NEET 2024 Question paper with answer key pdf T1 is available for download. NEET 2024 T1 question paper has been conducted by the NTA on May 5, 2024, in pen-paper mode. NEET 2024 question paper code T1 consists of 200 MCQs- 180 to be attempted in 200 minutes. Each of the 4 subjects (Zoology, Botany, Chemistry, Physics) in NEET T1 question paper 2023 have 50 MCQs (45 to be attempted). You can download NEET 2024 question paper with answer key with solutions PDF for T1 using the links given below.
Download NEET 2025 Question Paper PDFs for all Codes
Related Links:
- Download NEET Previous Year Question Papers PDF with Solutions
- Download NEET 2024 Question Paper for all Shifts
NEET 2024 Question Paper with Answer Key PDF T1 in English
| NEET 2024 Question Paper with Answer Key | Check Solutions |
NEET 2024 Question Paper With Solution
PHYSICS
SECTION –A
Question 1:
A wheel of a bullock cart is rolling on a level road as shown in the figure below. If its linear speed is v in the direction shown, which one of the following options is correct (P and Q are any highest and lowest points on the wheel, respectively)?
Question 2:
In the above diagram, a strong bar magnet is moving towards solenoid-2 from solenoid-1. The direction of induced current in solenoid-1 and that in solenoid-2, respectively, are through the directions:
Question 3:
Consider the following statements A and B and identify the correct answer:
• A. For a solar-cell, the I-V characteristics lie in the IV quadrant of the given graph.
• B. In a reverse biased pn junction diode, the current measured in µA, is due to majority charge carriers.
Question 4:
A wire of length l and resistance 100 Ω is divided into 10 equal parts. The first 5 parts are connected in series while the next 5 parts are connected in parallel. The two combinations are again connected in series. The resistance of this final combination is:
Question 5:
In the following circuit, the equivalent capacitance between terminal A and terminal B is:
Question 6:
The output (Y) of the given logic gate is similar to the output of an/a:
Question 7:
The terminal voltage of the battery, whose emf is 10 V and internal resistance 1 Ω, when connected through an external resistance of 4Ω as shown in the figure is:
Question 8:
The mass of a planet is 1⁄10 that of the Earth and its diameter is half that of the Earth. The acceleration due to gravity on that planet is:
Question 9:
In a uniform magnetic field of 0.049 T, a magnetic needle performs 20 complete oscillations in 5 seconds. The moment of inertia of the needle is 9.8 × 10-6 kg m². If the magnitude of the magnetic moment of the needle is x × 10−5 Am², then the value of x is:
Question 10:
If c is the velocity of light in free space, the correct statements about photons among the following are:
A. The energy of a photon is E = hv.
B. The velocity of a photon is c.
C. The momentum of a photon, p = h⁄c.
D. In a photon-electron collision, both total energy and total momentum are conserved.
E. Photon possesses positive charge.
Question 11:
The maximum elongation of a steel wire of 1 m length if the elastic limit of steel and its Young's modulus, respectively, are 8 × 108 N/m² and 2 × 1011 N/m², is:
Question 12:
A logic circuit provides the output Y as per the following truth table:
| A | B | Y |
|---|---|---|
| 0 | 0 | 1 |
| 0 | 1 | 0 |
| 1 | 0 | 1 |
| 1 | 1 | 0 |
The expression for the output Y is:
Question 13:
The moment of inertia of a thin rod about an axis passing through its midpoint and perpendicular to the rod is 2400 g cm². The length of the 400 g rod is nearly:
Question 14:
In a vernier calliper, (N + 1) divisions of the vernier scale coincide with N divisions of the main scale. If 1 MSD represents 0.1 mm, the vernier constant (in cm) is:
Question 15:
Match List I with List II.
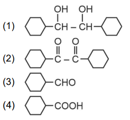
|
List I (Spectral Lines of Hydrogen for transitions from) |
List II (Wavelengths (nm)) |
|---|---|
| n₂ = 3 to n₁ = 2 | 410.2 nm |
| n₂ = 4 to n₁ = 2 | 434.1 nm |
| n₂ = 5 to n₁ = 2 | 656.3 nm |
| n₂ = 6 to n₁ = 2 | 486.1 nm |
Question 16:
If the monochromatic source in Young's double slit experiment is replaced by white light, then:
Question 17:
The graph which shows the variation of 1⁄λ² with kinetic energy E (where λ is the de Broglie wavelength of a free particle):
1. 
2. 
Question 18:
Match List-I with List-II.
| List I (Material) | List II (Susceptibility (χ)) |
|---|---|
| A. Diamagnetic | I. χ = 0 |
| B. Ferromagnetic | II. 0 > χ ≥ −1 |
| C. Paramagnetic | III. χ > 1 |
| D. Non-magnetic | IV. 0 < χ < ε (a small positive number) |
Question 19:
An unpolarised light beam strikes a glass surface at Brewster's angle. Then:
Question 20:
A particle moving with uniform speed in a circular path maintains:
Question 21:
The quantities which have the same dimensions as those of solid angle are:
Question 22:
A bob is whirled in a horizontal plane by means of a string with an initial speed of ω rpm. The tension in the string is T. If speed becomes 2ω while keeping the same radius, the tension in the string becomes:
Question 23:
If x = 5 sin (πt + π⁄2) m represents the motion of a particle executing simple harmonic motion, the amplitude and time period of motion, respectively, are:
Question 24:
A thermodynamic system is taken through the cycle abcd. The work done by the gas along the path bc is:
Question 25:
Given below are two statements:
Statement I: Atoms are electrically neutral as they contain equal number of positive and negative charges.
