NEET 2024 Question paper with answer key pdf Q1 is available for download. NEET 2024 Q1 question paper has been conducted by the NTA on May 5, 2024, in pen-paper mode. NEET 2024 question paper code Q1 consists of 200 MCQs- 180 to be attempted in 200 minutes. Each of the 4 subjects (Zoology, Botany, Chemistry, Physics) in NEET Q1 question paper 2023 have 50 MCQs (45 to be attempted). You can download NEET 2024 question paper with answer key with solutions PDF for Q1 using the links given below. Check NEET Cutoff
Related Links:
- Download NEET Previous Year Question Papers PDF with Solutions
- Download NEET 2024 Question Paper for all Shifts
NEET 2024 Question Paper with Answer Key PDF Q1 in English
| NEET 2024 Question Paper with Answer Key | Check Solutions |
NEET 2024 Question Paper With Solution
Question 1:
Given below are two statements:
Statement I: Atoms are electrically neutral as they contain equal number of positive and negative charges.
Statement II: Atoms of each element are stable and emit their characteristic spectrum.
Choose the most appropriate answer from the options given below:
(1) Both Statement I and Statement II are correct
(2) Both Statement I and Statement II are incorrect
(3) Statement I is correct but Statement II is incorrect
(4) Statement I is incorrect but Statement II is correct
Correct Answer: (3) Statement I is correct but Statement II is incorrect
View Solution:Question 2:
If x = 5 sin(πt + π/3) represents the motion of a particle executing simple harmonic motion, the amplitude and time period of motion, respectively, are:
(1) 5 cm, 2 s
(2) 5 m, 2 s
(3) 5 cm, 1 s
(4) 5 m, 1 s
Correct Answer: (2) 5 m, 2 s
View Solution:
Question 3:
A bob is whirled in a horizontal plane by means of a string with an initial speed of ω rpm. The tension in the string is T. If the speed becomes 2ω while keeping the same radius, the tension in the string becomes:
(1) T
(2) 4T
(3) T/4
(4) √2 T
Correct Answer: (2) 4T
View Solution:
Question 4:
In an ideal transformer, the turns ratio is N_P/N_S = 1/2. The ratio V_S : V_P is equal to (the symbols carry their usual meaning):
(1) 1 : 2
(2) 2 : 1
(3) 1 : 1
(4) 1 : 4
Correct Answer: (2) 2 : 1
View Solution:
Question 5:
A logic circuit provides the output Y as per the following truth table:
| A | B | Y | |---|---|---| | 0 | 0 | 1 | | 0 | 1 | 0 | | 1 | 0 | 1 | | 1 | 1 | 0 |
The expression for the output Y is:
(1) A · B + ¬A
(2) A · ¬B + ¬A
(3) ¬B
(4) B
Correct Answer: (3) ¬B
View Solution:
Question 6:
The graph below shows the variation of 1/λ² and its kinetic energy E, where λ is the de Broglie wavelength of a free particle:
Choose the correct graph:

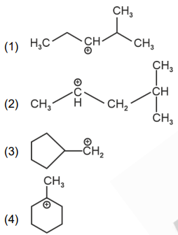
- (1)
![]()
- (2)
![]()
- (3)
![]()
- (4)
![]()
Correct Answer: (4)
View Solution:
Question 7:
The output (Y) of the given logic gate is similar to the output of an/a:

Correct Answer: (4) AND gate
View Solution:
Question 8:
In a uniform magnetic field of 0.049 T, a magnetic needle performs 20 complete oscillations in 5 seconds as shown. The moment of inertia of the needle is 9.8 × 10⁻⁶ kg·m². If the magnitude of the magnetic moment of the needle is x × 10⁻⁵ Am², then the value of x is:

Correct Answer: (4) 1280π²
View Solution:
Question 9:
A thermodynamic system is taken through the cycle abcda. The work done by the gas along the path bc is:

Correct Answer: (1) Zero
View Solution:
Question 10:
In the above diagram, a strong bar magnet is moving towards solenoid-2 from solenoid-1. The direction of induced current in solenoid-1 and that in solenoid-2, respectively, are through the directions:

Correct Answer: (1) AB and DC
View Solution:
Question 11:
An unpolarised light beam strikes a glass surface at Brewster's angle. Then:
(1) The reflected light will be partially polarised.
(2) The refracted light will be completely polarised.
(3) Both the reflected and refracted light will be completely polarised.
(4) The reflected light will be completely polarised but the refracted light will be partially polarised.
Correct Answer: (4) The reflected light will be completely polarised but the refracted light will be partially polarised.
View Solution:
Question 12:
A wire of length ‘l’ and resistance 100 Ω is divided into 10 equal parts. The first 5 parts are connected in series while the next 5 parts are connected in parallel. The two combinations are again connected in series. The resistance of this final combination is:
(1) 26 Ω
(2) 52 Ω
(3) 55 Ω
(4) 60 Ω
Correct Answer: (2) 52 Ω
View Solution:
Question 13:
A horizontal force of 10 N is applied to a block A as shown in the figure. The masses of blocks A and B are 2 kg and 3 kg, respectively. The blocks slide over a frictionless surface. The force exerted by block A on block B is:

