NEET 2023 Zoology Question Paper with Solutions PDF G1 is available for download. NEET 2023 G1 Zoology Question Paper comprises 50 MCQs out of which only 45 are to be attempted. NEET 2023 question G1 Zoology is divided into 2 sections- A (35 questions) and B (15 questions).
You can download NEET 2023 Zoology question paper with answer key and solutions PDF for G1 using the links given below.
NEET 2023 Zoology Question Paper with Solutions PDF G1
| NEET 2023 Zoology G1 Question Paper with Solutions PDF | Download PDF | Check Solutions |

Given below are statements: one is labelled as Assertion A and the other is labelled as Reason R.
Assertion A: Nephrons are of two types: Cortical \& Juxta medullary, based on their relative position in cortex and medulla.
Reason R: Juxta medullary nephrons have short loop of Henle whereas, cortical nephrons have longer loop of Henle.
In the light of the above statements, choose the correct answer from the options given below:
View Solution
Step 1: Understanding the Question:
This is an Assertion-Reason question about the types of nephrons in the kidney. We must evaluate the truthfulness of both statements and their relationship.
Step 2: Detailed Explanation:
Analysis of Assertion (A):
The functional units of the kidney are nephrons. Based on their location within the renal cortex and medulla, they are indeed classified into two main types. Cortical nephrons have their glomeruli in the outer cortex, while juxtamedullary nephrons have their glomeruli close to the junction (juxta) of the cortex and medulla. Thus, Assertion A is true.
Analysis of Reason (R):
This statement describes the length of the loop of Henle in the two types of nephrons. However, it states the reverse of the actual fact. Juxtamedullary nephrons are characterized by having a long loop of Henle that extends deep into the medulla. This long loop is crucial for creating the concentration gradient needed to produce concentrated urine. Cortical nephrons have a short loop of Henle that descends only a short distance into the medulla. Therefore, Reason R is false.
Step 3: Final Answer:
Since Assertion (A) is true and Reason (R) is false, the correct option is (3).
Quick Tip: Remember: Juxtamedullary = "next to medulla". These nephrons are key for concentrating urine, and they do this with their very long loops of Henle that go deep into the salty medulla. Cortical nephrons have short loops.
Match List I with List II with respect to human eye.
List I
A. Fovea
B. Iris
C. Blind spot
D. Sclera
List II
I. Visible coloured portion of eye that regulates diameter of pupil.
II. External layer of eye formed of dense connective tissue.
III. Point of greatest visual acuity or resolution.
IV. Point where optic nerve leaves the eyeball and photoreceptor cells are absent.
Choose the correct answer from the options given below:
View Solution
Step 1: Understanding the Question:
The question requires matching the parts of the human eye in List I with their correct description or function in List II.
Step 2: Detailed Explanation:
A. Fovea: The fovea is a small depression in the retina of the eye where visual acuity is highest. It is the center of the field of vision and is packed with cone cells. Therefore, it is the Point of greatest visual acuity or resolution.
So, A matches with III.
B. Iris: The iris is the thin, circular structure in the eye, responsible for controlling the diameter and size of the pupil and thus the amount of light reaching the retina. It is the Visible coloured portion of eye that regulates the diameter of pupil.
So, B matches with I.
C. Blind spot: The blind spot (optic disc) is the point of entry of the optic nerve on the retina. It is insensitive to light because it lacks photoreceptor cells (rods and cones). It is the Point where optic nerve leaves the eyeball and photoreceptor cells are absent.
So, C matches with IV.
D. Sclera: The sclera is the tough, opaque, fibrous outer layer of the eyeball, which protects the eye. It is the white part of the eye. It is the External layer of eye formed of dense connective tissue.
So, D matches with II.
Step 3: Final Answer:
Based on the matching above:
A \(\rightarrow\) III
B \(\rightarrow\) I
C \(\rightarrow\) IV
D \(\rightarrow\) II
This corresponds to option (1).
Quick Tip: For the human eye, associate key terms: Sclera - outer/white; Iris - color/pupil control; Fovea - focus/acuity (cones); Blind spot - optic nerve exit/no photoreceptors.
Which of the following functions is carried out by cytoskeleton in a cell?
View Solution
Step 1: Understanding the Question:
The question asks to identify a function performed by the cytoskeleton in a cell. The cytoskeleton is a complex network of protein filaments (microtubules, microfilaments, and intermediate filaments) within the cytoplasm.
Step 2: Detailed Explanation:
Let's analyze the functions listed in the options:
(1) Nuclear division: This is a function of the cytoskeleton. Microtubules form the mitotic spindle, which is essential for separating chromosomes during mitosis and meiosis.
(2) Protein synthesis: This is the function of ribosomes, not the cytoskeleton. Ribosomes may be free in the cytoplasm or attached to the endoplasmic reticulum.
(3) Motility: This is a major function of the cytoskeleton. Microtubules are the structural components of cilia and flagella, which enable cell movement. Microfilaments (actin filaments) are responsible for amoeboid movement and muscle contraction.
(4) Transportation: This is also a function of the cytoskeleton. Microtubules act as "tracks" along which motor proteins (like kinesin and dynein) move vesicles, organelles, and other cellular components.
Step 3: Final Answer:
Since options (1), (3), and (4) are all correct functions of the cytoskeleton, and this is a single-choice question, there might be an issue with the question itself. However, all these functions—providing mechanical support, enabling cell motility, facilitating intracellular transport, and playing a role in cell division—are fundamental roles. Among the choices, Motility is a very direct and well-known function that encompasses both external movement (flagella) and internal changes in shape.
Quick Tip: Remember the three main roles of the cytoskeleton: providing structural support (shape), enabling movement (motility, both of the cell and within the cell), and playing a role in cell division (spindle formation).
Given below are two statements:
Statement I: Ligaments are dense irregular tissue.
Statement II: Cartilage is dense regular tissue.
In the light of the above statements, choose the correct answer from the options given below:
View Solution
Step 1: Understanding the Question:
The question asks to evaluate two statements regarding the classification of connective tissues, specifically ligaments and cartilage.
Step 2: Detailed Explanation:
Analysis of Statement I:
Ligaments are fibrous connective tissues that connect bone to another bone. They are designed to withstand strong tensile forces. To achieve this, their collagen fibres are oriented predominantly in a parallel fashion. This ordered arrangement classifies them as dense regular connective tissue. Dense irregular tissue, on the other hand, has collagen fibres arranged randomly and is found in places like the dermis of the skin, where tension is exerted in many directions. Therefore, Statement I is false.
Analysis of Statement II:
Cartilage is a specialized type of supportive connective tissue. It is characterized by a firm, flexible matrix made of chondroitin salts, and its cells are called chondrocytes. It is classified separately from dense connective tissues. Dense regular tissue specifically refers to tissues like ligaments and tendons, which are characterized by densely packed, parallel collagen fibres. Cartilage has a different structure and composition. Therefore, Statement II is false.
Step 3: Final Answer:
Since both Statement I and Statement II are false, the correct option is (2).
Quick Tip: Remember the key classifications of connective tissue. Dense Regular = parallel fibers (Tendons, Ligaments). Dense Irregular = random fibers (Dermis). Cartilage and Bone are specialized supportive connective tissues and are not classified as dense regular/irregular tissue.
Match List I with List II.
List I
A. Heroin
B. Marijuana
C. Cocaine
D. Morphine
List II
I. Effect on cardiovascular system
II. Slow down body function
III. Painkiller
IV. Interfere with transport of dopamine
Choose the correct answer from the options given below:
View Solution
Step 1: Understanding the Question:
The question requires matching various drugs listed in List I with their primary effects or mechanisms of action described in List II.
Step 2: Detailed Explanation:
Let's analyze each drug in List I and its corresponding effect.
A. Heroin: Also known as diacetylmorphine or smack, it is an opioid. It acts as a depressant on the central nervous system. This means it slows down body functions.
So, A matches with II.
B. Marijuana: The active ingredients are cannabinoids. These substances interact with cannabinoid receptors in the brain. One of the well-known physiological effects is on the cardiovascular system, including an increased heart rate.
So, B matches with I.
C. Cocaine: It is a potent central nervous system stimulant. Its primary mechanism of action is to block the reuptake of neurotransmitters like dopamine, serotonin, and norepinephrine. By blocking the dopamine transporter, it interferes with the transport of dopamine, leading to its accumulation in the synapse and causing a euphoric effect.
So, C matches with IV.
D. Morphine: It is a powerful opioid analgesic obtained from the opium poppy. It is widely used in medicine as a painkiller for severe pain.
So, D matches with III.
Step 3: Final Answer:
Based on the matching above:
A \(\rightarrow\) II
B \(\rightarrow\) I
C \(\rightarrow\) IV
D \(\rightarrow\) III
This corresponds to the option A-II, B-I, C-IV, D-III.
Quick Tip: Categorize drugs into major groups: Opioids (Heroin, Morphine) are depressants and painkillers. Stimulants (Cocaine) interfere with neurotransmitters like dopamine. Cannabinoids (Marijuana) have diverse effects, including on the cardiovascular system.
Which of the following is not a cloning vector?
View Solution
Step 1: Understanding the Question:
The question asks to identify which of the given options is not a cloning vector. A cloning vector is a small piece of DNA that can be stably maintained in an organism, and into which a foreign DNA fragment can be inserted for cloning purposes.
Step 2: Detailed Explanation:
(1) BAC (Bacterial Artificial Chromosome): This is a DNA construct based on a functional fertility plasmid (or F-plasmid), used for transforming and cloning in bacteria, usually *E. coli*. It is a vector designed to clone large DNA inserts (100-300 kb).
(2) YAC (Yeast Artificial Chromosome): This is a human-engineered DNA molecule used to clone DNA sequences in yeast cells. It is a vector that can carry very large DNA inserts (up to a million base pairs).
(3) pBR322: This is one of the first widely used *E. coli* cloning vectors. It is a plasmid and is used for cloning smaller DNA fragments.
(4) Probe: A DNA probe is a single-stranded DNA or RNA fragment of known sequence that is used in DNA or RNA hybridization to detect the presence of a complementary target sequence. It is a diagnostic or detection tool, not a vehicle for carrying and replicating foreign DNA.
Step 3: Final Answer:
BAC, YAC, and pBR322 are all examples of cloning vectors. A probe is a tool for detection, not cloning. Therefore, Probe is not a cloning vector.
Quick Tip: Remember the distinction: Vectors (like plasmids, BACs, YACs) are like "vehicles" to carry and replicate DNA. Probes are like "detectors" to find a specific DNA sequence.
Which of the following are NOT considered as the part of endomembrane system?
A. Mitochondria
B. Endoplasmic Reticulum
C. Chloroplasts
D. Golgi complex
E. Peroxisomes
Choose the most appropriate answer from the options given below:
View Solution
Step 1: Understanding the Question:
The question asks to identify which of the listed cell organelles are not part of the endomembrane system.
Step 2: Detailed Explanation:
The endomembrane system is a group of membranes and organelles in eukaryotic cells that work together to modify, package, and transport lipids and proteins. The components of this system are considered a functional unit and include:
Endoplasmic Reticulum (ER)
Golgi complex (or Golgi apparatus)
Lysosomes
Vacuoles
The nuclear envelope and the plasma membrane are also functionally connected to this system.
