NEET 2024 Zoology Question Paper with Solutions PDF R2 is available for download. NEET 2024 R2 Zoology Question Paper comprises 50 MCQs out of which only 45 are to be attempted. NEET 2024 question R2 Zoology is divided into 2 sections- A (35 questions) and B (15 questions). You can download NEET 2024 zoology question paper with answer key and solutions PDF for R2 using the links given below.
NEET 2024 Zoology Question Paper with Solutions PDF R2
| NEET 2024 Zoology Question Paper R2 | Download PDF | Check Solution |

Three types of muscles are given as a, b, and c. Identify the correct matching pair along with their location in the human body:
Name of muscle/location
(b) Smooth – Stomach
(c) Cardiac – Heart
View Solution
- Skeletal muscle is found in the triceps and is voluntary in nature (a).
- Smooth muscle is found in the walls of the stomach and is involuntary (b).
- Cardiac muscle is found in the heart and is involuntary (c).
Thus, the correct answer is (1) (a) Skeletal - Triceps, (b) Smooth – Stomach, (c) Cardiac – Heart. Quick Tip: Skeletal muscle is voluntary and attached to bones, smooth muscle is involuntary and found in internal organs, and cardiac muscle is involuntary, found only in the heart.
Following are the stages of the pathway for conduction of an action potential through the heart:
A. AV bundle \quad B. Purkinje fibres \quad C. AV node \quad D. Bundle branches \quad E. SA node
Choose the correct sequence of the pathway from the options given below:
View Solution
The correct sequence of action potential conduction in the heart is:
- The impulse originates at the SA node (E), then travels to the AV node (C).
- From the AV node, the impulse moves to the AV bundle (A), followed by the Bundle branches (D), and then reaches the Purkinje fibres (B).
Thus, the correct answer is
(4) E-C-A-D-B. Quick Tip: The SA node initiates the electrical impulse that propagates through the heart, ensuring coordinated contraction and proper circulation.
Which one of the following factors will not affect the Hardy-Weinberg equilibrium?
View Solution
The Hardy-Weinberg equilibrium assumes no change in allele frequencies in a population, meaning no evolution occurs. The factors that can affect this equilibrium include:
- Genetic drift, which causes random changes in allele frequencies, especially in small populations.
- Gene migration or gene flow, which introduces new alleles into a population.
- Genetic recombination, which creates new allele combinations but does not affect allele frequencies directly.
A constant gene pool is the assumption that the genetic makeup remains stable, and therefore does not affect the equilibrium.
Thus, the correct answer is
(3) Constant gene pool. Quick Tip: The Hardy-Weinberg equilibrium assumes no change in allele frequencies, but genetic drift, migration, and recombination can all disrupt this balance.
Which of the following statements is incorrect?
View Solution
Bio-reactors are primarily used for large-scale production of microbial cultures, not small-scale. They provide optimal growth conditions by regulating factors like temperature, pH, and oxygen levels to enhance the production of desired products such as antibiotics, enzymes, and biofuels.
Thus, the correct answer is
(2) Bio-reactors are used to produce small-scale bacterial cultures. Quick Tip: Bio-reactors are critical for large-scale production in biotechnology, ensuring controlled conditions for optimal product yield.
Which one is the correct product of DNA-dependent RNA polymerase to the given template?
3’TACATGGCAAATATCCATTCA5’
View Solution
DNA-dependent RNA polymerase transcribes the template strand of DNA to RNA. In this case, the RNA sequence will be complementary to the given DNA template:
- The sequence 3’TACATGGCAAATATCCATTCA5’ is transcribed to 5’AUGUACCGUUUAUAGGUAAGU3’.
Thus, the correct answer is
(4) 5’AUGUACCGUUUAUAGGUAAGU3’. Quick Tip: RNA polymerase synthesizes mRNA in the 5’ to 3’ direction, complementary to the DNA template strand.
Match List I with List II

View Solution
- A. –I antitrypsin is associated with Emphysema (A-III).