Statement II: Atoms of each element are stable and emit their characteristic spectrum.
In the light of the above statements, choose the most appropriate answer from the options given below:
Question 26:
In an ideal transformer, the turns ratio is Np⁄Ns = 1⁄2. The ratio Vs : Vp is equal to (the symbols carry their usual meaning):
Question 27:
Two bodies A and B of same mass undergo completely inelastic one-dimensional collision. The body A moves with velocity v1 while body B is at rest before collision. The velocity of the system after collision is v2. The ratio v1 : v2 is:
Question 28:
In the nuclear emission process:
29082X → α + Z80P + β- + e+ + AYQ
The mass number and atomic number of the product Q respectively, are:
Question 29:
Given below are two statements: one is labelled as Assertion A and the other is labelled as Reason R.
Assertion A: The potential (V) at any axial point, at 2 m distance (r) from the centre of the dipole of dipole moment vector P of magnitude, 4 × 10-6 C·m, is ±9 × 10³ V. (1⁄4πε₀ = 9 × 10⁹ SI units)
Reason R:
V = ±2P⁄4πε₀r²
where r is the distance of any axial point, situated at 2 m from the centre of the dipole.
In the light of the above statements, choose the correct answer from the options given below:
Question 30:
A thin spherical shell is charged by some source. The potential difference between the two points C and P (in V) shown in the figure is: (1⁄4πε₀ = 9 × 10⁹ SI units)
Question 31:
A thin flat circular disc of radius 4.5 cm is placed gently over the surface of water. If surface tension of water is 0.07 N m-1, then the excess force required to take it away from the surface is:
Question 32:
A light ray enters through a right-angled prism at point P with the angle of incidence 30° as shown in the figure. It travels through the prism parallel to its base BC and emerges along the face AC. The refractive index of the prism is:
Question 33:
At any instant of time t, the displacement of any particle is given by x = 2t - 1 (SI unit) under the influence of force of 5 N. The value of instantaneous power is (in SI unit):
Question 34:
A tightly wound 100-turns coil of radius 10 cm carries a current of 7 A. The magnitude of the magnetic field at the centre of the coil is (Take permeability of free space as 4π × 10-7 SI units):
Question 35:
A horizontal force 10 N is applied to a block A as shown in the figure. The mass of blocks A and B are 2 kg and 3 kg respectively. The blocks slide over a frictionless surface. The force exerted by block A on block B is:
SECTION-B
Question 36:
A small telescope has an objective of focal length 140 cm and an eyepiece of focal length 5.0 cm. The magnifying power of the telescope for viewing a distant object is:
Question 37:
Two heaters A and B have power ratings of 1 kW and 2 kW, respectively. Those two are first connected in series and then in parallel to a fixed power source. The ratio of power outputs for these two cases is:
Question 38:
If the mass of the bob in a simple pendulum is increased to thrice its original mass and its length is made half its original length, then the new time period of oscillation is x⁄2 times its original time period. Then the value of x is:
Question 39:
A parallel plate capacitor is charged by connecting it to a battery through a resistor. If I is the current in the circuit, then in the gap between the plates:
Question 40:
A metallic bar of Young's modulus, 0.5 × 1011 N m−2 and coefficient of linear thermal expansion 10-5 °C-1, length 1 m and area of cross-section 10-3 m² is heated from 0°C to 100°C without expansion or bending. The compressive force developed in it is:
Question 41:
The velocity (v) – time (t) plot of the motion of a body is shown below: (The given figure represents a velocity-time graph with three distinct phases: acceleration, constant velocity, and deceleration.)
The acceleration (a) – time (t) graph that best suits this motion is:
Question 42:
The following graph represents the T-V curves of an ideal gas (where T is the temperature and V the volume) at three pressures P1, P2, and P3, compared with those of Charles's law represented as dotted lines. (The given figure shows three isobaric curves where the one with the steepest slope corresponds to the lowest pressure.)
Then the correct relation is:
Question 43:
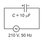
A 10 µF capacitor is connected to a 210V, 50Hz source as shown in the figure. The peak current in the circuit is nearly (π = 3.14):
Question 44:
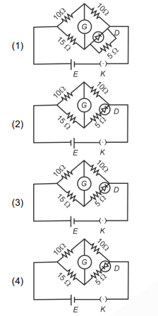
Choose the correct circuit which can achieve the bridge balance.
Question 45:
The property which is not of an electromagnetic wave travelling in free space is that:
Question 46:
The minimum energy required to launch a satellite of mass m from the surface of Earth of mass M and radius R in a circular orbit at an altitude of 2R from the surface of the Earth is:
Question 47:
If the plates of a parallel plate capacitor connected to a battery are moved close to each other, then:
Statements:
A. The charge stored in it increases.
B. The energy stored in it decreases.
C. Its capacitance increases.
D. The ratio of charge to its potential remains the same.
E. The product of charge and voltage increases.
Choose the most appropriate answer from the options given below:
Question 48:
A force defined by F = αt² + βt acts on a particle at a given time t. The factor which is dimensionless, if α and β are constants, is:
Question 49:
A sheet is placed on a horizontal surface in front of a strong magnetic pole. A force is needed to:
Statements:
A. Hold the sheet there if it is magnetic.
B. Hold the sheet there if it is non-magnetic.
C. Move the sheet away from the pole with uniform velocity if it is conducting.
D. Move the sheet away from the pole with uniform velocity if it is both, non-conducting and non-polar.
Choose the correct statement(s) from the options given below:
Question 50:
An iron bar of length L has magnetic moment M. It is bent at the middle of its length such that the two arms make an angle 60° with each other. The magnetic moment of this new magnet is:
CHEMISTRY
SECTION-A
Question 51:
Match List I with List II.
