mm}$, then maximum acceleration the lift can take is ______ $\text{m/s}^2$. (take $g = 10\text{ m/s}^2$ and $\pi = 3.14$)
A solid sphere of radius $4\text{ cm}$ and mass $5\text{ kg}$ is rotating (rotation axis is passing through the centre of the sphere) with an angular velocity of $1200\text{ rpm}$. It is brought to rest in $10\text{ s}$ by applying a constant torque. The torque applied and the number of rotations it made before it comes to rest are ______ and ______ respectively.
A smooth inclined plane ends in a vertical circular loop, as shown in the figure. A small body is released from height $h$ as shown. If the body exerts a force of three times its weight on the plane at the highest point of circle then the height $h = \alpha R$. The value of $\alpha$ is _________.
The position of center of mass of three masses 2 kg, 3 kg and 15 kg placed with respect to mid point ($p$) of normal bisector, as shown in the figure is _________
The two wires $A$ and $B$ of equal cross-section but of different materials are joined together. The ratio of Young's modulus of wire $A$ and wire $B$ is $20/11$. When the joined wire is kept under certain tension the elongations in the wires $A$ and $B$ are equal. If the length of wire $A$ is $2.2\text{ m}$, then the length of wire $B$ is _______ $\text{m}$.
Two closed vessels of same volume are joined through a narrow tube and both vessels are filled with air of pressure $90\text{ kPa}$ and temperature $400\text{ K}$. Keeping the temperature of one vessel constant at $400\text{ K}$ the second vessel temperature is raised to $500\text{ K}$. The final pressure in the vessels is _______ $\text{kPa}$.
In interference experiment the path difference between two interfering waves at a point $A$ on the screen is $\lambda/3$, where $\lambda$ is the wavelength of these waves, and at another point $B$ the path difference is $\lambda/6$. The ratio of intensities at points $A$ and $B$ is _______.
A thin half ring of radius $35 \text{ cm}$ is uniformly charged with a total charge of $Q$ coulomb. If the magnitude of the electric field at centre of the half ring is $100 \text{ V/m}$, then the value of $Q$ is ______ $\text{nC}$.
($\epsilon_o = 8.85 \times 10^{-12} \text{ C}^2/\text{Nm}^2$ and $\pi = 3.14$)
The maximum rated power of the LED is $2 \text{ mW}$ and it is used in the circuit with input voltage of $5 \text{ V}$ as shown in the figure below. The current through resistance $R$ is $0.5 \text{ mA}$. The minimum value of the resistance $R_s$, to ensure that the LED is not damaged is ______ $\text{k}\Omega$.
In the provided circuit, the input voltage is $5 \text{ V}$, a series resistor $R_s$ is connected, and the circuit then branches into two parallel paths: one with a resistor $R = 1 \text{ k}\Omega$ in series with a Zener diode, and another with the LED.
A point light source emits E.M. waves in free space. A detector, placed at a distance of $L$ m, measures the intensity as $I_0$. The detector is now shifted to another location on the same spherical surface ensuring the angle between original location and new location as $45^{\circ}$. The measured intensity at new location will be ————.
A spherical interface lens of radius $R$ separates two media of refractive indices $1$ and $1.4$ respectively as shown in the figure below. A point source is placed at a distance of $4R$ in front of spherical interface. The magnitude of the magnification of point source image is ————.
A small cube of side $1$ mm is placed at the centre of a circular loop of radius $10$ cm carrying a current of $2$ A. The magnetic energy stored inside the cube is $\alpha \times 10^{-14}$ J. The value of $\alpha$ is ————. $(\mu_0 = 4\pi \times 10^{-7} \text{ Tm/A}, \pi = 3.14)$
An inductor of inductance $10 \text{ mH}$ having resistance of $100 \text{ } \Omega$ is connected to battery of E.M.F. $1.0 \text{ V}$ through a switch as shown in the figure below. After switch is closed, the ratio of instantaneous voltages across the inductor when the current passing through it is $2 \text{ mA}$ and $4 \text{ mA}$ is ________.