- B. Cry IAb is toxic to the Cotton bollworm (B-I).
- C. Cry IAc is toxic to the Corn borer (C-I).
- D. Enzyme replacement therapy is used to treat ADA deficiency (D-II).
Thus, the correct answer is
(2) A-III, B-IV, C-I, D-II. Quick Tip: Cry proteins from Bacillus thuringiensis are specific to different insect pests, and -I antitrypsin is used to treat emphysema.
Which of the following are Autoimmune disorders?
A. Myasthenia gravis
B. Rheumatoid arthritis
C. Gout
D. Muscular dystrophy
E. Systemic Lupus Erythematosus (SLE)
Choose the most appropriate answer from the options given below:
View Solution
- Myasthenia gravis, Rheumatoid arthritis, and Systemic Lupus Erythematosus (SLE) are all autoimmune disorders, where the immune system attacks the body's own tissues.
- Gout is not an autoimmune disorder; it is caused by the accumulation of uric acid crystals.
- Muscular dystrophy is a genetic disorder, not autoimmune.
Thus, the correct answer is (1) A, B & E only. Quick Tip: Autoimmune diseases involve the immune system mistakenly attacking the body’s own cells, leading to conditions like rheumatoid arthritis and SLE.
Match List I with List II:
Choose the correct answer from the options given below:
View Solution
- A. Down’s syndrome is caused by a trisomy of chromosome 21, so it matches with III. 21st chromosome.
- B. \(\alpha\)-Thalassemia is linked to mutations on chromosome 16, so it matches with IV. 16th chromosome.
- C. \(\beta\)-Thalassemia is linked to mutations on chromosome 11, so it matches with I. 11th chromosome.
- D. Klinefelter’s syndrome is associated with an extra X chromosome in males, so it matches with II. ‘X’ chromosome.
Thus, the correct answer is
(2) A-III, B-IV, C-I, D-II. Quick Tip: Klinefelter's syndrome involves an additional X chromosome, while Down's syndrome involves a trisomy of chromosome 21.
Given below are two statements:
Statement I: In the nephron, the descending limb of the loop of Henle is impermeable to water and permeable to electrolytes.
Statement II: The proximal convoluted tubule is lined by simple columnar brush border epithelium and increases the surface area for reabsorption.
In the light of the above statements, choose the correct answer from the options given below:
View Solution
- Statement I: The descending limb of the loop of Henle is permeable to water but impermeable to electrolytes, so this statement is false.
- Statement II: The proximal convoluted tubule is lined by cuboidal epithelium, not columnar, and increases the surface area for reabsorption through microvilli, so this statement is also false.
Thus, the correct answer is (1) Both Statement I and Statement II are false. Quick Tip: The descending limb of the loop of Henle is permeable to water, and the proximal convoluted tubule has cuboidal epithelium.
Match List I with List
II:
Choose the correct answer from the options given below:
View Solution
- A. Pons connects different regions of the brain and is associated with regulating respiration, so it matches with III. Connects different regions of the brain.
- B. Hypothalamus contains neurosecretory cells, which control various hormonal functions, so it matches with IV. Neurosecretory cells.
- C. Medulla controls respiration and gastric secretions, so it matches with II. Controls respiration and gastric secretions.
- D. Cerebellum is responsible for maintaining posture and balance, so it matches with I. Provides additional space for neurons, regulates posture and balance.
Thus, the correct answer is (1) A-III, B-IV, C-II, D-I. Quick Tip: The pons is involved in connecting brain regions, the hypothalamus controls hormone secretion, the medulla regulates vital functions, and the cerebellum coordinates movement and balance.
Match List I with List II:
Choose the correct answer from the options given below:
View Solution
- A. Axoneme is the structure found in cilia and flagella, so it matches with II. Cilia and flagella.
- B. Cartwheel pattern is observed in the structure of centriole, so it matches with I. Centriole.