Correct Answer: (3) 6 N
View Solution:
Question 14:
Two bodies A and B of same mass undergo completely inelastic one-dimensional collision. The body A moves with velocity v1 while body B is at rest before the collision. The velocity of the system after the collision is v2. The ratio v1 : v2 is:
(1) 1 : 2
(2) 2 : 1
(3) 4 : 1
(4) 1 : 4
Correct Answer: (2) 2 : 1
View Solution:
Question 15:
Given below are two statements: one is labelled as Assertion A and the other is labelled as Reason R.
Assertion A: The potential (V) at any axial point, at 2 m distance (r) from the centre of the dipole of dipole moment vector P of magnitude 4 × 10⁻⁶ C m, is ±9 × 10³ V. (Take 1 / (4πϵ₀) = 9 × 10⁹ SI units) Reason R: V = ± 2 / (4πϵ₀) * P / r² where r is the distance of any axial point, situated at 2 m from the centre of the dipole.
(1) Both A and R are true and R is the correct explanation of A.
(2) Both A and R are true and R is NOT the correct explanation of A.
(3) A is true but R is false.
(4) A is false but R is true.
Correct Answer: (3) A is true but R is false.
View Solution:
Question 16:
Match List-I with List-II.
List-I List-II
(Spectral Lines of Hydrogen for transitions from) (Wavelengths (nm))
A. n2 = 3 to n1 = 2 I. 410.2
B. n2 = 4 to n1 = 2 II. 434.1
C. n2 = 5 to n1 = 2 III. 656.3
D. n2 = 6 to n1 = 2 IV. 486.1
(1) A-II, B-I, C-IV, D-III
(2) A-III, B-IV, C-II, D-I
(3) A-IV, B-III, C-I, D-II
(4) A-I, B-II, C-III, D-IV
Correct Answer: (2)
View Solution:
Question 17:
In a vernier callipers, (N + 1) divisions of the vernier scale coincide with N divisions of the main scale. If 1 MSD represents 0.1 mm, the vernier constant (in cm) is:
(1) \( \frac{1}{10N} \)
(2) \( \frac{1}{100(N + 1)} \)
(3) \( \frac{100}{N} \)
(4) \( 10(N + 1) \)
Correct Answer: (2) \( \frac{1}{100(N + 1)} \)
View Solution:
Question 18:
A thin spherical shell is charged by some source. The potential difference between the two points C and P (in V) shown in the figure is:

Correct Answer: (4) Zero
View Solution:
Question 19:
whose emf is 10 V and internal resistance 1 Ω, when connected through an external resistance of 4 Ω as shown in the figure, is:

Correct Answer: (3) 8 V
View Solution:
Question 20:
If c is the velocity of light in free space, the correct statements about photon among the following are:
A. The energy of a photon is E = hν.
B. The velocity of a photon is c.
C. The momentum of a photon is p = h / (νc).
D. In a photon-electron collision, both total energy and total momentum are conserved.
E. Photon possesses positive charge.
(1) A and B only
(2) A, B, C and D only
(3) A, C and D only
(4) A, B, D and E only
Correct Answer: (2) A, B, C and D only
View Solution:
Question 21:
A particle moving with uniform speed in a circular path maintains:
(1) Constant velocity
(2) Constant acceleration
(3) Constant velocity but varying acceleration
(4) Varying velocity and varying acceleration
Correct Answer: (4) Varying velocity and varying acceleration
View Solution:
Question 22:
In the following circuit, the equivalent capacitance between terminal A and terminal B is:

Correct Answer: (1) 2 μF
Question 23:
A thin flat circular disc of radius 4.5 cm is placed gently over the surface of water. If surface tension of water is 0.07 N m-1, then the excess force required to take it away from the surface is:
(1) 19.8 mN
(2) 198 N
(3) 1.98 mN
(4) 99 N
Correct Answer: (1) 19.8 mN
Question 24:
The maximum elongation of a steel wire of 1 m length if the elastic limit of steel and its Young’s modulus, respectively, are 8 × 108 N/m2 and 2 × 1011 N/m2, is:
(1) 4 mm
(2) 0.4 mm
(3) 40 mm
(4) 8 mm
Correct Answer: (1) 4 mm
View Solution
Question 25:
![]()
Correct Answer: (4)
View Solution
Question 26:
At any instant of time t, the displacement of any particle is given by x = 2t - 1 (in SI units) under the influence of a force of 5 N. The value of instantaneous power is (in SI units):
(1) 10
(2) 5
(3) 7
(4) 6
Correct Answer: (1) 10
View Solution
Question 27:
The quantities which have the same dimensions as those of solid angle are:
(1) strain and angle
(2) stress and angle
(3) strain and arc
(4) angular speed and stress
Correct Answer: (1) strain and angle
View Solution
Question 28:
The moment of inertia of a thin rod about an axis passing through its mid point and perpendicular to the rod is 2400 g cm². The length of the 400 g rod is nearly:
(1) 8.5 cm
(2) 17.5 cm
(3) 20.7 cm
(4) 72.0 cm
Correct Answer: (1) 8.5 cm
View Solution
Question 29:
Consider the following statements A and B and identify the correct answer:
A. For a solar-cell, the I-V characteristics lie in the IV quadrant of the given graph.
B. In a reverse biased pn junction diode, the current measured in (μA) is due to majority charge carriers.