The ratio of momentum of the photons of the $1^{\text{st}}$ and $2^{\text{nd}}$ line of Balmer series of Hydrogen atoms is $\alpha/\beta$. The possible values of $\alpha$ and $\beta$ are:-
A LCR series circuit driven with $E_{\text{rms}} = 90 \text{ V}$ at frequency $f_d = 30 \text{ Hz}$ has resistance $R = 80 \text{ } \Omega$, an inductance with inductive reactance $X_L = 20.0 \text{ } \Omega$ and capacitance with capacitive reactance $X_C = 80.0 \text{ } \Omega$. The power factor of the circuit is ________.
Refer to the circuit diagram given below. The heat generated across the $6\ \Omega$ resistance in 100 second is $\frac{\alpha}{100}\ J$. The value of $\alpha$ is ________. (Nearest integer)

An unpolarized light of intensity $I_0$ passes through polarizer and then through a certain optically active solution and finally it goes to analyser. If the angle between analyser and polariser is $0^\circ$ and intensity of light emerged from analyser is $\frac{3}{8} I_0$, the angle of rotation of the light by the solution with respect to analyser is ________ degrees.
The energy released when $\frac{7}{17.13} \text{ kg}$ of ${}^7_3\text{Li}$ is converted into ${}^4_2\text{He}$ by proton bombardment is $\alpha \times 10^{32} \text{ eV}$. The value of $\alpha$ is ____. (Nearest integer)
(Mass of ${}^7_3\text{Li} = 7.0183 \text{ u}$, mass of ${}^4_2\text{He} = 4.004 \text{ u}$, mass of proton $= 1.008 \text{ u}$ and $1 \text{ u} = 931 \text{ MeV}/c^2$ and Avogadro number $= 6.0 \times 10^{23}$)
A three coulomb charge moves from the point $(0, -2, -5)$ to the point $(5, 1, 2)$ in an electric field expressed as $\vec{E} = 2x\hat{i} + 3y^2\hat{j} + 4\hat{k} \text{ N/C}$. The work done in moving the charge is ____ J.
A certain gas is isothermally compressed to $(\frac{1}{3})^{rd}$ of its initial volume ($V_0 = 3$ litre) by applying required pressure. If the bulk modulus of the gas is $3 \times 10^5 \text{ N/m}^2$, the magnitude of work done on the gas is ____ J.
An oxide of iron contains $69.9\%$ iron, its empirical formula, is:
(Given : Molar mass of $Fe$ and $O$ are $56$ and $16\ g\ mol^{-1}$ respectively.)
If shortest wavelength of hydrogen atom in Lyman series is $x$, then longest wavelength in Balmer series of $He^{+}$ is:
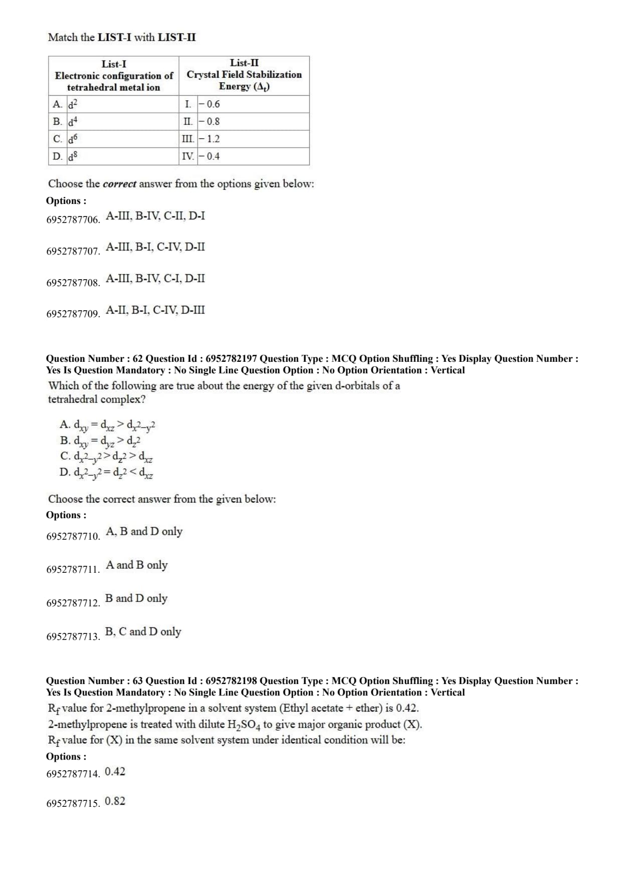
Match the LIST-I with LIST-II
List-I (Orbital):
A. 2s
B. 3s
C. 3p
D. 4d
List-II (Radial nodes and nodal plane):
I. 1 Radial node + two nodal planes
II. 1 Radial node + one nodal plane
III. 2 Radial nodes + No nodal plane
IV. 1 Radial node + No nodal plane
Choose the correct answer from the options given below:
View Solution
1. The number of radial nodes in an orbital is given by: $n - l - 1$.
2. The number of nodal planes (also known as angular nodes) is given by: $l$.
where $n$ is the principal quantum number and $l$ is the azimuthal quantum number (for s, $l=0$; for p, $l=1$; for d, $l=2$).
Analysis for each orbital in List-I:
A. 2s orbital: $n = 2$, $l = 0$.
Radial nodes = $2 - 0 - 1 = 1$.
Nodal planes = $0$.
This matches with IV (1 Radial node + No nodal plane).
B. 3s orbital: $n = 3$, $l = 0$.
Radial nodes = $3 - 0 - 1 = 2$.
Nodal planes = $0$.
This matches with III (2 Radial nodes + No nodal plane).
C. 3p orbital: $n = 3$, $l = 1$.
Radial nodes = $3 - 1 - 1 = 1$.
Nodal planes = $1$.
This matches with II (1 Radial node + one nodal plane).
D. 4d orbital: $n = 4$, $l = 2$.
Radial nodes = $4 - 2 - 1 = 1$.
Nodal planes = $2$.
This matches with I (1 Radial node + two nodal planes).
Comparing our findings with the provided options, the correct matching is A-IV, B-III, C-II, D-I.
Quick Tip:
The pairs among $A = [SO_3^{2-}, CO_3^{2-}]$, $B = [O_2^-, F_2]$, $C = [CN^-, CO]$, $D = [NH_3, H_3O^+]$ and $E = [MnO_4^-, CrO_4^{2-}]$ that do not have similar Lewis dot structure are
Arrange the following isothermal processes in order of the magnitude of the work (p - V) involved between states 1 and 2.
A. Expansion in single stage $w_A$
B. Expansion in multi stages $w_B$
C. Compression in single stage $w_C$
D. Compression in multi stages $w_D$
Choose the correct option.
When 0.25 moles of a non-volatile, non-ionizable solute was dissolved in 1 mole of a solvent the vapor pressure of solution was $x \%$ of vapor pressure of pure solvent. What is $x \%$?
One mole each of He and $A(g)$ are taken in a 10 L closed flask and heated to 400 K to establish the following equilibrium.
$$A(g) \rightleftharpoons B(g)$$
$K_c$ for this reaction at 400 K is 4.0. The partial pressures (in atm) of He and $B(g)$ are respectively (at equilibrium)
(Assume He, $A(g)$ and $B(g)$ behave as ideal gases)
(Given : $R = 0.082 \text{ L atm K}^{-1} \text{ mol}^{-1}$)
Consider the following data.
$$\begin{array}{|c|c|} \hline \text{Electrolyte} & \Lambda_m^\circ (\text{S cm}^2 \text{ mol}^{-1}) \\ \hline \text{BaCl}_2 & x_1 \\ \hline \text{H}_2\text{SO}_4 & x_2 \\ \hline \text{HCl} & x_3 \\ \hline \end{array}$$
$\text{BaSO}_4$ is sparingly soluble in water. If the conductivity of the saturated $\text{BaSO}_4$ solution is $x$ S cm$^{-1}$ then the solubility product of $\text{BaSO}_4$ can be given as
(Here $\Lambda_m = \Lambda_m^\circ$)
Given below are two statements:
Statement I: Aluminium is more electropositive than thallium as the standard electrode potential value of $E^\circ_{Al^{3+}/Al}$ is negative and $E^\circ_{Tl^{3+}/Tl}$ is positive.