| List-I (Process) | List-II (Conditions) |
|---|---|
| A. Isothermal process | I. No heat exchange |
| B. Isochoric process | II. Carried out at constant temperature |
| C. Isobaric process | III. Carried out at constant volume |
| D. Adiabatic process | IV. Carried out at constant pressure |
Question 52:
Given below are two statements:
Statement I: The boiling point of three isomeric pentanes follows the order n-pentane > isopentane > neopentane
Statement II: When branching increases, the molecule attains a spherical shape. This results in a smaller surface area for contact, reducing intermolecular forces and lowering the boiling point.
Question 53:
Match List I with List II.
| List I (Molecule) | List II (Number and types of bond/s between two carbon atoms) |
|---|---|
| A. Ethane | I. one σ-bond and two π-bonds |
| B. Ethene | II. two π-bonds |
| C. Carbon molecule, C₂ | III. one σ-bond |
| D. Ethyne | IV. one σ-bond and one π-bond |
Question 54:
Which one of the following alcohols reacts instantaneously with Lucas reagent?
Question 55:
Match List I with List II.
| List I (Quantum Number) | List II (Information provided) |
|---|---|
| A. ml | I. Shape of orbital |
| B. ms | II. Size of orbital |
| C. l | III. Orientation of orbital |
| D. n | IV. Orientation of spin of electron |
Question 56:
'Spin only' magnetic moment is same for which of the following ions?
A. Ti3+
B. Cr2+
C. Mn2+
D. Fe2+
E. Sc3+
Question 57:
On heating, some solid substances change from solid to vapour state without passing through liquid state. The technique used for purification of such solid substances based on the above principle is known as
Question 58:
The energy of an electron in the ground state (n = 1) for He+ ion is –X. The energy for an electron in n = 2 state for Be3+ ion in J is:
Question 59:
Activation energy of any chemical reaction can be calculated if one knows the value of:
Question 60:
Which plot of ln k vs 1⁄T is consistent with the Arrhenius equation?
Question 61:
Given below are two statements:
Statement I: The boiling point of hydrides of Group 16 elements follows the order H₂O > H₂Te > H₂Se > H₂S.
Statement II: On the basis of molecular mass, H₂O is expected to have a lower boiling point than the other members of the group, but due to the presence of extensive hydrogen bonding in H₂O, it has a higher boiling point.
Question 62:
The reagents with which glucose does not react to give the corresponding tests/products are:
List of Reagents:
A. Tollen's reagent
B. Schiff's reagent
C. HCN
D. NH₂OH
E. NaHSO₃
Question 63:
Arrange the following elements in increasing order of first ionization enthalpy: Li, Be, B, C, N
Question 64:
Arrange the following elements in increasing order of electronegativity: N, O, F, C, Si
Question 65:
The E° value for the Mn3+/Mn2+ couple is more positive than that of Cr3+/Cr2+ or Fe3+/Fe2+ due to change of:
Question 66:
Match List I with List II.
| List I (Compound) | List II (Shape/geometry) |
|---|---|
| A. NH₃ | I. Trigonal Pyramidal |
| B. BrF₅ | II. Square Planar |
| C. XeF₄ | III. Octahedral |
| D. SF₆ | IV. Square Pyramidal |
Question 67:
Match List I with List II.
| List I (Complex) | List II (Type of Isomerism) |
|---|---|
| A. [Co(NH₃)₅(NO₂)]Cl₄ | I. Solvate Isomerism |
| B. [Co(NH₃)₅(SO₄)]Br | II. Linkage Isomerism |
| C. [Co(NH₃)₆][Cr(CN)₆] | III. Ionization Isomerism |
| D. [Co(H₂O)₆]Cl₃ | IV. Coordination Isomerism |
Question 68:
Intramolecular hydrogen bonding is present in:
1. 
Question 69:
Given below are two statements:
Statement I: Aniline does not undergo Friedel-Crafts alkylation reaction.
Statement II: Aniline cannot be prepared through Gabriel synthesis.
Question 70:
The highest number of helium atoms is in:
Question 71:
Match List I with List II.
Question 72:
Identify the correct reagents that would bring about the following transformation:
Question 73:
The compound that will undergo SN1 reaction with the fastest rate is:
Question 74:
Fehling's solution 'A' is:
Question 75:
The most stable carbocation among the following is:
Question 76:
For the reaction:
2A ⇌ B + C, Kc = 4 × 10-3
At a given time, the concentrations are:
[A] = [B] = [C] = 2 × 10⁻³ M
Which of the following is correct?
Question 77:
The Henry's law constant (KH) values of three gases (A, B, C) in water are 145, 2 x 10⁻⁵, and 35 kbar, respectively. The solubility of these gases in water follows the order:
Question 78:
A compound with a molecular formula of C₆H₁₄ has two tertiary carbons. Its IUPAC name is:
Question 79:
In which of the following equilibria, Kp and Kc are NOT equal?
Question 80:
Which reaction is NOT a redox reaction?
