NEET 2022 Q1 Question paper with answer key pdf is available for download. NEET 2022 Q1 question paper was conducted by NTA on July 17, 2022, in pen-paper mode. In terms of difficulty level, NEET 2022 paper Q1 has been rated easy to moderate by the test-takers. NEET 2022 question paper code Q1 comprised a total of 200 MCQs out of which 180 had to be attempted in 200 minutes. Each of the 4 subjects (Zoology, Botany, Chemistry, Physics) in NEET Q1 question paper 2022 had 50 MCQs (45 to be attempted).
Download NEET 2025 Question Paper PDFs for all Codes
NEET 2022 Question Paper with Answer Key PDF in English Q1
| NEET 2022 Question Paper Q1 PDF | NEET 2022 Answer Key Q1 PDF |
|---|---|
| Download PDF | Download PDF |
NEET Previous Year Question Papers with Answer Keys
| NEET 2022 Question Papers | NEET 2021 Question Papers | NEET 2020 Question Papers |
| NEET 2019 Question Paper | NEET 2018 Question Paper | NEET 2017 Question Paper |







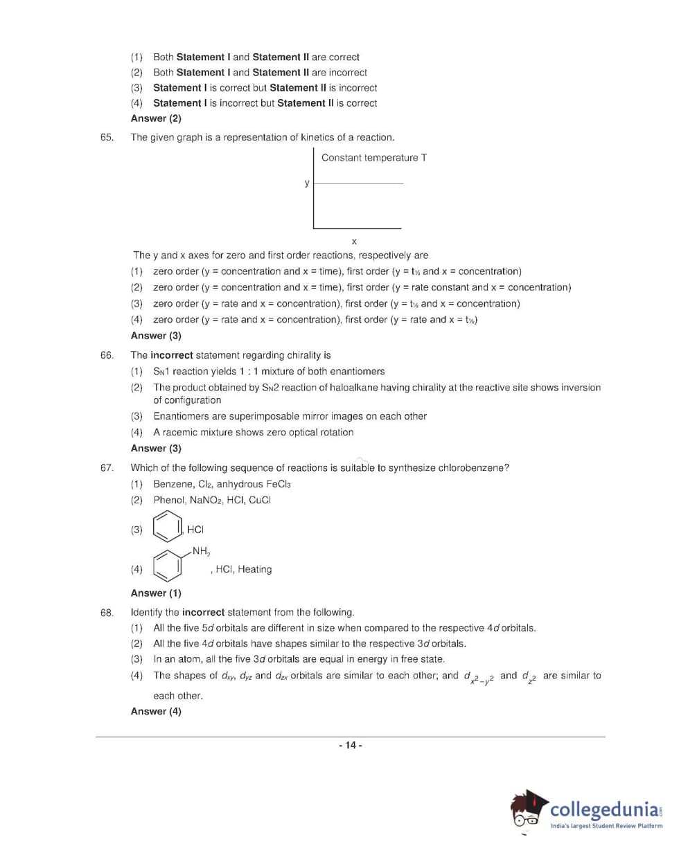
Comments