- C. Crista is found in the inner membrane of mitochondria, so it matches with IV. Mitochondria.
- D. Satellite refers to the associated small bodies near chromosomes, so it matches with III. Chromosome.
Thus, the correct answer is
(3) A-II, B-I, C-IV, D-III. Quick Tip: The axoneme is a structural component of cilia and flagella, centrioles have a cartwheel pattern, cristae are found in mitochondria, and satellites are associated with chromosomes.
Match List I with List II:
Choose the correct answer from the options given below:
View Solution
- A. Fibrous joints are found in the skull, where no movement occurs, so it matches with III. Skull, don’t allow any movement.
- B. Cartilaginous joints are found between adjacent vertebrae, where limited movement occurs, so it matches with I. Adjacent vertebrae, limited movement.
- C. Hinge joints allow movement in one direction, such as in the knee, so it matches with IV. Knee, help in locomotion.
- D. Ball and socket joints allow rotational movement, such as in the humerus and pectoral girdle, so it matches with II. Humerus and Pectoral girdle, rotational movement.
Thus, the correct answer is
(3) A-III, B-I, C-IV, D-II. Quick Tip: Fibrous joints are immovable, cartilaginous joints allow limited movement, hinge joints allow bending, and ball-and-socket joints allow rotational movement.
Match List I with List II:
Choose the correct answer from the options given below:
View Solution
- A. Pterophyllum is known as the angel fish (A-III).
- B. Myxine is the scientific name for the hag fish (B-I).
- C. Pristis is the scientific name for the saw fish (C-II).
- D. Exocoetus is the scientific name for the flying fish (D-IV).
Thus, the correct answer is (1) A-III, B-I, C-II, D-IV. Quick Tip: Pterophyllum is the angel fish, Myxine is the hag fish, Pristis is the saw fish, and Exocoetus is the flying fish.
Following are the stages of cell division:
A. Gap 2 phase
B. Cytokinesis
C. Synthesis phase
D. Karyokinesis
E. Gap 1 phase
Choose the correct sequence of stages from the options given below:
View Solution
The correct sequence of stages in cell division is:
- E. Gap 1 phase, where the cell grows.
- C. Synthesis phase, where DNA replication occurs.
- A. Gap 2 phase, where the cell continues to grow and prepare for division.
- D. Karyokinesis, where the nucleus divides.
- B. Cytokinesis, where the cytoplasm divides, completing the process.
Thus, the correct answer is
(3) E-C-A-D-B. Quick Tip: Cell division progresses in a highly regulated sequence: G1, S, G2, followed by karyokinesis and cytokinesis.
Match List I with List II
Choose the correct answer from the options given below:
View Solution
- A. Non-medicated IUD is represented by Lippes loop (III).
- B. Copper releasing IUD is represented by Multiload 375 (I).
- C. Hormone releasing IUD is represented by LNG-20 (IV).
- D. Implants are represented by Progestogens (II).
Thus, the correct answer is
(3) A-III, B-I, C-IV, D-II. Quick Tip: IUDs are categorized based on their medication type: non-medicated, copper-releasing, hormone-releasing, and implants.
Match List I with List II:
Choose the correct answer from the options given below:
View Solution
- A. Lipase breaks ester bonds (II).
- B. Nuclease breaks phosphodiester bonds (IV).
- C. Protease breaks peptide bonds (I).
- D. Amylase breaks glycosidic bonds (III).
Thus, the correct answer is
(2) A-II, B-IV, C-I, D-III. Quick Tip: Each enzyme acts on a specific type of bond: lipase on ester bonds, nuclease on phosphodiester bonds, protease on peptide bonds, and amylase on glycosidic bonds.
Match List I with List II:
Choose the correct answer from the options given below:
View Solution
- A. Expiratory capacity is Tidal volume + Expiratory reserve volume (II).
- B. Functional residual capacity is Expiratory reserve volume + Residual volume (IV).
- C. Vital capacity is Expiratory reserve volume + Tidal volume + Inspiratory reserve volume (I).