Statement II: The sum of first three ionization enthalpies of boron is very high when compared to that of aluminium. Due to this reason boron forms covalent compounds only and aluminium forms $Al^{3+}$ ion.
In the light of the above statements, choose the correct answer from the options given below
The correct statements among the following are.
A. Basic vanadium oxide is used in the manufacture of $H_2SO_4$.
B. The spin-only magnetic moment value of the transition metal halide employed in Ziegler-Natta polymerization is 2.84 BM.
C. The p-block metal compound employed in Ziegler-Natta polymerization has the metal in +3 oxidation state.
D. The number of electrons present in the outer most 'd' orbital of metal halide employed in Wacker process is 8.
Choose the correct answer from the options given below:
Match the LIST-I with LIST-II.
$$\begin{array}{|l|l|} \hline \textbf{List-I (Electronic configuration of tetrahedral metal ion)} & \textbf{List-II (Crystal Field Stabilization Energy (\Delta_t))} \\ \hline \text{A. } d^2 & \text{I. } -0.6 \\ \hline \text{B. } d^4 & \text{II. } -0.8 \\ \hline \text{C. } d^6 & \text{III. } -1.2 \\ \hline \text{D. } d^8 & \text{IV. } -0.4 \\ \hline \end{array}$$
Choose the correct answer from the options given below:
View Solution
The energy of an electron in the 'e' set is $-0.6 \Delta_t$ relative to the barycenter, while the energy in the '$t_2$' set is $+0.4 \Delta_t$.
The Crystal Field Stabilization Energy (CFSE) is calculated using the formula:
$$CFSE = [(-0.6 \times n_e) + (0.4 \times n_{t2})] \Delta_t$$
Where $n_e$ is the number of electrons in the 'e' orbitals and $n_{t2}$ is the number of electrons in the '$t_2$' orbitals. Tetrahedral complexes are almost always high spin due to the small splitting energy.
Let us calculate for each configuration:
1. For $d^2$: Electrons fill the lower energy orbitals first. Electronic distribution is $e^2 t_2^0$.
$$CFSE = [2 \times (-0.6) + 0 \times 0.4] \Delta_t = -1.2 \Delta_t$$
This matches with III.
2. For $d^4$: In high spin, electrons occupy both levels before pairing. Electronic distribution is $e^2 t_2^2$.
$$CFSE = [2 \times (-0.6) + 2 \times 0.4] \Delta_t = [-1.2 + 0.8] \Delta_t = -0.4 \Delta_t$$
This matches with IV.
3. For $d^6$: Electronic distribution is $e^3 t_2^3$.
$$CFSE = [3 \times (-0.6) + 3 \times 0.4] \Delta_t = [-1.8 + 1.2] \Delta_t = -0.6 \Delta_t$$
This matches with I.
4. For $d^8$: Electronic distribution is $e^4 t_2^4$.
$$CFSE = [4 \times (-0.6) + 4 \times 0.4] \Delta_t = [-2.4 + 1.6] \Delta_t = -0.8 \Delta_t$$
This matches with II.
Comparing the results, the correct match is A-III, B-IV, C-I, D-II.
Quick Tip: In a tetrahedral complex, use the formula CFSE = [-0.6(number of e electrons) + 0.4(number of t2 electrons)] $\Delta_t$.
Which of the following are true about the energy of the given d-orbitals of a tetrahedral complex?