Correct Answer: (1) A is correct but B is incorrect
View Solution
Question 30:
A wheel of a bullock cart is rolling on a level road as shown in the figure below. If its linear speed is v in the direction shown, which one of the following options is correct (P and Q are any highest and lowest points on the wheel, respectively)?

Correct Answer: (2) Point P moves faster than point Q
View Solution
Question 31:
A tightly wound 100 turns coil of radius 10 cm carries a current of 7 A. The magnitude of the magnetic field at the centre of the coil is (Take permeability of free space as \( 4\pi \times 10^{-7} \, \text{S.I units} \)):
(1) 44 mT
(2) 4.4 T
(3) 4.4 mT
(4) 44 T
Correct Answer: (3) 4.4 mT
View Solution
Question 32:
If the monochromatic source in Young’s double slit experiment is replaced by white light, then:
(1) Interference pattern will disappear
(2) There will be a central dark fringe surrounded by a few coloured fringes
(3) There will be a central bright white fringe surrounded by a few coloured fringes
(4) All bright fringes will be of equal width
Correct Answer: (3) There will be a central bright white fringe surrounded by a few coloured fringes
View Solution
Question 33:
Match List-I with List-II.
| Material | Susceptibility (χ) |
|---|---|
| Diamagnetic | χ = 0 |
| Ferromagnetic | 0 ≥ χ ≥ -1 |
| Paramagnetic | χ >> 1 |
| Non-magnetic | 0 < χ < ε (a small positive number) |
Correct Answer: (1) A-II, B-III, C-IV, D-I
View Solution
Question 34:
A light ray enters through a right-angled prism at point P with the angle of incidence 30° as shown in figure. It travels through the prism parallel to its base BC and emerges along the face AC. The refractive index of the prism is:
Correct Answer: (2) √5 / 2
View Solution
Question 35:
The mass of a planet is 1/10th that of the Earth and its diameter is half that of the Earth. The acceleration due to gravity on that planet is:
Correct Answer: (4) 3.92 m/s²
View Solution
Question 36:
The minimum energy required to launch a satellite of mass m from the surface of the Earth of mass M and radius R in a circular orbit at an altitude of 2R from the surface of the Earth is:
Correct Answer: (1) 5/6 * (GmM/R)
View Solution
Question 37:
A metallic bar of Young’s modulus 0.5 * 10^11 N/m² and coefficient of linear thermal expansion 10^-5 °C⁻¹, length 1 m and area of cross-section 10^-3 m², is heated from 0°C to 100°C without expansion or bending. The compressive force developed in it is:
Correct Answer: (2) 50 * 10^3 N
View Solution
Question 38:
A small telescope has an objective of focal length 140 cm and an eyepiece of focal length 5.0 cm. The magnifying power of the telescope for viewing a distant object is:
Correct Answer: (2) 28
View Solution
Question 39:
A 10 µF capacitor is connected to a 210 V, 50 Hz source as shown in the figure. The peak current in the circuit is nearly (π = 3.14):
Correct Answer: (2) 0.93 A
View Solution
Question 40:
If the mass of the bob in a simple pendulum is increased to thrice its original mass and its length is made half its original length, then the new time period of oscillation is x/2 times its original time period. Then the value of x is:
Correct Answer: (2) √2
View Solution
Question 41:
The property which is not of an electromagnetic wave travelling in free space is that:
Correct Answer: (4) They originate from charges moving with uniform speed
View Solution
Question 42:
The following graph represents the T-V curves of an ideal gas (where T is the temperature and V the volume) at three pressures P₁, P₂, and P₃ compared with those of Charles’s law represented as dotted lines. Then the correct relation is:

Correct Answer: (4) P₁ > P₂ > P₃
View Solution
Question 43:
A force defined by F = α t² + β t acts on a particle at a given time t. The factor which is dimensionless, if α and β are constants, is:
Correct Answer: (2) α t / β
View Solution
Question 45:
Two heaters A and B have power ratings of 1 kW and 2 kW, respectively. These two are first connected in series and then in parallel to a fixed power source. The ratio of power outputs for these two cases is:
Correct Answer: (2) 2 : 9
View Solution
Question 46:
Choose the correct circuit which can achieve the bridge balance.