The organelles whose functions are not coordinated with this system are not considered part of it. These include:
A. Mitochondria: They are involved in cellular respiration and ATP synthesis.
C. Chloroplasts: They are involved in photosynthesis in plant cells.
E. Peroxisomes: They are involved in metabolic processes, including breaking down fatty acids and detoxifying harmful substances.
These three organelles are functionally distinct from the endomembrane system. The Endoplasmic Reticulum (B) and Golgi complex (D) are central components of the endomembrane system.
Step 3: Final Answer:
Therefore, Mitochondria (A), Chloroplasts (C), and Peroxisomes (E) are not part of the endomembrane system. The correct option is (2).
Quick Tip: To remember the endomembrane system, think of a protein/lipid "factory and shipping" process: ER (production), Golgi (packaging/sorting), and vesicles/lysosomes (transport/disposal). Mitochondria, chloroplasts, and peroxisomes are independent "power plants" or "specialty workshops."
Which of the following statements are correct regarding female reproductive cycle?
A. In non-primate mammals cyclical changes during reproduction are called oestrus cycle.
B. First menstrual cycle begins at puberty and is called menopause.
C. Lack of menstruation may be indicative of pregnancy.
D. Cyclic menstruation extends between menarche and menopause.
Choose the most appropriate answer from the options given below:
View Solution
Step 1: Understanding the Question:
The question asks to identify the correct statements from a list of four related to the female reproductive cycle.
Step 2: Detailed Explanation:
A. In non-primate mammals cyclical changes during reproduction are called oestrus cycle. This statement is correct. Mammals like cows, sheep, rats, and dogs exhibit an oestrus cycle, while primates (monkeys, apes, humans) exhibit a menstrual cycle.
B. First menstrual cycle begins at puberty and is called menopause. This statement is incorrect. The first menstruation at puberty is called menarche. Menopause is the permanent cessation of the menstrual cycle, which occurs much later in life.
C. Lack of menstruation may be indicative of pregnancy. This statement is correct. The absence of menstruation (amenorrhea) is one of the primary signs of pregnancy, as the uterine lining (endometrium) is maintained to support the embryo. However, it can also be caused by other factors like stress, poor health, etc.
D. Cyclic menstruation extends between menarche and menopause. This statement is correct. The reproductive phase of a human female's life is characterized by the menstrual cycle, which starts with menarche and ends with menopause.
Step 3: Final Answer:
Statements A, C, and D are correct, while statement B is incorrect. Therefore, the correct option is (4).
Quick Tip: Remember the key terms for the female reproductive cycle: Menarche = Start, Menopause = Stop. The period in between is the reproductive phase. Distinguish between the Oestrus cycle (non-primates) and the Menstrual cycle (primates).
Which one of the following techniques does not serve the purpose of early diagnosis of a disease for its early treatment?
View Solution
Step 1: Understanding the Question:
The question asks to identify which of the given techniques is generally not used for the *early* diagnosis of a disease. Early diagnosis implies detecting the disease at a very initial stage, often before symptoms appear or when the concentration of the pathogen/biomarker is very low.
Step 2: Detailed Explanation:
(A) Recombinant DNA Technology: This technology can be used to create specific DNA probes that can hybridize with the nucleic acid of a pathogen. This allows for the detection of the pathogen's genetic material even in small amounts, making it a tool for early diagnosis.
(B) Serum and Urine analysis: These are conventional methods of diagnosis. While useful, they often rely on detecting physiological or biochemical changes that occur after the disease has progressed to a certain extent or when symptoms have appeared. For example, detecting high levels of glucose in urine for diabetes or certain proteins for kidney disease typically happens after the condition is established. They are generally less sensitive for very early detection compared to molecular techniques.
(C) Polymerase Chain Reaction (PCR) technique: PCR is a powerful technique used to amplify a specific segment of DNA. It can detect a very minute amount of a pathogen's nucleic acid (DNA or RNA) by making millions of copies of it. This high sensitivity makes PCR ideal for early diagnosis of infections like HIV and COVID-19, long before antibodies are detectable or symptoms manifest.
(D) Enzyme Linked Immuno-Sorbent Assay (ELISA) technique: ELISA is based on the antigen-antibody interaction. It can be used to detect either the presence of antigens from a pathogen or the antibodies produced by the host's immune system in response to the pathogen. It is a very sensitive technique and is widely used for early diagnosis (e.g., HIV testing).
Step 3: Final Answer:
Comparing the options, PCR, ELISA, and Recombinant DNA technology are advanced molecular techniques that offer high sensitivity for early diagnosis. Serum and Urine analysis are conventional methods that are typically less sensitive for detecting diseases in their nascent stages. Therefore, Serum and Urine analysis is the correct answer.
Quick Tip: For questions on diagnostics, remember that molecular techniques like PCR (detecting genes) and immunological techniques like ELISA (detecting antigens/antibodies) are designed for high sensitivity and early detection. Conventional methods like urine/blood tests often require the disease to progress further to show detectable changes.
Match List I with List II.
List I
A. Ringworm
B. Filariasis
C. Malaria
D. Pneumonia
List II
I. Haemophilus influenzae
II. Trichophyton
III. Wuchereria bancrofti
IV. Plasmodium vivax
Choose the correct answer from the options given below:
View Solution
Step 1: Understanding the Question:
The question requires matching the diseases in List I with their respective causative agents (pathogens) in List II.
Step 2: Detailed Explanation:
A. Ringworm: This is a common fungal infection of the skin, hair, or nails. It is caused by dermatophyte fungi, including genera like Trichophyton, \textit{Microsporum, and \textit{Epidermophyton.
So, A matches with II (\textit{Trichophyton).
B. Filariasis: This is a parasitic disease caused by an infection with roundworms of the Filarioidea type. The lymphatic filariasis, which can lead to elephantiasis, is caused by the nematode worm Wuchereria bancrofti.
So, B matches with III (\textit{Wuchereria bancrofti).
C. Malaria: This is a mosquito-borne infectious disease caused by protozoan parasites of the genus Plasmodium. \textit{Plasmodium vivax is one of the species that cause malaria in humans.
So, C matches with IV (\textit{Plasmodium vivax).
D. Pneumonia: This is an inflammatory condition of the lung affecting primarily the alveoli. It can be caused by various microorganisms, including bacteria and viruses. Haemophilus influenzae and \textit{Streptococcus pneumoniae are common bacterial causes.
So, D matches with I (\textit{Haemophilus influenzae).
Step 3: Final Answer:
Based on the matching above:
A \(\rightarrow\) II
B \(\rightarrow\) III
C \(\rightarrow\) IV
D \(\rightarrow\) I
This combination corresponds to option (1).
Quick Tip: Create a table of common diseases, their causative organisms, and the type of organism (bacterium, virus, fungus, protozoan, helminth). This will help you quickly answer matching questions on human health and disease.
Given below are two statements: one is labelled as Assertion A and the other is labelled as Reason R.
Assertion A: Amniocentesis for sex determination is one of the strategies of Reproductive and Child Health Care Programme.
Reason R: Ban on amniocentesis checks increasing menace of female foeticide.
In the light of the above statements, choose the correct answer from the options given below:
View Solution
Step 1: Understanding the Question:
This is an Assertion-Reason question. We need to evaluate the truthfulness of both Assertion (A) and Reason (R) and then determine if R is a correct explanation for A.
Step 2: Detailed Explanation:
Analysis of Assertion (A):
Amniocentesis is a prenatal diagnostic technique used to detect chromosomal abnormalities and metabolic disorders in the fetus. The Reproductive and Child Health Care (RCH) Programme aims to create awareness and provide facilities for building a healthy society. Using amniocentesis for sex determination is a misuse of this technology and is legally banned in India. It is not a strategy promoted by the RCH programme; rather, the programme would counsel against such practices. Therefore, Assertion A is false.
Analysis of Reason (R):
The technique of amniocentesis was widely misused to determine the sex of the unborn child. If the fetus was found to be female, it often led to illegal abortion, a practice known as female foeticide. To prevent this social evil and the declining sex ratio, a statutory ban was imposed on using amniocentesis for sex-determination. Therefore, the statement that a ban on amniocentesis checks the menace of female foeticide is true. Reason R is true.
Step 3: Final Answer:
Since Assertion (A) is false and Reason (R) is true, the correct option is (4).
Quick Tip: Remember that any medical procedure, even if beneficial, is not part of a health program if it's being used for illegal or unethical purposes. Amniocentesis for diagnostics is valid, but for sex determination, it's a crime, not a health strategy.
Given below are two statements:
Statement I: RNA mutates at a faster rate.
Statement II: Viruses having RNA genome and shorter life span mutate and evolve faster.
In the light of the above statements, choose the correct answer from the options given below:
View Solution
Step 1: Understanding the Question:
The question asks to evaluate two statements about the mutation rate of RNA and its consequence for RNA viruses.
Step 2: Detailed Explanation:
Analysis of Statement I:
RNA is chemically less stable than DNA (due to the 2'-OH group in its ribose sugar). Furthermore, the enzymes that replicate RNA (RNA-dependent RNA polymerases) typically lack the proofreading mechanisms found in DNA polymerases. This lack of proofreading means that errors made during replication are not corrected, leading to a much higher mutation rate in RNA compared to DNA. Thus, Statement I is true.
Analysis of Statement II:
Viruses with RNA genomes (like influenza virus, HIV, and coronaviruses) benefit from the high mutation rate of RNA mentioned in Statement I. This high rate of mutation generates a great deal of genetic variation. Combined with their short generation times (short life span), natural selection can act on this variation very quickly. This allows them to adapt rapidly to new environments, hosts, or the host's immune response. Therefore, they mutate and evolve faster than DNA-based organisms. Thus, Statement II is also true.
Step 3: Final Answer:
Both statements are correct. Statement I provides the molecular basis for the observation described in Statement II. Therefore, the correct option is (1).
Quick Tip: Remember that RNA's instability and the error-prone nature of its replication are key reasons why RNA viruses like the flu virus require new vaccines frequently. This is a direct consequence of their rapid evolution.
Given below are two statements:
Statement I: In prokaryotes, the positively charged DNA is held with some negatively charged proteins in a region called nucleoid.
Statement II: In eukaryotes, the negatively charged DNA is wrapped around the positively charged histone octamer to form nucleosome.
In the light of the above statements, choose the correct answer from the options given below:
View Solution
Step 1: Understanding the Question:
The question asks to evaluate two statements about the organization of DNA in prokaryotic and eukaryotic cells.
Step 2: Detailed Explanation:
Analysis of Statement I:
DNA, due to its phosphate-sugar backbone, is a negatively charged molecule, not positively charged. In prokaryotes, this negatively charged DNA is found in a region called the nucleoid. The DNA is organized into large loops and is held together by some proteins that are positively charged (non-histone proteins, also called nucleoid-associated proteins). The statement incorrectly describes DNA as positively charged and the proteins as negatively charged. Therefore, Statement I is false.
Analysis of Statement II:
In eukaryotes, the organization of DNA is much more complex. The negatively charged DNA is wrapped around a core of eight positively charged histone proteins (a histone octamer). Histone proteins are rich in basic amino acid residues (lysines and arginines), which gives them a positive charge. This structure, consisting of DNA wrapped around the histone octamer, is called a nucleosome. This statement correctly describes the formation of a nucleosome. Therefore, Statement II is true.
