NEET 2022 T3 Question paper with answer key pdf is available for download. NEET 2022 T3 question paper was conducted by NTA on July 17, 2022, in pen-paper mode. In terms of difficulty level, NEET 2022 paper T3 has been rated easy to moderate by the test-takers. NEET 2022 question paper code T3 comprised a total of 200 MCQs out of which 180 had to be attempted in 200 minutes. Each of the 4 subjects (Zoology, Botany, Chemistry, Physics) in NEET T3 question paper 2022 had 50 MCQs (45 to be attempted).

NEET 2022 Question Paper with Answer Key PDF in English T3

NEET 2022 Question Paper T3 PDF NEET 2022 Answer Key T3 PDF
Download PDF Download PDF


NEET Previous Year Question Papers with Answer Keys

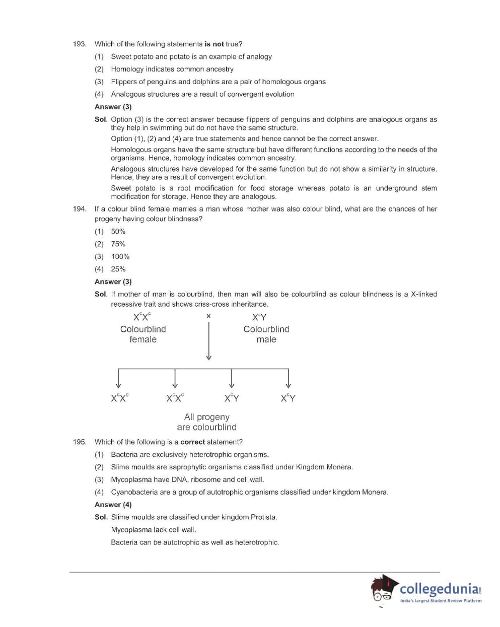
Other UG Entrance Exams