Correct Answer: (1)
View Solution
Question 47:
A sheet is placed on a horizontal surface in front of a strong magnetic pole. A force is needed to:
Choose the correct statement(s) from the options given below:
Correct Answer: (2) A and C only
View Solution
Question 48:
If the plates of a parallel plate capacitor connected to a battery are moved close to each other, then:
Choose the most appropriate answer from the options given below:
Correct Answer: (2) A, C and E only
View Solution
Question 49:
An iron bar of length L has magnetic moment M. It is bent at the middle of its length such that the two arms make an angle of 60° with each other. The magnetic moment of this new magnet is:
Correct Answer: (2) M/2
View Solution
Question 50:
A parallel plate capacitor is charged by connecting it to a battery through a resistor. If I is the current in the circuit, then in the gap between the plates:
Correct Answer: (2) Displacement current of magnitude equal to I flows in the same direction as I
View Solution
Question 51:
On heating, some solid substances change from solid to vapour state without passing through liquid state. The technique used for the purification of such solid substances based on the above principle is known as:
Correct Answer: (2) Sublimation
View Solution
Question 52:
Match List I with List II:
| List I | List II |
|---|---|
| A. Isothermal process | I. No heat exchange |
| B. Isochoric process | II. Carried out at constant temperature |
| C. Isobaric process | III. Carried out at constant volume |
| D. Adiabatic process | IV. Carried out at constant pressure |
Choose the correct answer from the options given below:
Correct Answer: (4) A-II, B-III, C-IV, D-I
View Solution
Question 53:
In which of the following equilibria, Kp and Kc are NOT equal?
Correct Answer: (1) PCl5 (g) ⇌ PCl3 (g) + Cl2 (g)
View Solution
Question 54:
The compound that will undergo SN1 reaction with the fastest rate is:

Correct Answer: (4) Compound D
View Solution
Question 55:
A compound with a molecular formula of C₆H₁₄ has two tertiary carbons. Its IUPAC name is:
Correct Answer: (3) 2,3-dimethylbutane
View Solution
Question 56:
Given below are two statements:
Statement I: The boiling point of hydrides of Group 16 elements follow the order H₂O > H₂Te > H₂Se > H₂S.
Statement II: On the basis of molecular mass, H₂O is expected to have a lower boiling point than the other members of the group but due to the presence of extensive hydrogen bonding in H₂O, it has a higher boiling point.
In the light of the above statements, choose the correct answer from the options given below:
Correct Answer: (1) Both Statement I and Statement II are true
View Solution
Question 57:
For the reaction 2A ⇌ B + C, Kc = 4 × 10⁻³. At a given time, the composition of the reaction mixture is: [A] = [B] = [C] = 2 × 10⁻³ M. Then, which of the following is correct?
Correct Answer: (3) Reaction has a tendency to go in the backward direction.
View Solution
Question 58:
Activation energy of any chemical reaction can be calculated if one knows the value of:
Correct Answer: (4) rate constant at two different temperatures
View Solution
Question 59:
Given below are two statements:
Statement I: Both [Co(NH₃)₆]³⁺ and [CoF₆]³⁻ complexes are octahedral but differ in their magnetic behaviour.
Statement II: [Co(NH₃)₆]³⁺ is diamagnetic whereas [CoF₆]³⁻ is paramagnetic.
In the light of the above statements, choose the correct answer from the options given below:
Correct Answer: (1) Both Statement I and Statement II are true
View Solution
Question 60:
The highest number of helium atoms is in:
Correct Answer: (1) 4 mol of helium
View Solution
Question 61:
Arrange the following elements in increasing order of first ionization enthalpy: Li, Be, B, C, N
Choose the correct answer from the options given below:
Correct Answer: (2) Li < B < Be < C < N
View Solution
Question 62:
Which one of the following alcohols reacts instantaneously with Lucas reagent?
A.![]()
B.
C.
D.
Correct Answer: D
View Solution
Question 63.
‘Spin only’ magnetic moment is same for which of the following ions?
A. Ti3+
B. Cr2+
C. Mn2+
D. Fe2+
E. Sc3+
Choose the most appropriate answer from the options given below:
View Solution
Question 64.
The reagents with which glucose does not react to give the corresponding tests/products are:
A. Tollen’s reagent
B. Schiff’s reagent
C. HCN
D. NH2OH
E. NaHSO3
Choose the correct options from the given below:
View Solution
Question 65.
Given below are two statements:
Statement I: Aniline does not undergo Friedel-Crafts alkylation reaction.
Statement II: Aniline cannot be prepared through Gabriel synthesis.
In the light of the above statements, choose the correct answer from the options given below:
View Solution
Question 66.
The energy of an electron in the ground state (n = 1) for He+ ion is -x J, then that for an electron in n = 2 state for Be3+ ion in J is:
View Solution
Question 67:
Which plot of ln k vs 1/T is consistent with the Arrhenius equation?