Step 3: Final Answer:
Since Statement I is false and Statement II is true, the correct option is (4).
Quick Tip: A key fact to remember is that DNA is always negatively charged due to the phosphate groups in its backbone. The proteins it associates with for packaging (like histones) must be positively charged to neutralize this charge.
Match List I with List II.
List I
A. Taenia
B. Paramoecium
C. Periplaneta
D. Pheretima
List II
I. Nephridia
II. Contractile vacuole
III. Flame cells
IV. Urecose gland
Choose the correct answer from the options give below:
View Solution
Step 1: Understanding the Question:
The question requires matching organisms from List I with their corresponding excretory or osmoregulatory structures from List II.
Step 2: Detailed Explanation:
A. Taenia (Tapeworm): Taenia belongs to the phylum Platyhelminthes. The specialized excretory structures in Platyhelminthes are Flame cells (protonephridia), which help in osmoregulation and excretion.
So, A matches with III.
B. \textit{Paramoecium: This is a unicellular protist. For osmoregulation (regulating water content), it possesses a specialized organelle called the Contractile vacuole, which expels excess water from the cell.
So, B matches with II.
C. Periplaneta (Cockroach): This is an insect belonging to the phylum Arthropoda. The primary excretory organs are Malpighian tubules. However, cockroaches also have fat bodies, nephrocytes, and Urecose glands, which are involved in the storage and excretion of uric acid.
So, C matches with IV.
D. Pheretima (Earthworm): This belongs to the phylum Annelida. The excretory organs in annelids are coiled tubular structures called Nephridia.
So, D matches with I.
Step 3: Final Answer:
Based on the matching above:
A \(\rightarrow\) III
B \(\rightarrow\) II
C \(\rightarrow\) IV
D \(\rightarrow\) I
This corresponds to the option A-III, B-II, C-IV, D-I.
Quick Tip: Learning the excretory organs for major animal phyla is crucial. Make a chart: Platyhelminthes - Flame cells; Annelids - Nephridia; Arthropods (Insects) - Malpighian tubules; Protozoa - Contractile vacuole.
Match List I with List II.
List I
A. Gene 'a'
B. Gene 'y'
C. Gene 'i'
D. Gene 'z'
List II
I. \(\beta\)-galactosidase
II. Transacetylase
III. Permease
IV. Repressor protein
Choose the correct answer from the options given below:
View Solution
Step 1: Understanding the Question:
The question requires matching the genes associated with the lac operon (List I) with the proteins they code for (List II).
Step 2: Detailed Explanation:
The lac operon in \textit{E. coli consists of several genes involved in lactose metabolism.
A. Gene 'a' (lacA): This is a structural gene that codes for the enzyme Transacetylase.
So, A matches with II.
B. Gene 'y' (lacY): This is a structural gene that codes for the enzyme Permease, which increases the permeability of the cell to lactose.
So, B matches with III.
C. Gene 'i' (lacI): This is the regulator gene. It codes for the Repressor protein, which binds to the operator region to switch the operon off in the absence of lactose.
So, C matches with IV.
D. Gene 'z' (lacZ): This is a structural gene that codes for the enzyme \(\beta\)-galactosidase, which hydrolyzes lactose into glucose and galactose.
So, D matches with I.
Step 3: Final Answer:
Based on the matching above:
A \(\rightarrow\) II
B \(\rightarrow\) III
C \(\rightarrow\) IV
D \(\rightarrow\) I
This corresponds to option (2).
Quick Tip: Remember the order and function of the lac operon structural genes: Z (\(\beta\)-galactosidase), Y (Permease), A (Transacetylase). The regulator gene 'i' codes for the inhibitor (repressor).
Match List I with List II.
List I
A. Vasectomy
B. Coitus interruptus
C. Cervical caps
D. Saheli
List II
I. Oral method
II. Barrier method
III. Surgical method
IV. Natural method
Choose the correct answer from the options given below:
View Solution
Step 1: Understanding the Question:
The question requires matching different methods of contraception (List I) with their respective categories (List II).
Step 2: Detailed Explanation:
Let's analyze each item in List I and match it with the correct category in List II.
A. Vasectomy: This is a surgical procedure for male sterilization where the vas deferens are cut and tied or sealed to prevent sperm from entering the urethra. Thus, it is a Surgical method.
So, A matches with III.
B. Coitus interruptus: Also known as the withdrawal method, this involves withdrawing the penis from the vagina before ejaculation. It is a traditional and Natural method of contraception.
So, B matches with IV.
C. Cervical caps: These are small, reusable silicone cups that are inserted into the vagina to cover the cervix. They act as a physical barrier to prevent sperm from reaching the uterus. Thus, it is a Barrier method.
So, C matches with II.
D. Saheli: This is a non-steroidal oral contraceptive pill taken once a week. It is an Oral method of contraception.
So, D matches with I.
Step 3: Final Answer:
Based on the matching above:
A \(\rightarrow\) III
B \(\rightarrow\) IV
C \(\rightarrow\) II
D \(\rightarrow\) I
This corresponds to the option A-III, B-IV, C-II, D-I.
Quick Tip: To solve matching questions effectively, focus on one item at a time and find its correct match. Use the process of elimination with the given options to quickly arrive at the correct answer. For example, identifying Vasectomy as a surgical method (A-III) narrows down the options to (1) and (2).
Broad palm with single palm crease is visible in a person suffering from-
View Solution
Step 1: Understanding the Question:
The question asks to identify the genetic disorder associated with the physical characteristic of a broad palm with a single transverse crease (also known as a simian crease).
Step 2: Detailed Explanation:
Let's analyze the options:
(1) Down's syndrome: This is a chromosomal disorder caused by the presence of an extra copy of chromosome 21 (Trisomy 21). Individuals with Down's syndrome exhibit a set of characteristic features, including a small round head, furrowed tongue, partially open mouth, and broad palms with a characteristic single palmar crease.
(2) Turner's syndrome: This is a chromosomal disorder in females caused by the absence of one X chromosome (XO). Symptoms include short stature, webbed neck, and rudimentary ovaries. A single palm crease is not a characteristic feature.
(3) Klinefelter's syndrome: This is a chromosomal disorder in males caused by an extra X chromosome (XXY). Symptoms include overall masculine development but with feminine characteristics like gynaecomastia (development of breasts), and individuals are sterile. A single palm crease is not a characteristic feature.
(4) Thalassemia: This is an autosomal recessive blood disorder, not a chromosomal abnormality. It affects hemoglobin production. The physical symptoms are related to anemia, not palm creases.
Step 3: Final Answer:
The presence of a broad palm with a single palm crease is a well-known clinical symptom of Down's syndrome.
Quick Tip: Associate key physical stigmata with chromosomal disorders: Down's syndrome \(\rightarrow\) single palmar crease, epicanthic fold; Turner's syndrome \(\rightarrow\) webbed neck, short stature; Klinefelter's syndrome \(\rightarrow\) gynaecomastia.
Given below are two statements: one is labelled as Assertion A and the other is labelled as Reason R.
Assertion A: Endometrium is necessary for implantation of blastocyst.
Reason R: In the absence of fertilization, the corpus luteum degenerates that causes disintegration of endometrium.
In the light of the above statements, choose the correct answer from the options given below:
View Solution
Step 1: Understanding the Question:
This is an Assertion-Reason question. We must first evaluate if Assertion (A) and Reason (R) are individually true. If both are true, we must then determine if R is the correct explanation for A.
Step 2: Detailed Explanation:
Analysis of Assertion (A):
The endometrium is the inner mucosal lining of the uterus. After ovulation, it thickens and becomes rich in blood vessels and glands, preparing to receive a fertilized egg. Implantation is the process where the blastocyst (the early-stage embryo) adheres to and embeds itself within the endometrium. This attachment is crucial for providing nourishment and support for the developing embryo. Therefore, the endometrium is absolutely necessary for implantation. Assertion A is true.
Analysis of Reason (R):
After ovulation, the remnant of the ovarian follicle develops into the corpus luteum, which secretes progesterone. Progesterone maintains the endometrium. If fertilization does not occur, the corpus luteum degenerates after about 10-14 days. This leads to a sharp drop in progesterone levels, causing the endometrial lining to break down and shed, which results in menstruation. Therefore, the statement that the degeneration of the corpus luteum causes the disintegration of the endometrium in the absence of fertilization is correct. Reason R is true.
Connecting A and R:
Both statements are true. Now, we check if R explains A. Assertion A states a functional requirement: the endometrium is needed for implantation. Reason R describes the hormonal events that lead to the breakdown of the endometrium *when implantation does not occur*. It explains the mechanism of menstruation, not the reason why the endometrium is necessary for implantation. A correct reason for A would be: "The endometrium provides the necessary structural support, vascular network, and nutrients for the blastocyst to attach and develop." Since R explains a different (though related) process, it is not the correct explanation of A.
Step 3: Final Answer:
Both Assertion A and Reason R are true statements, but Reason R does not correctly explain Assertion A. The correct choice is (2).
Quick Tip: For Assertion-Reason questions, use the "because" test. Read the Assertion, then the word "because," then the Reason. If the resulting sentence makes logical sense ("Endometrium is necessary for implantation BECAUSE in the absence of fertilization..."), then R explains A. In this case, it does not make logical sense.
Vital capacity of lung is __________.
View Solution
Step 1: Understanding the Question:
The question asks for the correct formula for the Vital Capacity (VC) of the lungs, based on standard respiratory volumes.
Step 2: Detailed Explanation:
Let's define the terms:
- Tidal Volume (TV): Volume of air inspired or expired during a normal respiration. (approx. 500 mL)
- Inspiratory Reserve Volume (IRV): Additional volume of air a person can inspire by a forcible inspiration. (approx. 2500-3000 mL)
- Expiratory Reserve Volume (ERV): Additional volume of air a person can expire by a forcible expiration. (approx. 1000-1100 mL)
- Residual Volume (RV): Volume of air remaining in the lungs even after a forcible expiration. (approx. 1100-1200 mL)
Vital Capacity (VC) is defined as the maximum volume of air a person can breathe out after a forced inspiration. This includes the normal breath (TV), the extra air you can force in (IRV), and the extra air you can force out (ERV).
Therefore, the formula for Vital Capacity is:
\[ VC = IRV + ERV + TV \]
Let's check the options:
(1) IRV + ERV: This is incorrect. It omits the Tidal Volume.
(2) IRV + ERV + TV + RV: This is the formula for Total Lung Capacity (TLC).
(3) IRV + ERV + TV - RV: This is a nonsensical formula.
(4) IRV + ERV + TV: This is the correct formula for Vital Capacity.
Step 3: Final Answer:
The correct formula for the vital capacity of the lung is IRV + ERV + TV.
Quick Tip: Remember the lung capacity formulas by visualizing breathing. Vital Capacity is everything you can *voluntarily* move in and out of your lungs. Total Lung Capacity is the Vital Capacity plus the Residual Volume (the air you can't get out).