- D. Inspiratory capacity is Tidal volume + Inspiratory reserve volume (III).
Thus, the correct answer is
(4) A-II, B-IV, C-I, D-III. Quick Tip: The capacities in pulmonary function tests include various combinations of tidal volume, expiratory reserve volume, and inspiratory reserve volume.
Match List I with List II:
Choose the correct answer from the options given below:
View Solution
- A. Cocaine comes from Erythroxylum (III).
- B. Heroin is derived from Papaver somniferum (IV).
- C. Morphine is also derived from Papaver somniferum (I).
- D. Marijuana comes from Cannabis sativa (II).
Thus, the correct answer is
(3) A-III, B-IV, C-I, D-II. Quick Tip: Cocaine and heroin are derived from plants, while morphine comes from opium poppies and marijuana from cannabis.
The flippers of the Penguins and Dolphins are the example of:
View Solution
The flippers of penguins and dolphins are examples of convergent evolution, where different species independently evolve similar traits as a result of having to adapt to similar environments.
Thus, the correct answer is
(2) Convergent evolution. Quick Tip: Convergent evolution occurs when unrelated species evolve similar traits due to similar environmental pressures.
Given below are two statements: One is labelled as Assertion A and the other is labelled as Reason R:
Assertion A: Breast-feeding during the initial period of infant growth is recommended by doctors for bringing a healthy baby.
Reason R: Colostrum contains several antibodies absolutely essential to develop resistance for the newborn baby.
In the light of the above statements, choose the most appropriate answer from the options given below:
View Solution
- Assertion A is correct: Breastfeeding is highly recommended during the early stages of an infant's development.
- Reason R is also correct: Colostrum, the first milk produced, contains antibodies that help in building the baby's immunity.
Thus, the correct answer is
(4) Both A and R are correct and R is the correct explanation of A. Quick Tip: Colostrum is rich in antibodies, providing essential immunity to the newborn during the early days.
Which of the following is not a component of the Fallopian tube?
View Solution
The uterine fundus is part of the uterus, not the Fallopian tube. The Fallopian tube consists of the infundibulum, ampulla, and isthmus.
Thus, the correct answer is
(4) Uterine fundus. Quick Tip: The uterine fundus is the upper portion of the uterus, not part of the Fallopian tube.
Match List I with List II:
Choose the correct answer from the options given below:
View Solution
- A. Typhoid is caused by a bacterium, so it matches with IV. Bacteria.
- B. Leishmaniasis is caused by a protozoan, so it matches with III. Protozoa.
- C. Ringworm is caused by a fungus, so it matches with I. Fungus.
- D. Filariasis is caused by a nematode, so it matches with II. Nematode.
Thus, the correct answer is (1) A-IV, B-III, C-I, D-II. Quick Tip: Different diseases are caused by different organisms: bacteria (Typhoid), protozoa (Leishmaniasis), fungi (Ringworm), and nematodes (Filariasis).
Match List I with List II:
Choose the correct answer from the options given below:
View Solution
- A. Common cold is caused by Rhinoviruses, so it matches with III. Rhinoviruses.
- B. Haemozoin is a byproduct of the malaria-causing Plasmodium, so it matches with I. Plasmodium.
- C. Widal test is used to diagnose Typhoid, so it matches with II. Typhoid.
- D. Allergy can be triggered by Dust mites, so it matches with IV. Dust mites.
Thus, the correct answer is
(2) A-III, B-I, C-II, D-IV. Quick Tip: Common cold is caused by rhinoviruses, malaria by Plasmodium, and allergies by dust mites. The Widal test is used for diagnosing typhoid.
Given below are some stages of human evolution. Arrange them in correct sequence. (Past to Recent)
A. Homo habilis
B. Homo sapiens
C. Homo neanderthalensis
D. Homo erectus
Choose the correct sequence of human evolution from the options given below:
View Solution
The correct sequence of human evolution, from past to recent, is:
- A. Homo habilis was one of the earliest members of the genus Homo.