Choose the most appropriate answer from the options given below:
View Solution
Question 68:
Given below are two statements:
Statement I: The boiling point of three isomeric pentanes follows the order
n-pentane > isopentane > neopentane
Statement II: When branching increases, the molecule attains a shape of sphere. This results in smaller surface area for contact, due to which the intermolecular forces between the spherical molecules are weak, thereby lowering the boiling point.
In the light of the above statements, choose the most appropriate answer from the options given below:
View Solution
Question 69:
The Eo value for the Mn3+/Mn2+ couple is more positive than that of Cr3+/Cr2+ or Fe3+/Fe2+ due to the change of:
View Solution
Question 70:
In which of the following processes does entropy increase?
A. A liquid evaporates to vapour.
B. The temperature of a crystalline solid is lowered from 130 K to 0 K.
C. 2NaHCO3(s) → Na2CO3(s) + CO2(g) + H2O(g)
D. Cl2(g) → 2Cl(g)
Choose the correct answer from the options given below:
View Solution
Question 71:
Intramolecular hydrogen bonding is present in:
1.
2.
3.
(4) HF
View Solution
Question 72:
Arrange the following elements in increasing order of electronegativity:
N, O, F, C, Si
Choose the correct answer from the options given below:
View Solution
Question 73.
Which reaction is NOT a redox reaction?
View Solution
Question 74.
Match List I with List II:
| List I | List II |
|---|---|
| A. 1 mol of H₂O to O₂ | I. 3F |
| B. 1 mol of 4MnO₄⁻ to Mn²⁺ | II. 2F |
| C. 1.5 mol of Ca from molten CaCl₂ | III. 1F |
| D. 1 mol of FeO to Fe₂O₃ | IV. 5F |
Choose the correct answer from the options given below:
View Solution
Question 76:
Match List I with List II:
View Solution
Question 77:
Among Group 16 elements, which one does NOT show –2 oxidation state?
View Solution
Question 78.
The Henry’s law constant (KH) values of three gases (A, B, C) in water are 145, 2 × 10-5 and 35 kbar, respectively. The solubility of these gases in water follow the order:
View Solution
Question 79.
Fehling’s solution ‘A’ is:
View Solution
Question 80:
Match List I with List II:
Choose the correct answer from the options given below:
View Solution
Question 81.
Identify the correct reagents that would bring about the following transformation:
Choose the correct answer from the options given below:
View Solution
Question 82:
Match List I with List II:
Choose the correct answer from the options given below:
View Solution
Question 83:
Match List I with List II:
Choose the correct answer from the options given below:
View Solution
Question 84:
1 gram of sodium hydroxide was treated with 25 mL of 0.75 M HCl solution. The mass of sodium hydroxide left unreacted is equal to:
View Solution
Question 85:
Match List I with List II:
| List I (Complex) | List II (Type of isomerism) |
|---|---|
| A. [Co(NH3)5(NO2)]Cl2 | I. Solvate isomerism |
| B. [Co(NH3)5(SO4)]Br | II. Linkage isomerism |
| C. [Co(NH3)6][Cr(CN)6] | III. Ionization isomerism |
| D. [Co(H2O)6]Cl3 | IV. Coordination isomerism |
Choose the correct answer from the options given below:
View Solution
Question 86:
During the preparation of Mohr’s salt solution (Ferrous ammonium sulphate), which of the following acid is added to prevent hydrolysis of Fe²⁺ ion?
View Solution
Question 87:
Given below are certain cations. Using inorganic qualitative analysis, arrange them in increasing group number from 0 to VI.
View Solution
Question 88:
Major products A and B formed in the following reaction sequence, are:
View Solution
Question 89:
The pair of lanthanoid ions which are diamagnetic is
View Solution
Question 90:
Identify the correct answer:
View Solution
Question 91:
A compound X contains 32% of A, 20% of B, and the remaining percentage of C. Then, the empirical formula of X is:
View Solution
Question 92:
The work done during reversible isothermal expansion of one mole of hydrogen gas at 25°C from pressure of 20 atmosphere to 10 atmosphere is
View Solution
Question 93:
Mass in grams of copper deposited by passing 9.6487 A current through a voltmeter containing copper sulphate solution for 100 seconds is
View Solution
Question 94:
Consider the following reaction in a sealed vessel at equilibrium with concentrations of N₂ = 3.0 × 10⁻³ M, O₂ = 4.2 × 10⁻³ M and NO = 2.8 × 10⁻³ M.
2 NO(g) ↔ N₂(g) + O₂(g)
If 0.1 mol L⁻¹ of NO(g) is taken in a closed vessel, what will be the degree of dissociation (α) of NO(g) at equilibrium?
View Solution
Question 95:
For the given reaction:
Identify the product 'P' formed in the reaction.
View Solution
Question 96:
The rate of a reaction quadruples when temperature changes from 27°C to 57°C. Calculate the energy of activation.
View Solution
Question 97:
Identify the major product C formed in the following reaction sequence:
View Solution
Question 98:
The products A and B obtained in the following reactions, respectively, are:
3ROH + PCl₃ → 3RCl + A
ROH + PCl₅ → RCl + HCl + B
View Solution
Question 99:
The plot of osmotic pressure (Π) vs concentration (mol L⁻¹) for a solution gives a straight line with slope 25.73 L bar mol⁻¹. The temperature at which the osmotic pressure measurement is done is
View Solution
Question 100:
Given below are two statements:
Statement I: [Co(NH₃)₆]³⁺ is a homoleptic complex, whereas [Co(NH₃)₄Cl₂]⁺ is a heteroleptic complex.
Statement II: Complex [Co(NH₃)₆]³⁺ has only one kind of ligand, but [Co(NH₃)₄Cl₂]⁺ has more than one kind of ligand.
View Solution
Spindle fibers attach to kinetochores of chromosomes during
Bulliform cells are responsible for
The capacity to generate a whole plant from any cell of the plant is called:
A transcription unit in DNA is defined primarily by the three regions in DNA and these are with respect to upstream and downstream ends;
Match List I with List II
Choose the correct answer from the options given below:
Match List I with List II
Choose the correct answer from the options given below:
Hind II always cuts DNA molecules at a particular point called recognition sequence, and it consists of:
In a plant, black seed color (BB/Bb) is dominant over white seed color (bb). In order to find out the genotype of the black seed plant, with which of the following genotype will you cross it?
These are regarded as major causes of biodiversity loss:
A. Over exploitation
B. Co-extinction
C. Mutation
D. Habitat loss and fragmentation
E. Migration
Choose the correct option:
How many molecules of ATP and NADPH are required for every molecule of CO₂ fixed in the Calvin cycle?
Which one of the following can be explained on the basis of Mendel's Law of Dominance?
A. Out of one pair of factors, one is dominant and the other is recessive.
B. Alleles do not show any expression, and both the characters appear as such in F2 generation.
C. Factors occur in pairs in normal diploid plants.
D. The discrete unit controlling a particular character is called factor.
E. The expression of only one of the parental characters is found in a monohybrid cross.
Choose the correct answer from the options given below:
List of endangered species was released by
Tropical regions show the greatest level of species richness because
A. Tropical latitudes have remained relatively undisturbed for millions of years, hence more time was available for species diversification.
B. Tropical environments are more seasonal.
C. More solar energy is available in tropics.
D. Constant environments promote niche specialization.
E. Tropical environments are constant and predictable.
Choose the correct answer from the options given below:
Match List I with List II
Choose the correct answer from the options given below:
Which of the following is an example of an actinomorphic flower?
Identify the set of correct statements:
A. The flowers of Vallisneria are colourful and produce nectar.
B. The flowers of water lily are not pollinated by water.
C. In most of water-pollinated species, the pollen grains are protected from wetting.
D. Pollen grains of some hydrophytes are long and ribbon-like.
E. In some hydrophytes, the pollen grains are carried passively inside water.
Choose the correct answer from the options given below:
What is the fate of a piece of DNA carrying only the gene of interest which is transferred into an alien organism?
Given below are two statements:
Statement I: Parenchyma is living, but collenchyma is dead tissue.
Statement II: Gymnosperms lack xylem vessels, but the presence of xylem vessels is the characteristic of angiosperms.
In the light of the above statements, choose the correct answer from the options given below:
Formation of interfascicular cambium from fully developed parenchyma cells is an example of
Which one of the following is not a criterion for classification of fungi?
The cofactor of the enzyme carboxypeptidase is:
Auxin is used by gardeners to prepare weed-free lawns. But no damage is caused to grass as auxin
A pink flowered Snapdragon plant was crossed with a red flowered Snapdragon plant. What type of phenotype/s is/are expected in the progeny?
Which of the following are required for the dark reaction of photosynthesis?
A. Light
B. Chlorophyll
C. CO₂
D. ATP
E. NADPH
Choose the correct answer from the options given below:
Match List I with List II
Choose the correct answer from the options given below:
The lactose present in the growth medium of bacteria is transported to the cell by the action of
The equation of Verhulst-Pearl logistic growth is \[ \frac{dN}{dt} = rN \left( 1 - \frac{N}{K} \right) \]
From this equation, \( K \) indicates:
Inhibition of Succinic dehydrogenase enzyme by malonate is a classical example of:
The type of conservation in which the threatened species are taken out from their natural habitat and placed in special settings where they can be protected and given special care is called
Identify the type of flowers based on the position of calyx, corolla, and androecium with respect to the ovary from the given figures (a) and (b)
Given below are two statements:
Statement I: Bt toxins are insect group specific and coded by a gene cry IAc.
Statement II: Bt toxin exists as inactive protoxin in B. thuringiensis. However, after ingestion by the insect, the inactive protoxin gets converted into the active form due to the acidic pH of the insect gut.
In the light of the above statements, choose the correct answer from the options given below:
Lecithin, a small molecular weight organic compound found in living tissues, is an example of:
Given below are two statements:
Statement I: Chromosomes become gradually visible under light microscope during the leptotene stage.
Statement II: The beginning of the diplotene stage is recognized by the dissolution of the synaptonemal complex.
In the light of the above statements, choose the correct answer from the options given below:
Identify the part of the seed from the given figure which is destined to form the root when the seed germinates.
In the given figure, which component has thin outer walls and highly thickened inner walls?
Match List-I with List-II
Choose the correct answer from the options given below:
Match List I with List II
Choose the correct answer from the options given below:
Match List I with List II
Choose the correct answer from the options given below:
Spraying sugarcane crop with which of the following plant growth regulators increases the length of stem, thus, increasing the yield?
Match List I with List II
Choose the correct answer from the options given below:
In an ecosystem, if the Net Primary Productivity (NPP) of the first trophic level is 100x (kcal m–2 yr–1), what would be the GPP (Gross Primary Productivity) of the third trophic level of the same ecosystem?
Identify the step in tricarboxylic acid cycle, which does not involve oxidation of substrate.
Which of the following are fused in somatic hybridization involving two varieties of plants?
Match List I with List II
Choose the correct answer from the options given below:
Read the following statements and choose the set of correct statements:
In the members of Phaeophyceae,
A. Asexual reproduction occurs usually by biflagellate zoospores.
B. Sexual reproduction is by oogamous method only.
C. Stored food is in the form of carbohydrates which is either mannitol or laminarin.
D. The major pigments found are chlorophyll a, c and carotenoids and xanthophyll.
E. Vegetative cells have a cellulosic wall, usually covered on the outside by gelatinous coating of algin.
Choose the correct answer from the options given below:
Which of the following statement is correct regarding the process of replication in E. coli?
The DNA present in chloroplast is:
Identify the correct description about the given figure:
Given below are two statements:
Statement I: In C3 plants, some O2 binds to RuBisCO, hence CO2 fixation is decreased.
Statement II: In C4 plants, mesophyll cells show very little photorespiration while bundle sheath cells do not show photorespiration.
In the light of the above statements, choose the correct answer from the options given below:
Match List I with List II
Choose the correct answer from the options given below:
Three types of muscles are given as a, b, and c. Identify the correct matching pair along with their location in the human body:
Name of muscle/location
Following are the stages of the pathway for conduction of an action potential through the heart:
A. AV bundle \quad B. Purkinje fibres \quad C. AV node \quad D. Bundle branches \quad E. SA node
Choose the correct sequence of the pathway from the options given below:
Which one of the following factors will not affect the Hardy-Weinberg equilibrium?
Which of the following statements is incorrect?
Which one is the correct product of DNA-dependent RNA polymerase to the given template?
3’TACATGGCAAATATCCATTCA5’
Match List I with List II