Given below are two statements:
Statement I: A protein is imagined as a line, the left end represented by first amino acid (C-terminal) and the right end represented by last amino acid (N-terminal)
Statement II: Adult human haemoglobin, consists of 4 subunits (two subunits of \(\alpha\) type and two subunits of \(\beta\) type.)
In the light of the above statements, choose the correct answer from the options given below:
View Solution
Step 1: Understanding the Question:
The question asks to evaluate two statements related to the structure of proteins and haemoglobin.
Step 2: Detailed Explanation:
Analysis of Statement I:
A polypeptide chain has two ends: an amino-terminus (N-terminal) and a carboxy-terminus (C-terminal). The N-terminal end has a free amino group (-\(NH_2\)) and corresponds to the first amino acid in the chain. The C-terminal end has a free carboxyl group (-\(COOH\)) and corresponds to the last amino acid. By convention, a protein chain is written and read from the N-terminal (left) to the C-terminal (right).
The statement says the left end is the C-terminal and the right end is the N-terminal, which is the opposite of the established convention. Therefore, Statement I is false.
Analysis of Statement II:
Adult human haemoglobin (HbA) is a globular protein responsible for oxygen transport. It has a quaternary structure, meaning it is composed of multiple polypeptide subunits. Specifically, it is a tetramer made up of four subunits: two identical alpha (\(\alpha\)) chains and two identical beta (\(\beta\)) chains.
Therefore, Statement II is true.
Step 3: Final Answer:
Since Statement I is false and Statement II is true, the correct option is (4).
Quick Tip: Always remember the convention for protein structure: the chain starts at the N-terminal (left) and ends at the C-terminal (right). Think "N comes before C in the alphabet," so N-terminus comes first.
Which one of the following common sexually transmitted diseases is completely curable when detected early and treated properly?
View Solution
Step 1: Understanding the Question:
The question asks to identify which of the given sexually transmitted diseases (STDs) can be completely cured, particularly with early detection and treatment. The key distinction is between curable and manageable diseases.
Step 2: Detailed Explanation:
We need to consider the causative agent for each disease.
(A) Genital herpes: This is caused by the Herpes Simplex Virus (HSV). Viral infections like herpes cannot be completely cured. Antiviral medications can help manage the symptoms and reduce the frequency and severity of outbreaks, but the virus remains dormant in the body for life.
(B) Gonorrhoea: This is caused by the bacterium \textit{Neisseria gonorrhoeae. Bacterial infections can generally be treated and cured with antibiotics. If detected early, gonorrhoea is completely curable with the correct course of antibiotic treatment.
(C) Hepatitis-B: This is caused by the Hepatitis B virus (HBV). While there is a vaccine to prevent it, once a person is infected, it can lead to a chronic condition. Antiviral treatments can manage the virus and prevent liver damage, but they do not provide a complete cure for chronic Hepatitis B.
(D) HIV Infection: This is caused by the Human Immunodeficiency Virus (HIV). HIV infection is a viral disease that currently has no cure. Antiretroviral therapy (ART) can effectively suppress the virus, allowing individuals to live long and healthy lives, but it cannot eradicate the virus from the body.
Step 3: Final Answer:
Among the options given, only Gonorrhoea, being a bacterial infection, is considered completely curable with appropriate medical treatment. The other three are viral infections that can be managed but not cured.
Quick Tip: Remember a general rule for STDs: those caused by bacteria (like Gonorrhoea, Syphilis, Chlamydia) are generally curable with antibiotics, while those caused by viruses (like HIV, Herpes, Hepatitis-B, HPV) are generally not curable, only manageable.
Given below are two statements:
Statement I: Vas deferens receives a duct from seminal vesicle and opens into urethra as the ejaculatory duct.
Statement II: The cavity of the cervix is called cervical canal which along with vagina forms birth canal.
In the light of the above statements, choose the correct answer from the options given below:
View Solution
Step 1: Understanding the Question:
The question presents two statements related to the human reproductive system (male and female) and asks to evaluate their correctness.
Step 2: Detailed Explanation:
Analysis of Statement I:
Statement I describes the path of sperm transport in the male reproductive system. The vas deferens is a tube that carries sperm from the epididymis. It ascends to the abdomen and loops over the urinary bladder. It then receives a duct from the seminal vesicle, and the two combine to form the ejaculatory duct. The ejaculatory duct subsequently passes through the prostate gland and opens into the prostatic urethra. The statement says "...opens into urethra as the ejaculatory duct", which is a slight simplification. The vas deferens and seminal vesicle duct form the ejaculatory duct, which then opens into the urethra. However, in the context of NEET level biology, this statement is considered correct as it accurately describes the formation of the ejaculatory duct and its connection to the urethra.
Analysis of Statement II:
Statement II describes a part of the female reproductive system. The cervix is the lower part of the uterus that opens into the vagina. The cavity within the cervix is called the cervical canal. During childbirth (parturition), the baby passes from the uterus through the cervical canal and then through the vagina. Therefore, the cervical canal and the vagina together constitute the birth canal. This statement is factually correct.
Step 3: Final Answer:
Both Statement I and Statement II are correct descriptions of anatomical features of the male and female reproductive systems, respectively. Therefore, the correct option is that both statements are true.
Quick Tip: For statement-based questions, read each statement carefully and break it down into parts. Verify each part against your knowledge of the topic. Often, a single incorrect detail can make the entire statement false.
Match List I with List II.
List I
A. P - wave
B. Q - wave
C. QRS complex
D. T - wave
List II
I. Beginning of systole
II. Repolarisation of ventricles
III. Depolarisation of atria
IV. Depolarisation of ventricles
Choose the correct answer from the options given below:
View Solution
Step 1: Understanding the Question:
The question requires matching the components of a standard ECG (Electrocardiogram) waveform from List I with the cardiac event they represent from List II.
Step 2: Detailed Explanation:
A. P - wave: This is the first wave on the ECG. It represents the electrical impulse spreading from the SA node through the atria, which is the Depolarisation of atria. This electrical event leads to atrial contraction.
So, A matches with III.
C. QRS complex: This complex represents the rapid Depolarisation of ventricles. This is a large waveform because the ventricular muscle mass is much greater than the atrial muscle mass. This electrical event triggers ventricular contraction (systole).
So, C matches with IV.
D. T - wave: This wave represents the recovery phase of the ventricles, which is the Repolarisation of ventricles. It marks the end of ventricular systole.
So, D matches with II.
B. Q - wave: The Q-wave is the first downward deflection of the QRS complex. The QRS complex as a whole marks the onset of ventricular depolarization, which leads to ventricular systole. Therefore, the Q-wave can be considered as marking the Beginning of systole (specifically, ventricular systole).
So, B matches with I.
Step 3: Final Answer:
The correct matching is:
A \(\rightarrow\) III
B \(\rightarrow\) I
C \(\rightarrow\) IV
D \(\rightarrow\) II
This corresponds to option (1).
Quick Tip: For ECG, remember the sequence: P = Atrial Depolarization, QRS = Ventricular Depolarization, T = Ventricular Repolarization. Depolarization leads to contraction (systole), and Repolarization leads to relaxation (diastole).
Radial symmetry is NOT found in adults of phylum __________.
View Solution
Step 1: Understanding the Question:
The question asks to identify the animal phylum whose adult members do not exhibit radial symmetry.
Step 2: Detailed Explanation:
Let's analyze the symmetry of the adult forms of the given phyla:
(1) Ctenophora (Comb jellies): These animals exhibit biradial symmetry, which is a type of radial symmetry.
(2) Hemichordata (e.g., Balanoglossus or acorn worms): These are worm-like marine animals that are exclusively bilaterally symmetrical throughout their lives. They do not show radial symmetry.
(3) Coelenterata (Cnidaria, e.g., jellyfish, corals): This phylum is a classic example of radial symmetry.
(4) Echinodermata (e.g., starfish, sea urchins): The adult echinoderms exhibit pentaradial symmetry (a form of radial symmetry), although their larval forms are bilaterally symmetrical.
Step 3: Final Answer:
Among the given options, only the adults of the phylum Hemichordata are bilaterally symmetrical and do not possess radial symmetry.
Quick Tip: Remember the exceptions and special cases in animal symmetry. Echinoderms are a key example: their larvae are bilateral, but adults are radial. Hemichordates are strictly bilateral.
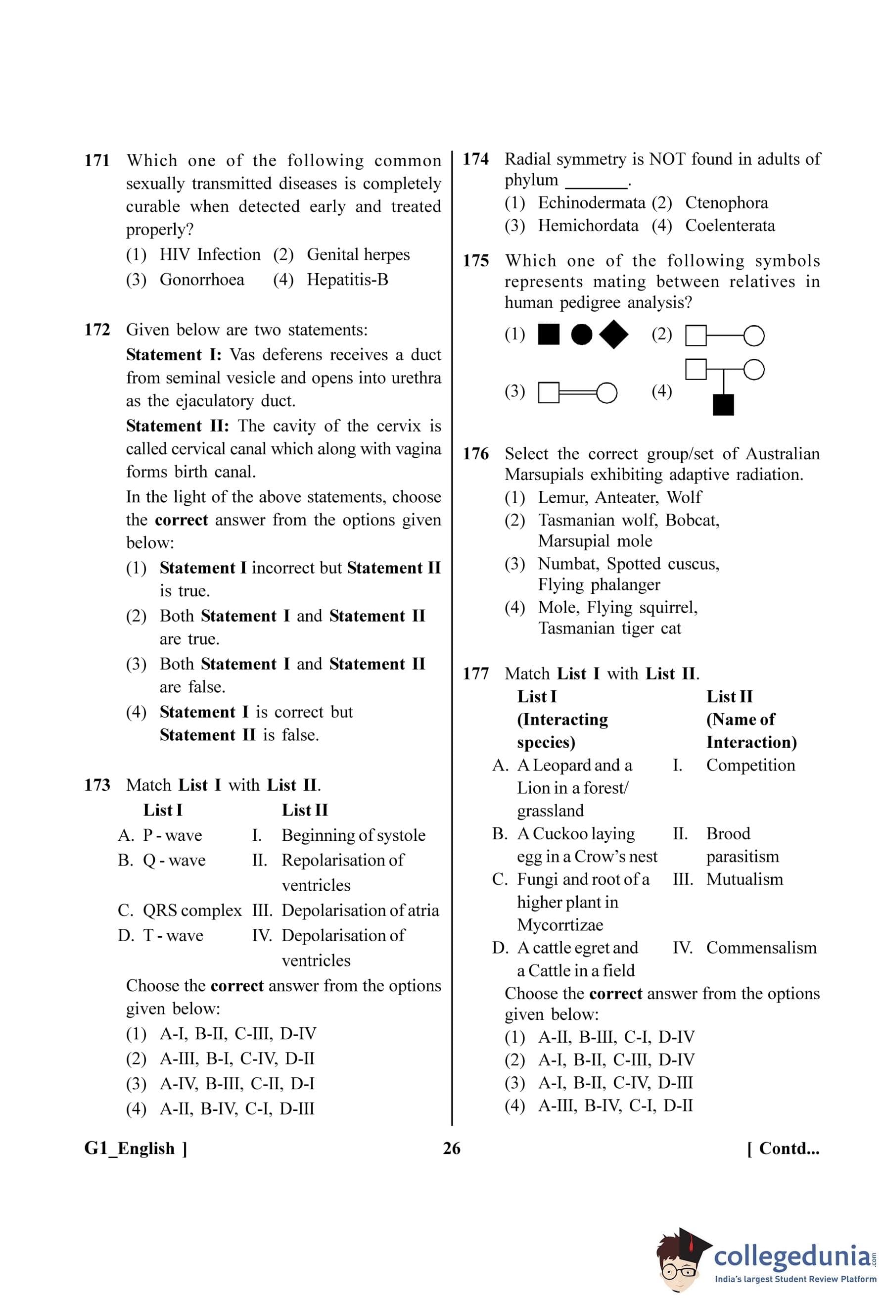
Which one of the following symbols represents mating between relatives in human pedigree analysis?