Question 81:
Given below are two statements:
Statement I: Both [Co(NH₃)₆]3+ and [CoF₆]3− complexes are octahedral but differ in their magnetic behavior.
Statement II: [Co(NH₃)₆]3+ is diamagnetic whereas [CoF₆]3− is paramagnetic.
Which of the following is correct?
Question 82:
1 gram of sodium hydroxide was treated with 25 mL of 0.75 M HCl solution. The mass of sodium hydroxide left unreacted is:
Question 83:
Among Group 16 elements, which one does NOT show -2 oxidation state?
Question 84:
In which of the following processes entropy increases?
(A) A liquid evaporates to vapour.
(B) Temperature of a crystalline solid lowered from 130 K to 0 K.
(C) 2NaHCO₃(s) → Na₂CO₃(s) + CO₂(g) + H₂O(g)
(D) Cl₂(g) → 2Cl(g)
Choose the correct answer from the options given below:
Question 85:
Match List I with List II.
| List I (Conversion) | List II (Number of Faraday required) |
|---|---|
| A. 1 mol of H₂O to O₂ | I. 3F |
| B. 1 mol of MnO₄⁻ to Mn²⁺ | II. 2F |
| C. 1.5 mol of Ca from molten CaCl₂ | III. 1F |
| D. 1 mol of FeO to Fe₂O₃ | IV. 5F |
Choose the correct answer from the options given below:
SECTION-B
Question 86:
Major products A and B formed in the following reaction sequence are:
1.
Question 87:
Consider the following reaction in a sealed vessel at equilibrium:
2NO(g) ⇌ N₂(g) + O₂(g)
Given concentrations:
N₂ = 3.0 × 10⁻³M, O₂ = 4.2 × 10⁻³M, NO = 2.8 × 10⁻³M
If 0.1 mol L⁻¹ of NO(g) is taken in a closed vessel, what will be the degree of dissociation (α) at equilibrium?
Question 88:
The products A and B obtained in the following reactions, respectively, are:
3ROH + PCl₃ → 3RCl + A
ROH + PCl₅ → RCl + HCl + B
Question 89:
Given below are certain cations. Using inorganic qualitative analysis, arrange them in increasing group number from 0 to VI. A. Al³⁺ B. Cu²⁺ C. Ba²⁺ D. Co²⁺ E. Mg²⁺
Choose the correct answer from the options given below.
Question 90:
During the preparation of Mohr's salt solution (Ferrous ammonium sulphate), which of the following acid is added to prevent hydrolysis of Fe²⁺ ion?
Question 91:
The work done during reversible isothermal expansion of one mole of hydrogen gas at 25°C from pressure of 20 atm to 10 atm is: (Given: R = 2.0 cal K⁻¹ mol⁻¹)
Question 92:
For the given reaction, 'P' is:


Question 93:
The plot of osmotic pressure (Π) vs concentration (mol L⁻¹) for a solution gives a straight line with slope 25.73 L bar mol⁻¹. The temperature at which the osmotic pressure measurement is done is: (Use: R = 0.0831 L bar mol⁻¹ K⁻¹)
Question 94:
Identify the major product C formed in the following reaction sequence:
Question 95:
A compound X contains 32% of A, 20% of B and the remaining percentage of C. Find the empirical formula of X. (Given: Atomic masses: A = 64, B = 40, C = 32u)
Question 96:
The rate of a reaction quadruples when temperature changes from 27°C to 57°C. Calculate the energy of activation. (Given: R = 8.314 J K⁻¹ mol⁻¹, log 4 = 0.6021)
Question 97:
Identify the correct answer.
Question 98:
The pair of lanthanoid ions which are diamagnetic is:
Question 99:
Given below are two statements:
Statement I: [Co(NH₃)₆]3+ is a homoleptic complex whereas [Co(NH₃)₄Cl₂]⁺ is a heteroleptic complex.
Statement II: Complex [Co(NH₃)₆]3+ has only one kind of ligand but [Co(NH₃)₄Cl₂]⁺ has more than one kind of ligands.
Question 100:
Mass in grams of copper deposited by passing 9.6487 A current through a voltmeter containing copper sulphate solution for 100 seconds is: (Given: Molar mass of Cu = 63 g mol⁻¹, 1F = 96487 C)
Question 101:
In the given figure, which component has thin outer walls and highly thickened inner walls?
Question 102:
List of endangered species was released by:
Question 103:
The type of conservation in which the threatened species are taken out from their natural habitat and placed in a special setting where they can be protected and given special care is called:
Question 104:
Which one of the following can be explained on the basis of Mendel's Law of Dominance?
Statements:
A. Out of one pair of factors, one is dominant and the other is recessive.
B. Alleles do not show any expression, and both characters appear as such in F₂ generation.
C. Factors occur in pairs in normal diploid plants.
D. The discrete unit controlling a particular character is called a factor.
E. The expression of only one of the parental characters is found in a monohybrid cross.
Question 105:
The lactose present in the growth medium of bacteria is transported to the cell by the action of:
Question 106:
Match List I with List II:
| List I | List II |
|---|---|
| A. Clostridium butylicum | I. Ethanol |
| B. Saccharomyces cerevisiae | II. Streptokinase |
| C. Trichoderma polysporum | III. Butyric acid |
| D. Streptococcus sp. | IV. Cyclosporin-A |
Question 107:
The equation of Verhulst-Pearl logistic growth is:
dN⁄dt = rN(K-N⁄K)
From this equation, K indicates:
Question 108:
A transcription unit in DNA is defined primarily by the three regions in DNA and these are with respect to upstream and downstream ends:
Question 109:
Formation of interfascicular cambium from fully developed parenchyma cells is an example of:
Question 110:
Match List I with List II:
| List I | List II |
|---|---|
| A. Rhizopus | I. Mushroom |
| B. Ustilago | II. Smut fungus |
| C. Puccinia | III. Bread mould |
| D. Agaricus | IV. Rust fungus |
Question 111:
What is the fate of a piece of DNA carrying only a gene of interest which is transferred into an alien organism?
