NEET 2022 R2 Question paper with answer key pdf is available for download. NEET 2022 R2 question paper was conducted by NTA on July 17, 2022, in pen-paper mode. In terms of difficulty level, NEET 2022 paper R2 has been rated easy to moderate by the test-takers. NEET 2022 question paper code R2 comprised a total of 200 MCQs out of which 180 had to be attempted in 200 minutes. Each of the 4 subjects (Zoology, Botany, Chemistry, Physics) in NEET R2 question paper 2022 had 50 MCQs (45 to be attempted).

NEET 2022 Question Paper with Answer Key PDF in English R2

NEET 2022 Question Paper R2 PDF NEET 2022 Answer Key R2 PDF
Download PDF Download PDF


NEET Previous Year Question Papers with Answer Keys

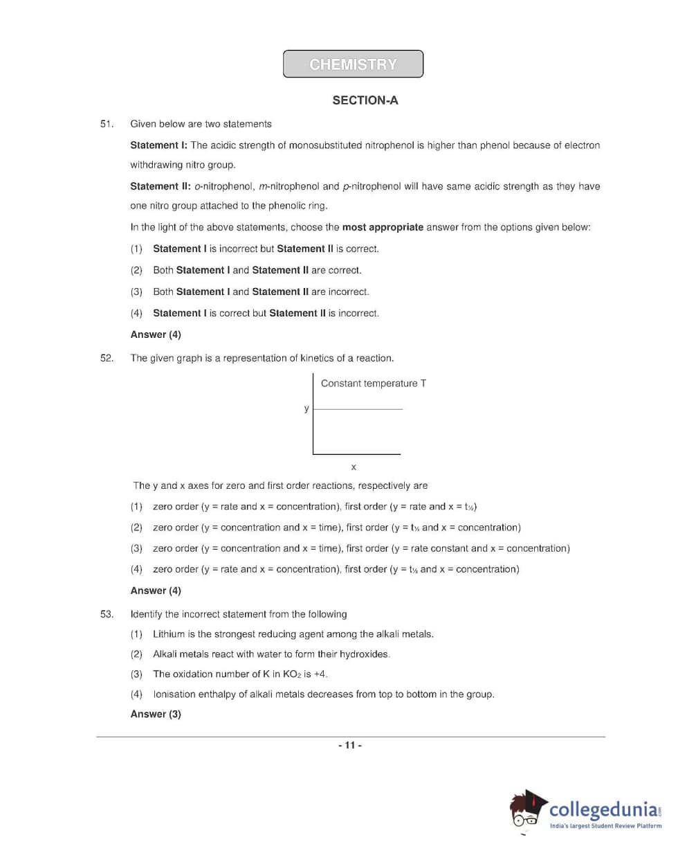
Other UG Entrance Exams