View Solution
Step 1: Understanding the Question:
The question asks to identify the standard symbol used in human pedigree charts to represent a consanguineous mating, which is mating between close relatives.
Step 2: Detailed Explanation:
Let's analyze the standard symbols used in pedigree analysis for each option.
Symbol (1): A square (representing a male) connected by a single horizontal line to a circle (representing a female). This is the standard symbol for a mating or marriage between unrelated individuals.
Symbol (2): A square connected by a double horizontal line (\(=\)) to a circle. This is the standard symbol used to denote a consanguineous mating, i.e., mating between close relatives (e.g., cousins).
Symbol (3): This shows a parental generation (male and female with a mating line) connected by a vertical line to an offspring generation. Here, the offspring is a filled square, indicating an affected male. This symbol represents a family and the inheritance of a trait, not a specific type of mating.
Symbol (4): This shows three separate symbols for individuals: an affected male (filled square), an affected female (filled circle), and an affected individual of unspecified sex (filled diamond). These are not symbols for mating.
Step 3: Final Answer:
The correct symbol for mating between relatives (consanguineous mating) is the double horizontal line between the male and female symbols, as shown in option (2).
Quick Tip: Memorize the standard symbols used in pedigree analysis: square for male, circle for female, single line for mating, double line for consanguineous mating, filled symbol for affected individual, and a diamond for sex unspecified.
Select the correct group/set of Australian Marsupials exhibiting adaptive radiation.
View Solution
Step 1: Understanding the Question:
The question asks to identify the option that contains only Australian marsupials, which are a classic example of adaptive radiation. Adaptive radiation is the evolution of an ancestral species into a wide variety of types, each adapted to a specific environmental niche.
Step 2: Detailed Explanation:
Let's analyze each option:
(A) Tasmanian wolf, Bobcat, Marsupial mole: The Tasmanian wolf and Marsupial mole are Australian marsupials. However, the Bobcat is a placental mammal found in North America. So, this group is incorrect.
(B) Numbat, Spotted cuscus, Flying phalanger: All three—Numbat (marsupial anteater), Spotted cuscus, and Flying phalanger (a type of glider)—are marsupials native to Australia. They represent different adaptations (insectivore, arboreal herbivore, glider) from a common marsupial ancestor, which is a perfect example of adaptive radiation. So, this group is correct.
(C) Mole, Flying squirrel, Tasmanian tiger cat: The Mole and Flying squirrel are placental mammals. The Tasmanian tiger cat (Quoll) is a marsupial. This mix of placental and marsupial mammals is incorrect.
(D) Lemur, Anteater, Wolf: Lemurs are primates (placental) from Madagascar. The giant Anteater is a placental mammal from Central and South America. The Wolf is a placental mammal. This group consists entirely of placental mammals from different continents, not Australian marsupials. So, this group is incorrect.
Step 3: Final Answer:
The only group that consists entirely of Australian marsupials demonstrating adaptive radiation is option (2).
Quick Tip: Adaptive radiation questions often test your knowledge of convergent evolution. Remember the pairs: Marsupial Mole and Placental Mole, Tasmanian Wolf and Placental Wolf, Flying Phalanger and Flying Squirrel. Be able to distinguish which is a marsupial (mostly Australian) and which is placental.
Match List I with List II.
List I (Interacting species)
A. A Leopard and a Lion in a forest/grassland
B. A Cuckoo laying egg in a Crow's nest
C. Fungi and root of a higher plant in Mycorrtizae
D. A cattle egret and a Cattle in a field
List II (Name of Interaction)
I. Competition
II. Brood parasitism
III. Mutualism
IV. Commensalism
Choose the correct answer from the options given below:
View Solution
Step 1: Understanding the Question:
The question requires matching examples of species interactions from List I with the correct ecological term for that interaction from List II.
Step 2: Detailed Explanation:
A. A Leopard and a Lion in a forest/grassland: Both leopards and lions are large carnivores that often share the same habitat and prey on similar animals (e.g., deer, antelope). Since they utilize the same limited resources, they are in Competition with each other. This interaction is detrimental to both (-/-).
So, A matches with I.
B. A Cuckoo laying egg in a Crow's nest: The cuckoo lays its eggs in the nest of a host bird (the crow), which then unknowingly incubates the egg and raises the cuckoo chick, often at the expense of its own offspring. This is a classic example of Brood parasitism, an interaction where the parasite benefits (+) and the host is harmed (-).
So, B matches with II.
C. Fungi and root of a higher plant in Mycorrhizae: Mycorrhiza is a symbiotic association between a fungus and the roots of a vascular plant. The fungus colonizes the plant's root system, increasing its surface area for water and nutrient absorption from the soil. In return, the plant provides the fungus with carbohydrates produced through photosynthesis. Both organisms benefit (+/+). This is Mutualism.
So, C matches with III.
D. A cattle egret and a Cattle in a field: Cattle egrets are birds that often follow cattle or other large grazing mammals. As the cattle move and graze, they stir up insects from the vegetation, which the egrets then easily catch and eat. The egret benefits (+) from this association, while the cattle is generally unaffected (0). This interaction is known as Commensalism.
So, D matches with IV.
Step 3: Final Answer:
The correct matching is: A-I, B-II, C-III, D-IV. This corresponds to option (1).
Quick Tip: Remember the symbols for ecological interactions: Competition (-/-), Parasitism (+/-), Mutualism (+/+), Commensalism (+/0), and Amensalism (-/0). Associating these symbols with classic examples helps in quickly solving such questions.
Match List I with List II.
List I (Cells)
A. Peptic cells
B. Goblet cells
C. Oxyntic cells
D. Hepatic cells
List II (Secretion)
I. Mucus
II. Bile juice
III. Proenzyme pepsinogen
IV. HCl and intrinsic factor for absorption of vitamin B\(_{12}\)
Choose the correct answer from the options given below:
View Solution
Step 1: Understanding the Question:
The question requires matching different types of cells related to the digestive system (List I) with their respective secretions (List II).
Step 2: Detailed Explanation:
A. Peptic cells: Also known as chief cells, these are found in the gastric glands of the stomach. They secrete the inactive proenzyme pepsinogen.
So, A matches with III.
B. Goblet cells: These are glandular simple columnar epithelial cells found in the lining of the stomach, intestines, and respiratory tract. They secrete Mucus for protection and lubrication.
So, B matches with I.
C. Oxyntic cells: Also known as parietal cells, these are also found in the gastric glands. They secrete Hydrochloric acid (HCl) and intrinsic factor, which is crucial for the absorption of vitamin B\(_{12}\).
So, C matches with IV.
D. Hepatic cells: These are the main cells of the liver (hepatocytes). They produce and secrete Bile juice, which aids in the digestion of fats.
So, D matches with II.
Step 3: Final Answer:
Based on the matching above:
A \(\rightarrow\) III
B \(\rightarrow\) I
C \(\rightarrow\) IV
D \(\rightarrow\) II
This corresponds to option (3).
Quick Tip: For gastric glands, remember: Parietal/Oxyntic cells secrete Acid (HCl) and Intrinsic factor. Peptic/Chief cells secrete Pepsinogen. Goblet cells secrete Mucus.
Match List I with List II.
List I
A. CCK
B. GIP
C. ANF
D. ADH
List II
I. Kidney
II. Heart
III. Gastric gland
IV. Pancreas
Choose the correct answer from the options given below:
View Solution
Step 1: Understanding the Question:
The question requires matching hormones or hormone-like substances in List I with their source organ or target organ in List II.
Step 2: Detailed Explanation:
A. CCK (Cholecystokinin): This gastrointestinal hormone is secreted by the enteroendocrine cells of the duodenum. It acts on the pancreas to stimulate the secretion of pancreatic enzymes and on the gallbladder to stimulate contraction. Thus, it acts on the Pancreas.
So, A matches with IV.
B. GIP (Gastric Inhibitory Peptide): This hormone is also secreted by the small intestine. It inhibits gastric acid secretion and motility. Thus, it acts on the Gastric gland.
So, B matches with III.
C. ANF (Atrial Natriuretic Factor): This peptide hormone is secreted by the atrial walls of the Heart in response to high blood pressure. It causes vasodilation and excretion of sodium and water by the kidneys, thus lowering blood pressure.
So, C matches with II.
D. ADH (Antidiuretic Hormone or Vasopressin): This hormone is produced by the hypothalamus and released from the posterior pituitary. It acts on the collecting ducts and distal convoluted tubules of the Kidney to increase water reabsorption.
So, D matches with I.
Step 3: Final Answer:
Based on the matching above:
A \(\rightarrow\) IV
B \(\rightarrow\) III
C \(\rightarrow\) II
D \(\rightarrow\) I
This combination corresponds to option (1).
Quick Tip: For hormone questions, focus on the source (where it's made) and the target (where it acts). GI tract hormones (like CCK, GIP) primarily regulate digestion. ADH and ANF are key regulators of blood pressure and kidney function.
Once the undigested and unabsorbed substances enter the caecum, their backflow is prevented by-
View Solution
Step 1: Understanding the Question:
The question asks to identify the structure that prevents the backflow of contents from the caecum (the first part of the large intestine) into the ileum (the last part of the small intestine).
Step 2: Detailed Explanation:
Let's analyze the function of each option:
(1) Sphincter of Oddi: This sphincter guards the opening of the common hepato-pancreatic duct into the duodenum. It regulates the flow of bile and pancreatic juice into the small intestine, not the flow between the small and large intestines.
(2) Ileo-caecal valve: This is a sphincter muscle situated at the junction of the ileum (the end of the small intestine) and the caecum (the beginning of the large intestine). Its primary function is to prevent the reflux of colonic contents back into the ileum. This is the correct answer.
(3) Gastro-oesophageal sphincter: Also known as the cardiac sphincter, it is located at the junction of the oesophagus and the stomach. It prevents the backflow of acidic stomach contents into the oesophagus.
(4) Pyloric sphincter: This sphincter is located at the junction of the stomach and the duodenum. It controls the passage of partially digested food (chyme) from the stomach into the small intestine.
Step 3: Final Answer:
The structure that prevents backflow from the caecum to the small intestine is the ileo-caecal valve.
Quick Tip: To remember the locations of digestive sphincters, associate them with the parts they connect: Gastro-oesophageal (stomach-oesophagus), Pyloric (stomach-duodenum), Ileo-caecal (ileum-caecum), Oddi (bile/pancreatic duct-duodenum).
Match List I with List II.