- D. Homo erectus evolved next, showing more advanced tool use.
- C. Homo neanderthalensis followed, characterized by a robust build.
- B. Homo sapiens are the modern humans, representing the most recent stage of evolution.
Thus, the correct answer is
(3) A-D-C-B. Quick Tip: The human evolutionary sequence shows a gradual increase in brain size and complexity from Homo habilis to Homo sapiens.
Given below are two statements: One is labelled as Assertion A and the other is labelled as Reason R:
Assertion A: FSH acts upon ovarian follicles in female and Leydig cells in male.
Reason R: Growing ovarian follicles secrete estrogen in female while interstitial cells secrete androgen in male human being.
In the light of the above statements, choose the correct answer from the options given below:
View Solution
- Assertion A is false because FSH acts on ovarian follicles in females and Sertoli cells in males, not Leydig cells.
- Reason R is true because growing ovarian follicles secrete estrogen, and interstitial cells (Leydig cells) secrete androgens in males.
Thus, the correct answer is
(3) A is false but R is true. Quick Tip: FSH plays key roles in both male and female reproductive systems but acts on different cells in males (Sertoli cells) and females (ovarian follicles).
Which of the following is not a steroid hormone?
View Solution
- Testosterone, Progesterone, and Cortisol are steroid hormones, derived from cholesterol and characterized by a four-ring structure.
- Glucagon, however, is a peptide hormone, not a steroid.
Thus, the correct answer is
(3) Glucagon. Quick Tip: Steroid hormones are derived from cholesterol and include hormones like testosterone and cortisol, while glucagon is a peptide hormone.
Consider the following statements:
A. Annelids are true coelomates.
B. Poriferans are pseudocoelomates.
C. Aschelminthes are acoelomates.
D. Platyhelminthes are pseudocoelomates.
Choose the correct answer from the options given below:
View Solution
- A. Annelids are true coelomates, meaning they have a well-developed coelom.
- B. Poriferans are not pseudocoelomates; they lack a true coelom.
- C. Aschelminthes are pseudocoelomates, not acoelomates.
- D. Platyhelminthes are acoelomates, not pseudocoelomates.
Thus, the correct answer is (1) A only. Quick Tip: True coelomates, such as annelids, have a true coelom, while pseudocoelomates (e.g., aschelminthes) have a body cavity that is not fully lined by mesoderm.
Match List I with List II:
Choose the correct answer from the options given below:
View Solution
- A. Diakinesis involves the completion of terminalisation of chiasmata (II).
- B. Pachytene is characterized by the appearance of recombination nodules (IV).
- C. Zygotene involves the formation of the synaptonemal complex (I).
- D. Leptotene is characterized by chromosomes appearing as thin threads (III).
Thus, the correct answer is
(2) A-II, B-IV, C-I, D-III. Quick Tip: Prophase I of meiosis consists of several sub-stages that prepare homologous chromosomes for crossing over and segregation.
Which of the following factors are favourable for the formation of oxyhaemoglobin in alveoli?
View Solution
Oxyhemoglobin forms more readily when oxygen levels are high (high pO2) and when the concentration of H+ ions is lower, as in the lungs, where the pH is relatively higher.
Thus, the correct answer is (1) High pO2 and Lesser H+ concentration. Quick Tip: Oxygen binds more effectively to hemoglobin in conditions of high pO2 and low H+ concentration.
In both sexes of cockroach, a pair of jointed filamentous structures called anal cerci are present on:
View Solution
In cockroaches, the anal cerci are a pair of jointed, filamentous structures that are located on the 10th segment of the abdomen. These cerci are sensory organs that help the cockroach detect air currents and vibrations.
Thus, the correct answer is (1) 10th segment. Quick Tip: The anal cerci in cockroaches are used for sensory perception, helping detect environmental changes.
Match List I with List II:
Choose the correct answer from the options given below:
View Solution
- A. Pleurobrachia is a member of the phylum Ctenophora (II).