- The piece of DNA would be able to multiply itself independently in the progeny cells of the organism.
- It may get integrated into the genome of the recipient.
- It may multiply and be inherited along with the host DNA.
- The alien piece of DNA is not an integral part of the chromosome.
- It shows ability to replicate.
Question 112:
Match List I with List II:
| List-I | List-II |
|---|---|
| A. Nucleolus | I. Site of formation of glycolipid |
| B. Centriole | II. Organization like the cartwheel |
| C. Leucoplasts | III. Site for active ribosomal RNA synthesis |
| D. Golgi apparatus | IV. For storing nutrients |
Question 113:
Identify the type of flowers based on the position of calyx, corolla, and androecium with respect to the ovary from the given figures (a) and (b).
Question 114:
Spindle fibers attach to kinetochores of chromosomes during:
Question 115:
These are regarded as major causes of biodiversity loss:
A. Over-exploitation
B. Co-extinction
C. Mutation
D. Habitat loss and fragmentation
E. Migration
Question 116:
Lecithin, a small molecular weight organic compound found in living tissues, is an example of:
Question 117:
Identify the set of correct statements:
A. The flowers of Vallisneria are colourful and produce nectar.
B. The flowers of water lily are not pollinated by water.
C. In most of water-pollinated species, the pollen grains are protected from wetting.
D. Pollen grains of some hydrophytes are long and ribbon-like.
E. In some hydrophytes, the pollen grains are carried passively inside water.
Choose the correct answer from the options given below.
Question 118:
The cofactor of the enzyme carboxypeptidase is:
Question 119:
Inhibition of Succinic dehydrogenase enzyme by malonate is a classical example of:
Question 120:
Which of the following is an example of an actinomorphic flower?
Question 121:
Given below are two statements:
Statement I: Chromosomes become gradually visible under a light microscope during the leptotene stage.
Statement II: The beginning of the diplotene stage is recognized by the dissolution of the synaptonemal complex.
In the light of the above statements, choose the correct answer from the options given below:
Question 122:
A pink-flowered Snapdragon plant was crossed with a red-flowered Snapdragon plant. What type of phenotype(s) is/are expected in the progeny?
Question 123:
Given below are two statements:
Statement I: Parenchyma is living but collenchyma is dead tissue.
Statement II: Gymnosperms lack xylem vessels but presence of xylem vessels is the characteristic of angiosperms.
In the light of the above statements, choose the correct answer from the options given below:
Question 124:
Given below are two statements:
Statement I: Bt toxins are insect group-specific and coded by a gene cry IAc.
Statement II: Bt toxin exists as inactive protoxin in B. thuringiensis. However, after ingestion by the insect, the inactive protoxin gets converted into active form due to acidic pH of the insect gut.
In the light of the above statements, choose the correct answer from the options given below:
Question 125:
Which one of the following is not a criterion for classification of fungi?
Question 126:
The capacity to generate a whole plant from any cell of the plant is called:
Question 127:
Which of the following are required for the dark reaction of photosynthesis?
A. Light
B. Chlorophyll
C. CO₂
D. ATP
E. NADPH
Choose the correct answer from the options given below:
Question 128:
Tropical regions show greatest level of species richness because
A. Tropical latitudes have remained relatively undisturbed for millions of years, hence more time was available for species diversification.
B. Tropical environments are more seasonal.
C. More solar energy is available in tropics.
D. Constant environments promote niche specialization.
E. Tropical environments are constant and predictable.
Choose the correct answer from the options given below:
Question 129:
Identify the part of the seed from the given figure which is destined to form root when the seed germinates.
Question 130:
How many molecules of ATP and NADPH are required for every molecule of CO₂ fixed in the Calvin cycle?
Question 131:
In a plant, black seed color (BB/Bb) is dominant over white seed color (bb). In order to find out the genotype of the black seed plant, with which of the following genotype will you cross it?
Question 132:
Hind II always cuts DNA molecules at a particular point called recognition sequence and it consists of:
Question 133:
Bulliform cells are responsible for:
Question 134:
Match List I with List II
| List I | List II |
|---|---|
| A. Two or more alternative forms of a gene | I. Back cross |
| B. Cross of F1 progeny with homozygous recessive parent | II. Ploidy |
| C. Cross of F1 progeny with any of the parents | III. Allele |
| D. Number of chromosome sets in plant | IV. Test cross |
Question 135:
Auxin is used by gardeners to prepare weed-free lawns. But no damage is caused to grass as auxin:
Question 136:
Match List I with List II
| List I | List II |
|---|---|
| A. Rose | I. Twisted aestivation |
| B. Pea | II. Perigynous flower |
| C. Cotton | III. Drupe |
| D. Mango | IV. Marginal placentation |
Question 137:
The DNA present in chloroplast is:
Question 138:
Identify the correct description about the given figure:
Question 139:
Match List I with List II
| List I | List II |
|---|---|
| A. Robert May | I. Species-Area relationship |
| B. Alexander von Humboldt | II. Long term ecosystem experiment using outdoor plots |
| C. Paul Ehrlich | III. Global species diversity at about 7 million |
| D. David Tilman | IV. Rivet popper hypothesis |
Question 140:
Given below are two statements:
Statement I: In C₃ plants, some O₂ binds to RuBisCO, hence CO₂ fixation is decreased.