List I (Type of Joint)
A. Cartilaginous Joint
B. Ball and Socket Joint
C. Fibrous Joint
D. Saddle Joint
List II (Found between)
I. Between flat skull bones
II. Between adjacent vertebrae in vertebral column
III. Between carpal and metacarpal of thumb
IV. Between Humerus and Pectoral girdle
Choose the correct answer from the options given below:
View Solution
Step 1: Understanding the Question:
The question requires matching different types of joints from List I with their correct location in the human body from List II.
Step 2: Detailed Explanation:
Let's analyze each type of joint and identify its location.
A. Cartilaginous Joint: These joints are connected by cartilage and allow limited movement. An example is the intervertebral discs made of fibrocartilage found between adjacent vertebrae in the vertebral column.
So, A matches with II.
B. Ball and Socket Joint: This is a type of synovial joint that allows for the widest range of motion. The shoulder joint, formed between the Humerus and the Pectoral girdle (specifically, the glenoid cavity of the scapula), is a prime example.
So, B matches with IV.
C. Fibrous Joint: These joints are connected by dense fibrous tissue and are immovable. The sutures between the flat bones of the skull are examples of fibrous joints.
So, C matches with I.
D. Saddle Joint: This is a type of biaxial synovial joint. The classic example in the human body is the first carpometacarpal joint, located between the carpal bone (trapezium) and the metacarpal of the thumb. This joint allows for the thumb's unique opposable movement.
So, D matches with III.
Step 3: Final Answer:
Based on the matching above:
A \(\rightarrow\) II
B \(\rightarrow\) IV
C \(\rightarrow\) I
D \(\rightarrow\) III
This corresponds to the option A-II, B-IV, C-I, D-III.
Quick Tip: For questions on joints, it's helpful to remember one clear example for each type: Fibrous \(\rightarrow\) Skull sutures, Cartilaginous \(\rightarrow\) Vertebrae, Ball and Socket \(\rightarrow\) Shoulder/Hip, Hinge \(\rightarrow\) Elbow/Knee, Saddle \(\rightarrow\) Thumb.
Which of the following statements is correct?
View Solution
Step 1: Understanding the Question:
The question asks to identify the correct statement among the four options related to ecological concepts like eutrophication, biomagnification, and algal blooms.
Step 2: Detailed Explanation:
Analysis of Option (A): Eutrophication is the process of nutrient enrichment of a water body, which leads to excessive plant and algal growth. While an increase in domestic sewage can cause eutrophication due to the nutrients it contains, the definition of eutrophication itself is nutrient enrichment, not the increase in sewage. So, this statement is an inaccurate definition.
Analysis of Option (B): Biomagnification, also known as bioamplification or biological magnification, is the increasing concentration of a substance, such as a toxic chemical, in the tissues of organisms at successively higher levels in a food chain. This statement is the precise definition of biomagnification.
Analysis of Option (C): A large amount of nutrients (like nitrates and phosphates) in water is the primary cause of 'Algal Blooms'. These nutrients act as fertilizers for algae, leading to their explosive growth. Therefore, this statement is incorrect as it claims that nutrients restrict algal blooms.
Analysis of Option (D): Algal blooms can cause significant harm to aquatic ecosystems. When the large population of algae dies, their decomposition by bacteria consumes a large amount of dissolved oxygen in the water. This depletion of oxygen (hypoxia or anoxia) leads to the death of fish and other aquatic organisms, thereby increasing fish mortality. This statement is incorrect.
Step 3: Final Answer:
Based on the analysis, only statement (B) is correct.
Quick Tip: Remember the key definitions in ecology. Eutrophication = Nutrient Enrichment. Biomagnification = Toxicant concentration increase up the food chain. Algal Bloom = Caused by excess nutrients, leads to oxygen depletion and increased fish mortality.
Given below are two statements:
Statement I: Electrostatic precipitator is most widely used in thermal power plant.
Statement II: Electrostatic precipitator in thermal power plant removes ionising radiations.
In the light of the above statements, choose the most appropriate answer from the options given below:
View Solution
Step 1: Understanding the Question:
The question asks to evaluate two statements related to the function and use of electrostatic precipitators.
Step 2: Detailed Explanation:
Analysis of Statement I:
Thermal power plants burn fossil fuels (like coal), which produces a large amount of particulate matter (fly ash) in the exhaust. An electrostatic precipitator is a highly efficient device (over 99% efficiency) for removing these suspended particulate matter from the exhaust gases. Due to its high efficiency and ability to handle large volumes of gas, it is indeed the most widely used method for air pollution control in thermal power plants. Therefore, Statement I is correct.
Analysis of Statement II:
An electrostatic precipitator works by imparting an electrical charge to the particulate matter and then collecting these charged particles on plates with an opposite charge. Its function is to remove physical particles, not radiation. Ionising radiations (like alpha, beta, gamma rays) are a form of energy and are not removed by this mechanism. Therefore, Statement II is incorrect.
Step 3: Final Answer:
Since Statement I is correct and Statement II is incorrect, the correct option is (3).
Quick Tip: Remember the specific function of pollution control devices. Electrostatic precipitators and scrubbers remove particulate matter and gases (like SO\(_2\)). They do not act on radiation.
In which blood corpuscles, the HIV undergoes replication and produces progeny viruses?
View Solution
Step 1: Understanding the Question:
The question asks to identify the specific type of blood cell where the Human Immunodeficiency Virus (HIV) replicates.
Step 2: Detailed Explanation:
HIV is a retrovirus that primarily targets the human immune system. The virus has surface glycoproteins (gp120) that bind to a specific receptor called CD4, which is present on the surface of certain immune cells.
(1) T\(_H\) cells (Helper T-cells): These lymphocytes have CD4 receptors on their surface, making them the primary target for HIV infection. Once inside a helper T-cell, HIV uses the cell's machinery to replicate, producing numerous new virus particles (progeny viruses). This process eventually destroys the T\(_H\) cell, leading to a progressive decline in their number and a weakened immune system (Acquired Immuno-Deficiency Syndrome or AIDS).
(2) B-lymphocytes, (3) Basophils, and (4) Eosinophils: These other types of white blood cells are not the primary targets for HIV infection and replication because they generally lack the CD4 receptor. While macrophages can also be infected, T\(_H\) cells are the main replication site, acting as a "HIV factory".
Step 3: Final Answer:
HIV replicates within Helper T-cells (T\(_H\) cells).
Quick Tip: Associate HIV with its target: the Helper T-cell (T\(_H\) cell) via the CD4 receptor. The destruction of these cells is the central cause of AIDS.
Given below are two statements:
Statement I: Low temperature preserves the enzyme in a temporarily inactive state whereas high temperature destroys enzymatic activity because proteins are denatured by heat.
Statement II: When the inhibitor closely resembles the substrate in its molecular structure and inhibits the activity of the enzyme, it is known as competitive inhibitor.
In the light of the above statements, choose the correct answer from the options given below:
View Solution
Step 1: Understanding the Question:
The question presents two statements, one about the effect of temperature on enzymes and the other about competitive inhibition. We need to assess the correctness of both statements.
Step 2: Detailed Explanation:
Analysis of Statement I:
Enzymes are proteins and their activity is highly dependent on temperature.
- Low temperature: At low temperatures, enzymes are not denatured but become temporarily inactive. The kinetic energy of both the enzyme and substrate molecules is reduced, slowing down the rate of reaction. If the temperature is raised back to the optimum, the enzyme regains its activity. So, low temperature preserves the enzyme in an inactive state.
- High temperature: At high temperatures (above the optimum), the thermal energy breaks the weak hydrogen bonds that maintain the specific three-dimensional structure of the enzyme. This change in shape, particularly of the active site, is called denaturation. Denaturation is usually irreversible and leads to a loss of enzymatic activity.
Therefore, Statement I is correct.
Analysis of Statement II:
Competitive inhibition is a type of enzyme inhibition where an inhibitor molecule, which is structurally similar to the substrate, binds to the active site of the enzyme. This binding prevents the actual substrate from binding to the active site. The inhibitor "competes" with the substrate for the active site. This statement accurately defines a competitive inhibitor.
Therefore, Statement II is also correct.
Step 3: Final Answer:
Since both Statement I and Statement II are true, the correct option is (1).
Quick Tip: Remember the temperature graph for enzyme activity: it's a bell-shaped curve. Activity increases up to an optimum temperature, then rapidly decreases due to denaturation. Low temperatures cause inactivation, not denaturation. For inhibitors, remember: Competitive inhibitors bind to the active site, while non-competitive inhibitors bind to an allosteric site.
Select the correct statements with reference to chordates.
A. Presence of a mid-dorsal, solid and double nerve cord.
B. Presence of closed circulatory system.
C. Presence of paired pharyngeal gill slits.
D. Presence of dorsal heart.
E. Triploblastic pseudocoelomate animals.
Choose the correct answer from the options given below:
View Solution
Step 1: Understanding the Question:
The question requires identifying the correct statements that describe the characteristics of the phylum Chordata.
Step 2: Detailed Explanation:
Let's evaluate each statement:
A. Presence of a mid-dorsal, solid and double nerve cord. This is incorrect. Chordates are characterized by a dorsal, hollow, single nerve cord. A solid, double, ventral nerve cord is characteristic of non-chordates like annelids and arthropods.
B. Presence of closed circulatory system. This is correct. Most chordates, especially vertebrates, have a closed circulatory system where blood is confined to vessels.
C. Presence of paired pharyngeal gill slits. This is correct. All chordates possess pharyngeal gill slits at some stage of their development. This is one of the three fundamental diagnostic features of the phylum.
D. Presence of dorsal heart. This is incorrect. Chordates have a ventral heart. A dorsal heart is found in non-chordates like arthropods.
E. Triploblastic pseudocoelomate animals. This is incorrect. Chordates are triploblastic, but they are true coelomates (possessing a true coelom). Pseudocoelomates include phyla like Aschelminthes.
Step 3: Final Answer:
The only correct statements are B and C. Therefore, the correct option is (2).
Quick Tip: Memorize the three fundamental features of Chordates: 1) Notochord, 2) Dorsal hollow nerve cord, and 3) Paired pharyngeal gill slits. Also, remember the key difference from non-chordates: Chordates have a ventral heart, while non-chordates have a dorsal heart.
Which of the following statements are correct regarding skeletal muscle?
A. Muscle bundles are held together by collagenous connective tissue layer called fascicle.
B. Sarcoplasmic reticulum of muscle fibre is a store house of calcium ions.
C. Striated appearance of skeletal muscle fibre is due to distribution pattern of actin and myosin proteins.
D. M line is considered as functional unit of contraction called sarcomere.
Choose the most appropriate answer from the options given below:
View Solution
Step 1: Understanding the Question:
The question asks to identify the correct statements about the structure and function of skeletal muscle.
Step 2: Detailed Explanation:
A. Muscle bundles are held together by collagenous connective tissue layer called fascicle. Incorrect. A muscle bundle itself is called a fascicle (or fasciculus). The connective tissue layer that surrounds each fascicle is called the perimysium.
B. Sarcoplasmic reticulum of muscle fibre is a store house of calcium ions. Correct. The sarcoplasmic reticulum is a specialized form of endoplasmic reticulum in muscle cells that stores, releases, and sequesters calcium ions (Ca\(^{2+}\)), which are essential for initiating muscle contraction.