- B. Radula is found in organisms from the phylum Mollusca (I).
- C. Stomochord is a characteristic feature of organisms from the phylum Hemichordata (IV).
- D. Air bladder is found in fish from the phylum Osteichthyes (III).
Thus, the correct answer is (1) A-II, B-I, C-IV, D-III. Quick Tip: Pleurobrachia belongs to Ctenophora, the radula is a molluscan characteristic, the stomochord is present in Hemichordates, and air bladders are found in osteichthyes.
The “Ti plasmid” of Agrobacterium tumefaciens stands for:
View Solution
The Ti plasmid in Agrobacterium tumefaciens is responsible for inducing tumor formation in plants. It carries genes that integrate into the plant genome, causing uncontrolled growth and formation of tumors known as crown galls.
Thus, the correct answer is
(2) Tumor inducing plasmid. Quick Tip: The Ti plasmid is a crucial tool in plant genetic engineering, used for transferring genes into plant cells.
Given below are two statements: One is labelled as Assertion A and the other is labelled as Reason R:
Assertion A: The presence or absence of hymen is not a reliable indicator of virginity.
Reason R: The hymen is torn during the first coitus only.
In the light of the above statements, choose the correct answer from the options given below:
View Solution
- Assertion A is true because the hymen can stretch, tear, or remain intact for reasons unrelated to sexual activity.
- Reason R is false because the hymen can be torn or stretched due to various activities, not only during coitus.
Thus, the correct answer is
(2) Statement I is true but Statement II is false. Quick Tip: The hymen is not a reliable indicator of virginity since it can be torn or stretched for various reasons other than sexual intercourse.
The following diagram shows restriction sites in E. coli cloning vector pBR322. Find the role of ‘X’ and ‘Y’ genes:
View Solution
The vector pBR322 contains the X and Y genes.
- Gene X regulates the copy number of the plasmid DNA.
- Gene Y encodes a protein involved in the replication of the plasmid. This ensures that the plasmid can replicate inside the host cell.
Thus, the correct answer is (1) The gene ‘X’ is responsible for controlling the copy number of the linked DNA and ‘Y’ for protein involved in the replication of Plasmid. Quick Tip: In plasmid vectors like pBR322, genes involved in replication control the number of copies of the plasmid within the host cell.
Which of the following is not a natural/traditional contraceptive method?
View Solution
- Periodic abstinence, Lactational amenorrhea, and Coitus interruptus are all traditional methods of contraception.
- Vaults refer to a modern contraceptive method involving the insertion of a device and are not considered a natural or traditional method.
Thus, the correct answer is
(3) Vaults. Quick Tip: Natural contraceptive methods rely on natural cycles or behavioral strategies, while vaults are a modern, medical contraceptive option.
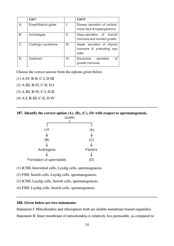
Match List I with List II:
Choose the correct answer from the options given below:
View Solution
- A. Exophthalmic goiter is caused by hyper secretion of thyroid hormone (III).
- B. Acromegaly is caused by excessive secretion of growth hormone (IV).
- C. Cushing’s syndrome is caused by excess secretion of cortisol, moon face, and hyperglycemia (I).
- D. Cretinism is caused by hypo-secretion of thyroid hormone and stunted growth (II).
Thus, the correct answer is
(3) A-III, B-IV, C-I, D-II. Quick Tip: Endocrine disorders like Cushing’s syndrome and acromegaly are caused by excessive hormone secretion, while cretinism is due to undersecretion of thyroid hormone.
Identify the correct option (A), (B), (C), (D) with respect to spermatogenesis.
View Solution
- FSH (Follicle-stimulating hormone) acts on the Sertoli cells to promote spermatogenesis (the production of sperm).
- Leydig cells are responsible for producing testosterone, which supports the process of spermatogenesis.