A. $d_{xy} = d_{yz} > d_{x^2-y^2}$
B. $d_{xy} = d_{yz} > d_{z^2}$
C. $d_{x^2-y^2} > d_{z^2} > d_{xz}$
D. $d_{x^2-y^2} = d_{z^2} < d_{xz}$
$R_f$ value for 2-methylpropene in a solvent system (Ethyl acetate + ether) is 0.42. 2-methylpropene is treated with dilute $H_2SO_4$ to give major organic product (X). $R_f$ value for (X) in the same solvent system under identical condition will be:
Given below are two statements:
Statement I: 2,6-diethylcyclohexanone and 6-methyl-2-n-propylcyclohexanone are metamers.
Statement II: 2,2,6,6 - tetramethylcyclohexanone exhibits keto-enol tautomerism.
In the light of the above statements, choose the correct answer from the options given below
Given below are two statements:
Statement I: Methane can be prepared by decarboxylation of sodium ethanoate, Kolbe's electrolysis of sodium acetate and reaction of $CH_3MgBr$ with water.
Statement II: Methane cannot be prepared from unsaturated hydrocarbons and by Wurtz reaction.
In the light of the above statements, choose the correct answer from the options given below
Given below are two statements:
Statement I: 3-phenylpropene reacts with $HBr$ and gives secondary alkyl bromide having a chiral carbon atom as the major product.
Statement II: Aryl chlorides and aryl cyanides can be prepared by Sandmeyer reaction as well as Gattermann reaction.
In the light of the above statements, choose the correct answer from the options given below
Consider the following sequence of reactions:
$(CH_3)_3C-OH \xrightarrow[(ii) H^+, PhCOOH]{(i) Cu / 573K} P$
The major product $P$ is:
Arrange the following compounds according to increasing order of boiling points.
n-$C_4H_9OH$ (A), n-$C_4H_9NH_2$ (B), n-$C_4H_{10}$ (C) and $C_2H_5NHC_2H_5$ (D).
Match the LIST-I with LIST-II.
| List-I (Deficiency Disease) |
List-II (Vitamin) |
|---|---|
| A. Scurvy | I. Pyridoxine |
| B. Convulsions | II. Vitamin A |
| C. Cheilosis | III. Ascorbic Acid |
| D. Xerophthalmia | IV. Riboflavin |
Choose the correct answer from the options given below:
View Solution
Let us examine each pair in the given lists:
1. **Scurvy:** Scurvy is a disease characterized by bleeding gums and delayed wound healing. It is caused by a deficiency of Vitamin C, chemically known as **Ascorbic Acid**. Therefore, A matches with III.
2. **Convulsions:** Convulsions or seizures can be caused by a deficiency of Vitamin $B_6$, which is chemically known as **Pyridoxine**. Vitamin $B_6$ is involved in the synthesis of neurotransmitters. Therefore, B matches with I.
3. **Cheilosis:** Cheilosis involves inflammation and cracking at the corners of the mouth. It is a classic symptom of a deficiency of Vitamin $B_2$, which is also known as **Riboflavin**. Therefore, C matches with IV.
4. **Xerophthalmia:** Xerophthalmia is a condition where the eyes fail to produce tears, leading to dryness and potential blindness. It is caused by a deficiency of **Vitamin A**. Therefore, D matches with II.
Combining these matches, we get:
A-III, B-I, C-IV, D-II.
Quick Tip:
Match the LIST-I with LIST-II.
| List-I (Amino acid) |
List-II (Positive reaction/Test for functional group present in side chain of amino acid) |
|---|---|
| A. Glutamine | I. Hinsberg's test |
| B. Lysine | II. Neutral $FeCl_3$ test |
| C. Tyrosine | III. Ceric ammonium nitrate test |
| D. Serine | IV. Hoffman bromamide degradation |
Choose the correct answer from the options given below:
View Solution
1. **Glutamine (A):** The side chain of glutamine contains an amide group ($-CONH_2$). The Hoffman bromamide degradation is a specific reaction for primary amides, where they react with $Br_2$ and $KOH$ to form a primary amine with one fewer carbon atom. Thus, A matches with IV.
