NEET 2018 English AA Question paper with answer key pdf is available for download. NEET 2018 English AA paper was conducted on May 6, 2018. The exam was successfully organized by CBSE. In terms of difficulty level, NEET was of Moderate level. The question paper comprised a total of 180 MCQs.
NEET 2018 Question Paper with Answer Key PDFs in English
| NEET 2018 English AA Question Paper PDF | NEET 2018 English AA Answer Key PDF |
|---|---|
| Download PDF | Download PDF |
NEET Previous Year Question Papers with Answer Keys
| NEET 2021 Question Paper | NEET 2020 Question Paper | NEET 2019 Question Paper |
| NEET 2018 Question Paper | NEET 2017 Question Paper | NEET Mock Test |







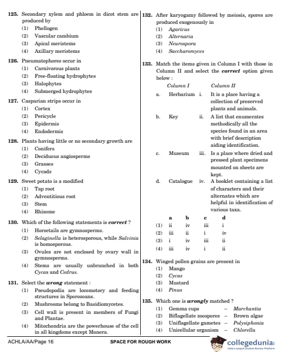
Comments