- Spermiogenesis is the final stage of spermatogenesis where spermatids mature into sperm.
Thus, the correct answer is
(4) FSH, Leydig cells, Sertoli cells, spermiogenesis. Quick Tip: FSH stimulates Sertoli cells in the seminiferous tubules to support spermatogenesis, while Leydig cells produce testosterone.
Given below are two statements:
Statement I: Mitochondria and chloroplasts both are double-membrane bound organelles.
Statement II: Inner membrane of mitochondria is relatively less permeable, as compared to chloroplast.
In the light of the above statements, choose the most appropriate answer from the options given below:
View Solution
- Statement I is correct: Both mitochondria and chloroplasts are double-membrane bound organelles, characteristic of eukaryotic cells.
- Statement II is incorrect: The inner membrane of the mitochondria is highly impermeable, whereas the inner membrane of the chloroplast is permeable to some molecules due to the presence of specific transporters.
Thus, the correct answer is
(2) Statement I is correct but Statement II is incorrect. Quick Tip: Mitochondria and chloroplasts are similar in structure, with double membranes, but their inner membranes have different permeability characteristics.
Given below are two statements:
Statement I: Gause's competitive exclusion principle states that two closely related species competing for different resources cannot exist indefinitely.
Statement II: According to Gause's principle, during competition, the inferior will be eliminated. This may be true if resources are limiting.
In the light of the above statements, choose the correct answer from the options given below:
View Solution
- Statement I is false because Gause's competitive exclusion principle states that two species competing for the same resources cannot coexist indefinitely. It is not about different resources.
- Statement II is true: In cases of competition for limiting resources, one species may outcompete the other, leading to the elimination of the inferior competitor.
Thus, the correct answer is
(3) Statement I is false but Statement II is true. Quick Tip: Gause's competitive exclusion principle emphasizes that species competing for the same resources cannot coexist for long if resources are limiting.
Regarding catalytic cycle of an enzyme action, select the correct sequential steps:
A. Substrate-enzyme complex formation.
B. Free enzyme ready to bind with another substrate.
C. Release of products.
D. Chemical bonds of the substrate broken.
E. Substrate binding to active site.
Choose the correct answer from the options given below:
View Solution
- E. Substrate binding to the active site occurs first.
- A. Substrate-enzyme complex formation follows after the substrate binds to the active site.
- D. Chemical bonds of the substrate are broken, leading to the formation of products.
- C. Release of products occurs next.
- B. Free enzyme is ready to bind with another substrate to complete the cycle.
Thus, the correct answer is
(4) E, A, D, C, B. Quick Tip: The catalytic cycle involves the enzyme-substrate complex formation, substrate breakdown, product release, and enzyme resetting for the next cycle.
Match List I with List II:
Choose the correct answer from the options given below:
View Solution
- A. P wave corresponds to the depolarisation of the atria (III).
- B. QRS complex corresponds to the depolarisation of the ventricles (II).
- C. T wave corresponds to the repolarisation of the ventricles (IV).
- D. T-P gap represents a period when heart muscles are electrically silent (I).
Thus, the correct answer is (1) A-III, B-II, C-IV, D-I. Quick Tip: Understanding the P wave, QRS complex, and T wave is crucial for interpreting the electrical activity of the heart.
Match List I with List II:
Choose the correct answer from the options given below:
View Solution
- A. RNA polymerase III synthesizes snRNAs and tRNA (IV).
- B. Termination of transcription involves the Rho factor (III).
- C. Splicing of exons is facilitated by snRNPs (I).
- D. TATA box is involved in the initiation of transcription and serves as a promoter region (II).
Thus, the correct answer is
(3) A-IV, B-III, C-I, D-II. Quick Tip: The TATA box and RNA polymerase are essential in the initiation of transcription, while snRNPs play a role in splicing.
Given below are two statements:
Statement I: The cerebral hemispheres are connected by a nerve tract known as corpus callosum.