Statement II: In C₄ plants, mesophyll cells show very little photorespiration while bundle sheath cells do not show photorespiration.
Choose the correct answer from the options given below:
Question 141:
Identify the step in tricarboxylic acid cycle, which does not involve oxidation of substrate.
Question 142:
Match List I with List II
| List I | List II |
|---|---|
| A. Citric acid cycle | I. Cytoplasm |
| B. Glycolysis | II. Mitochondrial matrix |
| C. Electron transport system | III. Intermembrane space of mitochondria |
| D. Proton gradient | IV. Inner mitochondrial membrane |
Choose the correct answer from the options given below:
Question 143:
Which of the following are fused in somatic hybridization involving two varieties of plants?
Question 144:
Match List-I with List-II
| List-I | List-II |
|---|---|
| A. GLUT-4 | I. Enables glucose transport into cells |
| B. Insulin | II. Hormone |
| C. Trypsin | III. Enzyme |
| D. Collagen | IV. Intercellular ground substance |
Choose the correct answer from the options given below:
Question 145:
Match List I with List II
| List I (Types of Stamens) | List II (Example) |
|---|---|
| A. Monoadelphous | I. Citrus |
| B. Diadelphous | II. Pea |
| C. Polyadelphous | III. Lily |
| D. Epiphyllous | IV. China-rose |
Choose the correct answer from the options given below:
Question 146:
Read the following statements and choose the set of correct statements:
A. Asexual reproduction occurs usually by biflagellate zoospores.
B. Sexual reproduction is by oogamous method only.
C. Stored food is in the form of carbohydrates which is either mannitol or laminarin.
D. The major pigments found are chlorophyll a, c and carotenoids and xanthophyll.
E. Vegetative cells have a cellulolytic wall, covered on the outside by gelatinous coating of algin.
Choose the correct answer from the options given below:
Question 147:
Match List I with List II
| List I | List II |
|---|---|
| A. Frederick Griffith | I. Genetic code |
| B. Francois Jacob & Jacque Monod | II. Semi-conservative mode of DNA replication |
| C. Har Gobind Khorana | III. Transformation |
| D. Meselson & Stahl | IV. Lac operon |
Question 148:
Which of the following statements is correct regarding the process of replication in E. coli?
Question 149:
Spraying sugarcane crop with which of the following plant growth regulators increases the length of the stem, thus, increasing the yield?
Question 150:
In an ecosystem if the Net Primary Productivity (NPP) of first trophic level is 100x (kcal m⁻²) yr⁻¹, what would be the GPP (Gross Primary Productivity) of the third trophic level of the same ecosystem?
Question 151:
Match List I with List II
| List I | List II |
|---|---|
| A. Down's syndrome | I. 11th chromosome |
| B. α-Thalassemia | II. 'X' chromosome |
| C. β-Thalassemia | III. 21st chromosome |
| D. Klinefelter's syndrome | IV. 16th chromosome |
Choose the correct answer from the options given below:
Question 152:
Match List I with List II
| List I (Sub Phases of Prophase I) | List II (Specific Characters) |
|---|---|
| A. Diakinesis | I. Synaptonemal complex formation |
| B. Pachytene | II. Completion of terminalisation of chiasmata |
| C. Zygotene | III. Chromosomes look like thin threads |
| D. Leptotene | IV. Appearance of recombination nodules |
Choose the correct answer from the options given below:
Question 153:
Which of the following factors are favorable for the formation of oxyhemoglobin in alveoli?
Question 154:
Match List I with List II
| List I | List II |
|---|---|
| A. Typhoid | I. Fungus |
| B. Leishmaniasis | II. Nematode |
| C. Ringworm | III. Protozoa |
| D. Filariasis | IV. Bacteria |
Choose the correct answer from the options given below:
Question 155:
Match List I with List II
| List I | List II |
|---|---|
| A. Expiratory capacity | I. Expiratory reserve volume + Tidal volume + Inspiratory reserve volume |
| B. Functional residual capacity | II. Tidal volume + Expiratory reserve volume |
| C. Vital capacity | III. Tidal volume + Inspiratory reserve volume |
| D. Inspiratory capacity | IV. Expiratory reserve volume + Residual volume |
Choose the correct answer from the options given below:
Question 156:
Which of the following are Autoimmune disorders?
A. Myasthenia gravis
B. Rheumatoid arthritis
C. Gout
D. Muscular dystrophy
E. Systemic Lupus Erythematosus (SLE)
Choose the most appropriate answer from the options given below:
Question 157:
Given below are two statements:
Statement I: In the nephron, the descending limb of the loop of Henle is impermeable to water and permeable to electrolytes.
Statement II: The proximal convoluted tubule is lined by simple columnar brush border epithelium and increases the surface area for reabsorption.
In the light of the above statements, choose the correct answer from the options given below:
Question 158:
Which of the following is not a steroid hormone?
Question 159:
Given below are two statements:
Assertion A: FSH acts upon ovarian follicles in females and Leydig cells in males.