Choose the correct answer from the options given below:
Which of the following are Autoimmune disorders?
A. Myasthenia gravis
B. Rheumatoid arthritis
C. Gout
D. Muscular dystrophy
E. Systemic Lupus Erythematosus (SLE)
Choose the most appropriate answer from the options given below:
Match List I with List II:
Choose the correct answer from the options given below:
Given below are two statements:
Statement I: In the nephron, the descending limb of the loop of Henle is impermeable to water and permeable to electrolytes.
Statement II: The proximal convoluted tubule is lined by simple columnar brush border epithelium and increases the surface area for reabsorption.
In the light of the above statements, choose the correct answer from the options given below:
Match List I with List
II:
Choose the correct answer from the options given below:
Match List I with List II:
Choose the correct answer from the options given below:
Match List I with List II:
Choose the correct answer from the options given below:
Match List I with List II:
Choose the correct answer from the options given below:
Following are the stages of cell division:
A. Gap 2 phase
B. Cytokinesis
C. Synthesis phase
D. Karyokinesis
E. Gap 1 phase
Choose the correct sequence of stages from the options given below:
Match List I with List II
Choose the correct answer from the options given below:
Match List I with List II:
Choose the correct answer from the options given below:
Match List I with List II:
Choose the correct answer from the options given below:
Match List I with List II:
Choose the correct answer from the options given below:
The flippers of the Penguins and Dolphins are the example of:
Given below are two statements: One is labelled as Assertion A and the other is labelled as Reason R:
Assertion A: Breast-feeding during the initial period of infant growth is recommended by doctors for bringing a healthy baby.
Reason R: Colostrum contains several antibodies absolutely essential to develop resistance for the newborn baby.
In the light of the above statements, choose the most appropriate answer from the options given below:
Which of the following is not a component of the Fallopian tube?
Match List I with List II:
Choose the correct answer from the options given below:
Match List I with List II:
Choose the correct answer from the options given below:
Given below are some stages of human evolution. Arrange them in correct sequence. (Past to Recent)
A. Homo habilis
B. Homo sapiens
C. Homo neanderthalensis
D. Homo erectus
Choose the correct sequence of human evolution from the options given below:
Given below are two statements: One is labelled as Assertion A and the other is labelled as Reason R:
Assertion A: FSH acts upon ovarian follicles in female and Leydig cells in male.
Reason R: Growing ovarian follicles secrete estrogen in female while interstitial cells secrete androgen in male human being.
In the light of the above statements, choose the correct answer from the options given below:
Which of the following is not a steroid hormone?
Consider the following statements:
A. Annelids are true coelomates.
B. Poriferans are pseudocoelomates.
C. Aschelminthes are acoelomates.
D. Platyhelminthes are pseudocoelomates.
Choose the correct answer from the options given below:
Match List I with List II:
Choose the correct answer from the options given below:
Which of the following factors are favourable for the formation of oxyhaemoglobin in alveoli?
In both sexes of cockroach, a pair of jointed filamentous structures called anal cerci are present on:
Match List I with List II:
Choose the correct answer from the options given below:
The “Ti plasmid” of Agrobacterium tumefaciens stands for:
Given below are two statements: One is labelled as Assertion A and the other is labelled as Reason R:
Assertion A: The presence or absence of hymen is not a reliable indicator of virginity.
Reason R: The hymen is torn during the first coitus only.
In the light of the above statements, choose the correct answer from the options given below:
The following diagram shows restriction sites in E. coli cloning vector pBR322. Find the role of ‘X’ and ‘Y’ genes:
Which of the following is not a natural/traditional contraceptive method?
Match List I with List II:
Choose the correct answer from the options given below:
Identify the correct option (A), (B), (C), (D) with respect to spermatogenesis.
Given below are two statements:
Statement I: Mitochondria and chloroplasts both are double-membrane bound organelles.
Statement II: Inner membrane of mitochondria is relatively less permeable, as compared to chloroplast.
In the light of the above statements, choose the most appropriate answer from the options given below:
Given below are two statements:
Statement I: Gause's competitive exclusion principle states that two closely related species competing for different resources cannot exist indefinitely.
Statement II: According to Gause's principle, during competition, the inferior will be eliminated. This may be true if resources are limiting.
In the light of the above statements, choose the correct answer from the options given below:
Regarding catalytic cycle of an enzyme action, select the correct sequential steps:
A. Substrate-enzyme complex formation.
B. Free enzyme ready to bind with another substrate.
C. Release of products.
D. Chemical bonds of the substrate broken.
E. Substrate binding to active site.
Choose the correct answer from the options given below:
Match List I with List II:
Choose the correct answer from the options given below:
Match List I with List II:
Choose the correct answer from the options given below:
Given below are two statements:
Statement I: The cerebral hemispheres are connected by a nerve tract known as corpus callosum.
Statement II: The brain stem consists of the medulla oblongata, pons and cerebrum.
In the light of the above statements, choose the most appropriate answer from the options given below:
Match List I with List II related to digestive system of cockroach:
Choose the correct answer from the options given below:
Match List I with List II:
Choose the correct answer from the options given below:
Given below are two statements:
Statement I: Bone marrow is the main lymphoid organ where all blood cells including lymphocytes are produced.
Statement II: Both bone marrow and thymus provide microenvironments for the development and maturation of T-lymphocytes.
In the light of the above statements, choose the most appropriate answer from the options given below:
Match List I with List II:
Choose the correct answer from the options given below:
Choose the correct statement given below regarding juxta medullary nephron:
As per ABO blood grouping system, the blood group of father is B+, mother is A+ and child is O+. Their respective genotype can be:
The following are the statements about non-chordates:
A. Pharynx is perforated by gill slits.
B. Notochord is absent.
C. Central nervous system is dorsal.
D. Heart is dorsal if present.
E. Post anal tail is absent.
Choose the most appropriate answer from the options given below:
NEET Previous Year Question Papers with Answer Keys
| NEET 2023 Question Papers | NEET 2022 Question Papers | NEET 2021 Question Papers |
| NEET 2020 Question Papers | NEET 2019 Question Papers | NEET 2018 Question Papers |
















Comments