2. **Lysine (B):** Lysine has a side chain containing a primary aliphatic amino group ($-NH_2$ at the epsilon position). Hinsberg's test (using benzene sulfonyl chloride) is used to distinguish between primary, secondary, and tertiary amines. A primary amine reacts to form a sulfonamide that is soluble in alkali. Thus, B matches with I.
3. **Tyrosine (C):** Tyrosine contains a phenolic hydroxyl group ($-C_6H_4OH$) in its side chain. Phenols react with neutral ferric chloride ($FeCl_3$) solution to produce characteristic colored complexes (usually violet, blue, or green). Thus, C matches with II.
4. **Serine (D):** Serine contains an aliphatic alcoholic hydroxyl group ($-CH_2OH$) in its side chain. The Ceric ammonium nitrate (CAN) test is a standard test for the detection of the alcohol functional group, resulting in a color change from yellow to red. Thus, D matches with III.
Correct matching: A-IV, B-I, C-II, D-III.
Quick Tip:
First and second ionization enthalpies of lithium are $520\text{ kJ mol}^{-1}$ and $7297\text{ kJ mol}^{-1}$ respectively. Energy required to convert $3.5\text{ mg}$ lithium (g) into $\text{Li}^{2+}(g)$ $[\text{Li}(g) \rightarrow \text{Li}^{2+}(g)]$ is ________ $\text{kJ mol}^{-1}$. (nearest integer)
[Molar mass of $\text{Li} = 7\text{ g mol}^{-1}$]
Consider the following sequence of reactions.
$$\text{Benzene diazonium chloride} \xrightarrow[(ii) \text{Aniline (in excess)}]{(i) \text{HCl}} \xrightarrow[(iv) \text{Cool, acetic acid}]{(iii) \text{Warm } 40-45^{\circ}\text{C}} \text{Yellow Product (X)}$$
The percentage of nitrogen in the yellow product (X) formed is ________ %. (Nearest Integer)
(Given Molar mass in $\text{g mol}^{-1}$ H:1, C:12, N:14)
4.7 g of phenol is heated with Zn to give product X. If this reaction goes to 60% completion then the number of moles of compound X formed will be ________ $\times 10^{-2}$. (Nearest Integer)
(Given molar mass in $\text{g mol}^{-1}$ : H:1, C:12, O:16)
Sucrose hydrolyses in acidic medium into glucose and fructose by first order rate law with $t_{1/2} = 3$ hour. The percentage of sucrose remaining after 6 hours is ______. (Nearest integer)
(Given : $\log 2 = 0.3010$ and $\log 3 = 0.4771$)
Consider the reaction $X \rightleftharpoons Y$ at $300$ K. If $\Delta H^{\theta}$ and $K$ are $28.40$ kJ mol$^{-1}$ and $1.8 \times 10^{-7}$ at the same temperature, then the magnitude of $\Delta S^{\theta}$ for the reaction in J K$^{-1}$ mol$^{-1}$ is ______. (Nearest integer)
(Given : $R = 8.3$ J K$^{-1}$ mol$^{-1}$, $\ln 10 = 2.3$, $\log 3 = 0.48$, $\log 2 = 0.30$)
JEE Main 2026 Exam Pattern
| Particulars | Details |
|---|---|
| Exam Mode | Online (Computer-Based Test) |
| Paper | B.E./B.Tech |
| Medium of Exam | 13 languages: English, Hindi, Gujarati, Bengali, Tamil, Telugu, Kannada, Marathi, Malayalam, Odia, Punjabi, Assamese, Urdu |
| Duration | 3 hours (180 minutes) |
| Type of Questions | Multiple Choice Questions (MCQs) + Numerical Value Questions |
| Total Marks | 300 marks |
| Subjects | Mathematics, Physics, Chemistry |
| Marking Scheme | +4 for correct answer & -1 for incorrect MCQ and Numerical Value-based Questions |
| Total Questions | 75 Questions |
| Eligibility | Passed or appearing in Class 12 with Physics, Chemistry, and Mathematics |








Comments