Reason R: Growing ovarian follicles secrete estrogen in females, while interstitial cells secrete androgen in male human beings.
In the light of the above statements, choose the correct answer from the options given below:
Question 160:
Given below are some stages of human evolution. Arrange them in correct sequence (Past to Recent).
A. Homo habilis
B. Homo sapiens
C. Homo neanderthalensis
D. Homo erectus
Choose the correct sequence of human evolution from the options given below:
Question 161:
Three types of muscles are given as (a), (b), and (c). Identify the correct matching pair along with their location in the human body:
Question 162:
Match List I with List II:
| List I | List II |
|---|---|
| A. Cocaine | I. Effective sedative in surgery |
| B. Heroin | II. Cannabis sativa |
| C. Morphine | III. Erythroxylum |
| D. Marijuana | IV. Papaver somniferum |
Choose the correct answer from the options given below:
Question 163:
The "Ti plasmid" of Agrobacterium tumefaciens stands for:
Question 164:
Which one is the correct product of DNA-dependent RNA polymerase to the given template?
3'TCATCTGGAAATTACCTTACAS5'
Question 165:
Match List I with List II:
| List I | List II |
|---|---|
| A. Pterophyllum | I. Hag fish |
| B. Myxine | II. Saw fish |
| C. Pristis | III. Angel fish |
| D. Exocoetus | IV. Flying fish |
Choose the correct answer from the options given below :
Question 166:
Match List I with List II:
| List I | List II |
|---|---|
| A. Fibrous joints | I. Adjacent vertebrae, limited movement |
| B. Cartilaginous joints | II. Humerus and Pectoral girdle, rotational movement |
| C. Hinge joints | III. Skull, don't allow any movement |
| D. Ball and socket joints | IV. Knee, help in locomotion |
Choose the correct answer from the options given below :
Question 167:
The flippers of Penguins and Dolphins are an example of:
Question 168:
Match List I with List II:
| List I | List II |
|---|---|
| A. α-1 antitrypsin | I. Cotton bollworm |
| B. Cry IAb | II. ADA deficiency |
| C. Cry IAc | III. Emphysema |
| D. Enzyme replacement therapy | IV. Corn borer |
Choose the correct answer from the options given below:
Question 169:
Match List I with List II:
| List I | List II |
|---|---|
| A. Axoneme | I. Centriole |
| B. Cartwheel pattern | II. Cilia and flagella |
| C. Crista | III. Chromosome |
| D. Satellite | IV. Mitochondria |
Choose the correct answer from the options given below:
Question 170:
Given below are two statements: One is labeled as Assertion (A) and the other as Reason (R).
Assertion (A): Breastfeeding during the initial period of infant growth is recommended by doctors for bringing a healthy baby.
Reason (R): Colostrum contains several antibodies absolutely essential to develop resistance for the newborn baby.
In the light of the above statements, choose the most appropriate answer from the options given below:
Question 171:
Which of the following is not a component of the Fallopian tube?
Question 172:
Which of the following statements is incorrect?
Question 173:
Match List-I with List-II:
| List I | List II |
|---|---|
| A. Pons | I. Provides additional space for Neurons, regulates posture and balance. |
| B. Hypothalamus | II. Controls respiration and gastric secretions. |
| C. Medulla | III. Connects different regions of the brain. |
| D. Cerebellum | IV. Neuro secretory cells |
Choose the correct answer from the options given below:
Question 174:
Match List-I with List-II:
| List-I | List-II |
|---|---|
| A. Lipase | I. Peptide bond |
| B. Nuclease | II. Ester bond |
| C. Protease | III. Glycosidic bond |
| D. Amylase | IV. Phosphodiester bond |
Choose the correct answer from the options given below:
Question 175:
Which of the following is not a natural/traditional contraceptive method?
Question 176:
Following are the stages of the pathway for conduction of an action potential through the heart:
A. AV bundle
B. Purkinje fibers
C. AV node
D. Bundle branches
E. SA node
Choose the correct sequence of pathway from the options given below
Question 177:
Match List-I with List-II:
| List I | List II |
|---|---|
| A. Pleurobrachia | I. Mollusca |
| B. Radula | II. Ctenophora |
| C. Stomochord | III. Osteichthyes |
| D. Air bladder | IV. Hemichordata |
Choose the correct answer from the options given below:
Question 178:
Match List-I with List-II:
| List I | List II |
|---|---|
| A. Common cold | I. Plasmodium |
| B. Haemozoin | II. Typhoid |
| C. Widal test | III. Rhinoviruses |
| D. Allergy | IV. Dust mites |
Choose the correct answer from the options given below:
Question 179:
Consider the following statements:
A. Annelids are true coelomates.
B. Poriferans are pseudocoelomates.
C. Aschelminthes are acoelomates.
D. Platyhelminthes are pseudocoelomates.
Choose the correct answer from the options given below:
Question 180:
In both sexes of cockroach, a pair of jointed filamentous structures called anal cerci are present on:
Question 181:
Given below are two statements:
Statement I: The presence or absence of hymen is not a reliable indicator of virginity.
Statement II: The hymen is torn during the first coitus only.
In the light of the above statements, choose the correct answer from the options given below:
Question 182:
Which one of the following factors will not affect the Hardy-Weinberg equilibrium?