C. Striated appearance of skeletal muscle fibre is due to distribution pattern of actin and myosin proteins. Correct. The regular, repeating arrangement of thick (myosin) and thin (actin) filaments within the sarcomeres creates a pattern of alternating dark (A bands) and light (I bands), giving skeletal and cardiac muscle their characteristic striated or striped appearance.
D. M line is considered as functional unit of contraction called sarcomere. Incorrect. The functional unit of contraction is the sarcomere, which is defined as the region of a myofibril between two successive Z lines. The M line is a protein structure that runs down the center of the sarcomere, in the middle of the A band.
Step 3: Final Answer:
The correct statements are B and C. Therefore, option (2) is the correct choice.
Quick Tip: For muscle structure, remember: Sarcomere is the functional unit, from Z-line to Z-line. Sarcoplasmic Reticulum stores Calcium. Striations are due to Actin/Myosin arrangement. A bundle of muscle fibers is a Fascicle.
Which one of the following is the sequence on corresponding coding strand, if the sequence on mRNA formed is as follows
5' AUCGAUCGAUCGAUCGAUCG AUCG 3'?
View Solution
Step 1: Understanding the Question:
The question provides an mRNA sequence and asks for the sequence of the corresponding "coding strand" of the DNA.
Step 2: Key Formula or Approach:
During transcription, the template strand (non-coding strand) of DNA is used to synthesize a complementary mRNA molecule. The other DNA strand, the coding strand (non-template strand), is not used as a template but has a sequence that is identical to the mRNA sequence, with one key difference: Thymine (T) in DNA corresponds to Uracil (U) in RNA. The polarity (5' to 3' direction) of the coding strand is the same as the mRNA.
The rule is: To get the coding strand sequence from mRNA, replace every Uracil (U) with a Thymine (T).
Step 3: Detailed Explanation:
Given mRNA sequence: 5' AUCGAUCGAUCGAUCGAUCGAUCG 3'
To find the sequence of the coding strand:
1. Maintain the same 5' to 3' polarity.
2. Replace each 'U' in the mRNA sequence with a 'T'.
A remains A
U becomes T
C remains C
G remains G
Applying this rule:
mRNA: 5' - A U C G A U C G A U C G A U C G A U C G A U C G - 3'
Coding Strand: 5' - A T C G A T C G A T C G A T C G A T C G A T C G - 3'
This matches the sequence in option (3).
Step 4: Final Answer:
The correct sequence for the corresponding coding strand is 5' ATCGATCGATCGATCGATCGATCG 3'.
Quick Tip: Remember: "Coding strand is same as mRNA, just T for U." The template strand is complementary. Always check the 5' and 3' polarity.
Given below are two statements:
Statement I: During G\(_0\) phase of cell cycle, the cell is metabolically inactive.
Statement II: The centrosome undergoes duplication during S phase of interphase.
In the light of the above statements, choose the most appropriate answer from the options given below:
View Solution
Step 1: Understanding the Question:
The question requires an evaluation of two statements concerning the cell cycle: one about the G\(_0\) phase and the other about the S phase.
Step 2: Detailed Explanation:
Analysis of Statement I:
The G\(_0\) phase, or quiescent stage, is a non-dividing state that cells can enter from the G\(_1\) phase. Cells in this phase exit the cell cycle and do not proliferate. However, they are not metabolically inactive. They remain metabolically active and perform their specialized functions (e.g., a neuron in G\(_0\) actively conducts nerve impulses). Therefore, Statement I is incorrect.
Analysis of Statement II:
The S phase (Synthesis phase) of interphase is primarily known for DNA replication. Along with the replication of DNA, the centrosome, which plays a crucial role in forming the mitotic spindle, also duplicates during this phase in the cytoplasm. Therefore, Statement II is correct.
Step 3: Final Answer:
Statement I is incorrect, and Statement II is correct. This corresponds to option (4).
Quick Tip: Remember that G\(_0\) phase means the cell is quiescent (non-dividing), not dead or inactive. It is metabolically active. Also, remember that S phase involves the synthesis of both DNA and the duplication of the centrosome.
Which of the following are NOT under the control of thyroid hormone?
A. Maintenance of water and electrolyte balance
B. Regulation of basal metabolic rate
C. Normal rhythm of sleep-wake cycle
D. Development of immune system
E. Support the process of R.B.C's formation
Choose the correct answer from the options given below:
View Solution
Step 1: Understanding the Question:
The question asks to identify the functions from the list that are NOT primarily regulated by thyroid hormones (T3 and T4).
Step 2: Detailed Explanation:
A. Maintenance of water and electrolyte balance: Thyroid hormones do influence this process, so it is under their control.
B. Regulation of basal metabolic rate (BMR): This is one of the most important functions of thyroid hormones. They increase the metabolism of carbohydrates, proteins, and fats, thus regulating BMR.
C. Normal rhythm of sleep-wake cycle: This is primarily regulated by the hormone melatonin, secreted by the pineal gland, and is controlled by the hypothalamus (suprachiasmatic nucleus). It is not a direct function of thyroid hormones.
D. Development of immune system: The development and differentiation of T-lymphocytes, which are crucial for the immune system, primarily occur in the thymus gland under the influence of hormones like thymosins. This is not a primary function of thyroid hormones.
E. Support the process of R.B.C's formation: Thyroid hormones support the process of erythropoiesis (RBC formation).
Step 3: Final Answer:
Based on the analysis, the normal sleep-wake cycle (C) and the development of the immune system (D) are not primary functions of thyroid hormones. The correct choice is therefore the one that includes C and D only.
Quick Tip: Associate primary regulators with their functions: Thyroid \(\rightarrow\) BMR, Metabolism, Growth. Pineal gland (Melatonin) \(\rightarrow\) Sleep-wake cycle. Thymus (Thymosin) \(\rightarrow\) Immune system (T-cells).
In cockroach, excretion is brought about by-
A. Phallic gland
B. Urecose gland
C. Nephrocytes
D. Fat body
E. Collaterial glands
Choose the correct answer from the options given below:
View Solution
Step 1: Understanding the Question:
The question asks to identify which of the listed structures are involved in excretion in cockroaches.
Step 2: Detailed Explanation:
The primary excretory organs in cockroaches are the Malpighian tubules, which absorb nitrogenous waste products and convert them into uric acid. In addition to Malpighian tubules, several other structures act as accessory excretory organs:
A. Phallic gland: This is a part of the male reproductive system and is not involved in excretion.
B. Urecose gland: Found in some male cockroaches, these glands are associated with the reproductive system but function to store and excrete uric acid. They are excretory in function.
C. Nephrocytes: These are specialized cells in the body cavity that absorb and process nitrogenous waste products from the hemolymph. They are excretory in function.
D. Fat body: The cells of the fat body play a role in metabolism and storage. They also contain urate cells that store uric acid, thus contributing to excretion.
E. Collaterial glands: These are part of the female reproductive system and secrete the protective egg case (ootheca). They are not involved in excretion.
Step 3: Final Answer:
The structures involved in excretion are the Urecose gland (B), Nephrocytes (C), and the Fat body (D). Therefore, the correct combination is B, C, and D.
Quick Tip: For cockroach excretion, remember that besides the main Malpighian tubules, the fat body, nephrocytes, and urecose glands all play accessory roles. Glands associated with reproduction (phallic, collaterial) are not excretory.
Match List I with List II.
List I
A. Mast cells
B. Inner surface of bronchiole
C. Blood
D. Tubular parts of nephron
List II
I. Ciliated epithelium
II. Areolar connective tissue
III. Cuboidal epithelium
IV. Specialised connective tissue
Choose the correct answer from the options give below:
View Solution
Step 1: Understanding the Question:
The question requires matching structures or cell types from List I with the appropriate tissue type from List II.
Step 2: Detailed Explanation:
A. Mast cells: These are immune cells found in connective tissue throughout the body, particularly in Areolar connective tissue, where they release histamine during inflammatory and allergic reactions. So, A matches with II.
B. Inner surface of bronchiole: The smaller bronchioles are lined with Ciliated epithelium (simple cuboidal or columnar). The cilia help to move mucus and trapped particles out of the respiratory tract. So, B matches with I.
C. Blood: Blood is classified as a fluid specialised connective tissue because it consists of cells (RBCs, WBCs, platelets) suspended in a fluid extracellular matrix (plasma). So, C matches with IV.
D. Tubular parts of nephron: The different segments of the renal tubule, such as the proximal convoluted tubule (PCT) and distal convoluted tubule (DCT), are primarily composed of simple Cuboidal epithelium, which is specialized for secretion and absorption. So, D matches with III.
Step 3: Final Answer:
The correct matching is A-II, B-I, C-IV, D-III. This corresponds to option (3).
Quick Tip: Remember the classification of major tissues. Blood and bone are specialised connective tissues. The linings of tubes and ducts are typically epithelial tissues (e.g., ciliated in respiratory tract, cuboidal in kidney tubules).
Which of the following is characteristic feature of cockroach regarding sexual dimorphism ?
View Solution
Step 1: Understanding the Question:
The question asks to identify a feature that distinguishes male and female cockroaches (sexual dimorphism).
Step 2: Detailed Explanation:
Sexual dimorphism refers to the differences in appearance between males and females of the same species. In the common cockroach (\textit{Periplaneta americana):
Anal Cerci: Both male and female cockroaches have a pair of jointed filamentous structures called anal cerci on the 10th abdominal segment. So, this is not a distinguishing feature.
Anal Styles: Only male cockroaches possess a pair of short, unjointed, thread-like structures called anal styles, which arise from the 9th abdominal sternite. Females do not have anal styles.
Body colour and Sclerites: Both sexes have a similar dark brown body colour and an exoskeleton made of hardened plates called sclerites.
Step 3: Final Answer:
The presence of anal styles is a characteristic feature found only in male cockroaches, making it a key aspect of their sexual dimorphism. Therefore, option (2) is correct.
Quick Tip: For cockroach sexual dimorphism, remember: Both have Cerci, but only Males have Styles. "Styles for the guys."
Select the correct statements.
A. Tetrad formation is seen during Leptotene.
B. During Anaphase, the centromeres split and chromatids separate.
C. Terminalization takes place during Pachytene.
D. Nucleolus, Golgi complex and ER are reformed during Telophase.
E. Crossing over takes place between sister chromatids of homologous chromosome.
Choose the correct answer from the options given below:
View Solution
Step 1: Understanding the Question:
The question asks to identify the correct statements about the process of cell division (meiosis and mitosis).
Step 2: Detailed Explanation:
A. Tetrad formation is seen during Leptotene: Incorrect. Synapsis (pairing of homologous chromosomes) begins in Zygotene, and the resulting structure (bivalent or tetrad) becomes clearly visible during the Pachytene stage of Prophase I.
B. During Anaphase, the centromeres split and chromatids separate: This statement is correct for Anaphase of Mitosis and for Anaphase II of Meiosis. In these stages, the centromeres holding the sister chromatids together divide, and the chromatids move to opposite poles. (Note: In Anaphase I of Meiosis, homologous chromosomes separate, but centromeres do not split). Since the statement is true for at least two types of anaphase, it is considered a correct statement in this context.