Question 183:
The following diagram shows restriction sites in E. coli cloning vector pBR322. Find the role of ‘X' and ‘Y” genes:
Question 184:
Match List I with List II
| List I | List II |
|---|---|
| A. Non-medicated IUD | I. Multiload 375 |
| B. Copper releasing IUD | II. Progestogens |
| C. Hormone releasing IUD | III. Lippes loop |
| D. Implants | IV. LNG-20 |
Choose the correct answer from the options given below:
Question 185:
Following are the stages of cell division:
A. Gap 2 phase
B. Cytokinesis
C. Synthesis phase
D. Karyokinesis
E. Gap 1 phase
Choose the correct sequence of stages from the options given below:
Question 186:
Choose the correct statement given below regarding juxta medullary nephron:
Question 187:
The following are the statements about non-chordates:
A. Pharynx is perforated by gill slits.
B. Notochord is absent.
C. Central nervous system is dorsal.
D. Heart is dorsal if present.
E. Post anal tail is absent.
Choose the most appropriate answer from the options given below:
Question 188:
Given below are two statements:
Statement I: Mitochondria and chloroplasts are both double-membrane bound organelles.
Statement II: Inner membrane of mitochondria is relatively less permeable, as compared to chloroplast.
In the light of the above statements, choose the most appropriate answer from the options given below:
Question 189:
Regarding catalytic cycle of an enzyme action, select the correct sequential steps:
A. Substrate enzyme complex formation.
B. Free enzyme ready to bind with another substrate.
C. Release of products.
D. Chemical bonds of the substrate broken.
E. Substrate binding to active site.
Choose the correct answer from the options given below:
Question 190:
Match List I with List II:
| List I | List II |
|---|---|
| A. P wave | I. Heart muscles are electrically silent. |
| B. QRS complex | II. Depolarisation of ventricles. |
| C. T wave | III. Depolarisation of atria. |
| D. T-P gap | IV. Repolarisation of ventricles. |
Choose the correct answer from the options given below:
Question 191:
Given below are two statements:
Statement I: Bone marrow is the main lymphoid organ where all blood cells, including lymphocytes, are produced.
Statement II: Both bone marrow and thymus provide microenvironments for the development and maturation of T-lymphocytes.
In the light of the above statements, choose the most appropriate answer from the options given below:
Question 192:
Match List I with List II:
| List I | List II |
|---|---|
| A. Unicellular glandular epithelium | I. Salivary glands |
| B. Compound epithelium | II. Pancreas |
| C. Multicellular glandular epithelium | III. Goblet cells of alimentary canal |
| D. Endocrine glandular epithelium | IV. Moist surface of buccal cavity |
Choose the correct answer from the options given below:
Question 193:
Given below are two statements:
Statement I: The cerebral hemispheres are connected by a nerve tract known as the corpus callosum.
Statement II: The brain stem consists of the medulla oblongata, pons, and cerebrum.
In the light of the above statements, choose the most appropriate answer from the options given below:
Question 194:
Match List I with List II:
| List I | List II |
|---|---|
| A. RNA polymerase III | I. snRNPs |
| B. Termination of transcription | II. Promoter |
| C. Splicing of Exons | III. Rho factor |
| D. TATA box | IV. snRNAs, tRNA |
Choose the correct answer from the options given below:
Question 195:
Match List I with List II:
| List I | List II |
|---|---|
| A. Mesozoic Era | I. Lower invertebrates |
| B. Proterozoic Era | II. Fish & Amphibia |
| C. Cenozoic Era | III. Birds & Reptiles |
| D. Paleozoic Era | IV. Mammals |
Choose the correct answer from the options given below:
Question 196:
Given below are two statements:
Statement I: Gause's competitive exclusion principle states that two closely related species competing for different resources cannot exist indefinitely.
Statement II: According to Gause's principle, during competition, the inferior will be eliminated. This may be true if resources are limiting.
In the light of the above statements, choose the correct answer from the options given below:
Question 197:
Match List I with List II:
| List I | List II |
|---|---|
| A. Exophthalmic goiter | I. Excess secretion of cortisol, moon face & hyperglycemia. |
| B. Acromegaly | II. Hypo-secretion of thyroid hormone and stunted growth. |
| C. Cushing's syndrome | III. Hyper secretion of thyroid hormone & protruding eye balls. |
| D. Cretinism | IV. Excessive secretion of growth hormone. |
Choose the correct answer from the options given below:
Question 198:
Identify the correct option (A), (B), (C), (D) with respect to spermatogenesis.
Question 199:
As per ABO blood grouping system, the blood group of father is B+, mother is A+ and child is O+. Their respective genotype can be:
A. IBi / IAi / ii
B. IBIB / IAIA / ii
C. IAIB / IAi / IBi
D. IAi / IBi / IAi
E. ii / IAi / IAIB
Choose the most appropriate answer from the options given below :
Question 200:
Match List I with List II related to the digestive system of a cockroach:
| List I (Description) | List II (Structure) |
|---|---|
| A. The structures used for storing food | I. Gizzard |
| B. Ring of 6-8 blind tubules at the junction of foregut and midgut | II. Gastric Caeca |
| C. Ring of 100-150 yellow-colored thin filaments at the junction of midgut and hindgut | III. Malpighian tubules |
| D. The structures used for grinding the food | IV. Crop |
Choose the correct answer from the options given below:
NEET Previous Year Question Papers with Answer Keys
| NEET 2023 Question Papers | NEET 2022 Question Papers | NEET 2021 Question Papers |
| NEET 2020 Question Papers | NEET 2019 Question Papers | NEET 2018 Question Papers |














Comments