C. Terminalization takes place during Pachytene: Incorrect. Terminalization of chiasmata (the process where chiasmata move towards the ends of the chromatids) occurs during Diakinesis, the final stage of Prophase I.
D. Nucleolus, Golgi complex and ER are reformed during Telophase: Correct. At the end of cell division, during Telophase, the nuclear envelope reforms around the chromosome clusters, and the nucleolus, Golgi complex, and ER also reappear.
E. Crossing over takes place between sister chromatids of homologous chromosome: Incorrect. Crossing over is the exchange of genetic material between non-sister chromatids of homologous chromosomes.
Step 3: Final Answer:
The correct statements are B and D. Therefore, option (2) is the correct choice.
Quick Tip: Create a summary table for the stages of Meiosis I. Leptotene (condensation), Zygotene (synapsis), Pachytene (crossing over, tetrads visible), Diplotene (chiasmata visible), Diakinesis (terminalization). This helps in quickly verifying statements about prophase I.
Which one of the following is NOT an advantage of inbreeding?
View Solution
Step 1: Understanding the Question:
The question asks to identify which of the given options is not an advantage of inbreeding in animal breeding or plant breeding programs.
Step 2: Detailed Explanation:
Inbreeding refers to the mating of more closely related individuals within the same breed for 4-6 generations.
Option (A): "It decreases homozygosity." This statement is factually incorrect. The main genetic effect of inbreeding is that it increases homozygosity.
Option (B): "It exposes harmful recessive genes that are eliminated by selection." This is a major disadvantage. By increasing homozygosity, inbreeding brings recessive alleles together, allowing breeders to identify and eliminate individuals carrying harmful traits.
Option (C): "Elimination of less desirable genes and accumulation of superior genes takes place due to it." This is another key advantage. It helps in developing a pure line where desirable traits are fixed.
Option (D): "It decreases the productivity of inbred population, after continuous inbreeding." This phenomenon is known as inbreeding depression. It is a major disadvantage of continued inbreeding, often leading to reduced fertility, vigor, and productivity. A disadvantage is not an advantage.
Step 3: Final Answer:
Options (B) is a clear disadvantage.
Quick Tip: Remember the pros and cons of inbreeding. Pro: Increases homozygosity, which helps to create pure lines and expose harmful recessives for elimination. Con: Inbreeding depression, which is a loss of fertility and productivity.
The unique mammalian characteristics are:
View Solution
Step 1: Understanding the Question:
The question asks to identify a set of characteristics that are unique to mammals.
Step 2: Detailed Explanation:
Let's analyze the characteristics in each option:
Hairs: The presence of hair or fur on the body is a defining and unique characteristic of mammals.
Mammary glands: The presence of mammary glands, which produce milk to nourish the young, is the most distinctive feature of mammals. The class name Mammalia is derived from this feature.
Pinna: The presence of external ears, or pinnae, is characteristic of most mammals.
Tympanic membrane: The eardrum, or tympanic membrane, is found in many other vertebrates like reptiles, birds, and amphibians, so it is not unique to mammals.
Indirect development: Mammals exhibit direct development, where the young are born as miniature versions of the adults, without a larval stage. Indirect development is not a mammalian feature.
Monocondylic skull: Mammals have a dicondylic skull (two occipital condyles), which articulates with the vertebral column. A monocondylic skull is characteristic of reptiles and birds.
Step 3: Final Answer:
Evaluating the options:
- (1) is incorrect because the tympanic membrane is not unique.
- (2) lists hairs, pinna, and mammary glands, all of which are characteristic and largely unique mammalian features.
- (3) is incorrect because mammals have direct development.
- (4) is incorrect because mammals have a dicondylic skull.
Therefore, option (2) is the correct answer.
Quick Tip: The two most defining features of mammals are hair/fur and mammary glands. The presence of an external ear (pinna) and a dicondylic skull are also key characteristics to remember.
The parts of human brain that helps in regulation of sexual behaviour, expression of excitement, pleasure, rage, fear etc. are :
View Solution
Step 1: Understanding the Question:
The question asks to identify the parts of the human brain responsible for regulating emotions (excitement, pleasure, rage, fear) and drives like sexual behaviour.
Step 2: Detailed Explanation:
Limbic System: Often referred to as the "emotional brain", the limbic system is a group of structures including the amygdala, hippocampus, and others. It is primarily involved in processing emotions, memory, and motivation.
Hypothalamus: Located just below the thalamus, the hypothalamus is a crucial control center for many autonomic functions and drives. It regulates body temperature, hunger, thirst, and is also heavily involved in emotional responses and sexual behaviour.
The combination of the limbic system and the hypothalamus coordinates emotional expressions and motivational drives.
Let's analyze the other options:
Corpora quadrigemina: Part of the midbrain, involved in visual and auditory reflexes.
Brain stem: Controls vital life functions like breathing, heart rate, and blood pressure.
Epithalamus: Contains the pineal gland, which regulates sleep-wake cycles.
Corpus callosum: Connects the two cerebral hemispheres.
Thalamus: Acts as a major relay station for sensory information.
Step 3: Final Answer:
The regulation of emotions and sexual behaviour is a primary function of the limbic system and the hypothalamus. Therefore, option (1) is the correct answer.
Quick Tip: Associate the limbic system with emotions (fear, anger, pleasure) and the hypothalamus with basic drives (hunger, thirst, sex) and homeostasis. This combination controls most of our instinctual and emotional behaviour.
Match List I with List II.
List I
A. Logistic growth
B. Exponential growth
C. Expanding age pyramid
D. Stable age pyramid
List II
I. Unlimited resource availability condition
II. Limited resource availability condition
III. The percent individuals of pre-reproductive age is largest followed by reproductive and post reproductive age groups
IV. The percent individuals of pre-reproductives and reproductive age group are same
Choose the correct answer from the options given below:
View Solution
Step 1: Understanding the Question:
This question requires matching concepts of population ecology (growth models and age pyramids) from List I with their correct descriptions in List II.
Step 2: Detailed Explanation:
A. Logistic growth: This model of population growth describes a situation where growth is limited by environmental factors and the carrying capacity (K). It produces an S-shaped (sigmoid) curve and occurs under Limited resource availability condition.
So, A matches with II.
B. Exponential growth: This model describes population growth in an idealized environment with no limiting factors. It produces a J-shaped curve and occurs under Unlimited resource availability condition.
So, B matches with I.
C. Expanding age pyramid: An expanding or growing population is characterized by a high proportion of young, pre-reproductive individuals. The age pyramid for such a population has a very broad base, meaning The percent individuals of pre-reproductive age is largest.
So, C matches with III.
D. Stable age pyramid: A stable population has a relatively even distribution of individuals among the pre-reproductive and reproductive age groups. This results in a bell-shaped or columnar pyramid where The percent individuals of pre-reproductives and reproductive age group are same (or very similar).
So, D matches with IV.
Step 3: Final Answer:
The correct matching is: A-II, B-I, C-III, D-IV. This corresponds to option (1).
Quick Tip: Associate growth curves with resource levels: Exponential (J-shaped) = unlimited resources; Logistic (S-shaped) = limited resources. For age pyramids, the shape of the base tells the story: Broad base = Expanding; Narrow base = Declining; Straight sides = Stable.
Which of the following statements are correct ?
A. Basophils are most abundant cells of the total WBCs
B. Basophils secrete histamine, serotonin and heparin
C. Basophils are involved in inflammatory response
D. Basophils have kidney shaped nucleus
E. Basophils are agranulocytes
Choose the correct answer from the options given below:
View Solution
Step 1: Understanding the Question:
The question asks to identify the correct statements about basophils, a type of white blood cell (WBC).
Step 2: Detailed Explanation:
A. Basophils are most abundant cells of the total WBCs. Incorrect. Basophils are the least abundant of all WBCs, making up only about 0.5-1% of the total count. Neutrophils are the most abundant.
B. Basophils secrete histamine, serotonin and heparin. Correct. The granules in the cytoplasm of basophils contain these chemicals, which are released during inflammatory and allergic reactions.
C. Basophils are involved in inflammatory response. Correct. By secreting histamine and other mediators, basophils play a significant role in initiating and modulating inflammatory and allergic responses.
D. Basophils have kidney shaped nucleus. Incorrect. Monocytes are the WBCs that typically have a large, kidney-shaped or bean-shaped nucleus. Basophils have a bi-lobed or S-shaped nucleus, which is often difficult to see because it is obscured by their large, dark granules.
E. Basophils are agranulocytes. Incorrect. Basophils are classified as granulocytes, along with neutrophils and eosinophils, due to the prominent granules present in their cytoplasm. The agranulocytes are lymphocytes and monocytes.
Step 3: Final Answer:
The correct statements are B and C. Therefore, option (3) is the correct choice.
Quick Tip: To remember WBCs, use the mnemonic "Never Let Monkeys Eat Bananas" for decreasing order of abundance: Neutrophils, Lymphocytes, Monocytes, Eosinophils, Basophils. Remember that the "-phils" are granulocytes.
Which of the following statements are correct?
A. An excessive loss of body fluid from the body switches off osmoreceptors.
B. ADH facilitates water reabsorption to prevent diuresis.
C. ANF causes vasodilation.
D. ADH causes increase in blood pressure.
E. ADH is responsible for decrease in GFR.
Choose the correct answer from the options given below:
View Solution
Step 1: Understanding the Question:
The question asks to identify the correct statements regarding the regulation of kidney function and blood pressure by hormones like ADH and ANF.
Step 2: Detailed Explanation:
A. An excessive loss of body fluid from the body switches off osmoreceptors. Incorrect. Excessive fluid loss leads to dehydration, which increases the osmolarity of the blood. This condition activates or switches on the osmoreceptors in the hypothalamus, triggering thirst and the release of ADH.
B. ADH facilitates water reabsorption to prevent diuresis. Correct. Antidiuretic Hormone (ADH) increases the permeability of the distal convoluted tubule and collecting ducts to water, leading to increased water reabsorption from the filtrate into the blood. This concentrates the urine and prevents excessive water loss (diuresis).
C. ANF causes vasodilation. Correct. Atrial Natriuretic Factor (ANF) is released by the heart's atria in response to high blood pressure. It causes the dilation of blood vessels (vasodilation), which helps to decrease blood pressure.
D. ADH causes increase in blood pressure. Correct. ADH, also known as vasopressin, has a vasoconstrictor effect on arterioles at high concentrations, which leads to an increase in peripheral resistance and thus an increase in blood pressure.
E. ADH is responsible for decrease in GFR. Incorrect. The vasoconstrictor effect of ADH can increase systemic blood pressure, which generally helps maintain the Glomerular Filtration Rate (GFR). ADH's primary role is not to decrease GFR.
Step 3: Final Answer:
The correct statements are B, C, and D. Therefore, option (2) is the correct choice.
Quick Tip: Remember that ADH and ANF have opposing effects. ADH (released in dehydration) conserves water and increases blood pressure. ANF (released in high blood pressure) promotes water/salt loss and decreases blood pressure.
NEET Previous Year Question Papers with Answer Keys
| NEET 2022 Question Papers | NEET 2021 Question Papers | NEET 2020 Question Papers |
| NEET 2019 Question Papers | NEET 2018 Question Papers | NEET 2017 Question Papers |







Comments