Statement II: The brain stem consists of the medulla oblongata, pons and cerebrum.
In the light of the above statements, choose the most appropriate answer from the options given below:
View Solution
- Statement I is correct: The corpus callosum connects the left and right cerebral hemispheres.
- Statement II is incorrect: The brain stem consists of the medulla oblongata, pons, and midbrain, not the cerebrum.
Thus, the correct answer is
(2) Statement I is correct but Statement II is incorrect. Quick Tip: The brain stem does not include the cerebrum; it is composed of the medulla oblongata, pons, and midbrain.
Match List I with List II related to digestive system of cockroach:
Choose the correct answer from the options given below:
View Solution
- A. Crop is responsible for storing food (IV).
- B. Gastric Caeca are responsible for aiding digestion in the foregut-midgut junction (II).
- C. Malpighian tubules are responsible for excretion in the cockroach (III).
- D. Gizzard is used for grinding food (I).
Thus, the correct answer is
(4) A-IV, B-II, C-III, D-I. Quick Tip: In cockroaches, the digestive system includes specialized structures like the crop for storage and the gizzard for grinding food.
Match List I with List II:
Choose the correct answer from the options given below:
View Solution
- A. Mesozoic Era was dominated by birds and reptiles (III).
- B. Proterozoic Era featured lower invertebrates (I).
- C. Cenozoic Era is known for the dominance of mammals (IV).
- D. Paleozoic Era was characterized by fish and amphibians (II).
Thus, the correct answer is
(3) A-III, B-I, C-IV, D-II. Quick Tip: The geologic eras are marked by distinct groups of organisms, with mammals dominating the Cenozoic era, and fish and amphibians in the Paleozoic.
Given below are two statements:
Statement I: Bone marrow is the main lymphoid organ where all blood cells including lymphocytes are produced.
Statement II: Both bone marrow and thymus provide microenvironments for the development and maturation of T-lymphocytes.
In the light of the above statements, choose the most appropriate answer from the options given below:
View Solution
- Statement I is correct: The bone marrow is indeed the primary site where all blood cells, including lymphocytes, are produced.
- Statement II is correct: Both the bone marrow and thymus provide microenvironments for the development and maturation of T-lymphocytes, with the thymus being the primary site for T-cell maturation.
Thus, the correct answer is
(4) Both Statement I and Statement II are correct. Quick Tip: The bone marrow produces blood cells, including lymphocytes, while the thymus is key for T-lymphocyte maturation.
Match List I with List II:
Choose the correct answer from the options given below:
View Solution
- A. Unicellular glandular epithelium refers to Goblet cells of the alimentary canal (III).
- B. Compound epithelium is found in the moist surface of the buccal cavity (IV).
- C. Multicellular glandular epithelium includes salivary glands (I).
- D. Endocrine glandular epithelium is found in the pancreas (II).
Thus, the correct answer is
(2) A-III, B-IV, C-I, D-II. Quick Tip: Unicellular glands like goblet cells are found in the alimentary canal, while multicellular glands include salivary and endocrine glands like the pancreas.
Choose the correct statement given below regarding juxta medullary nephron:
View Solution
- Statement 1 is incorrect because the renal corpuscle of juxta medullary nephrons lies in the cortex, not the outer portion of the renal medulla.
- Statement 2 is correct: The Loop of Henle of juxta medullary nephrons extends deep into the medulla, which helps in water conservation.
- Statement 3 is incorrect because cortical nephrons outnumber juxta medullary nephrons.
- Statement 4 is incorrect because juxta medullary nephrons are not located in the columns of Bertini.
Thus, the correct answer is
(2) Loop of Henle of juxta medullary nephron runs deep into medulla. Quick Tip: Juxta medullary nephrons have long loops of Henle that extend into the medulla, crucial for water reabsorption and urine concentration.
As per ABO blood grouping system, the blood group of father is B+, mother is A+ and child is O+. Their respective genotype can be:
View Solution
- Father (B+) must have the genotype IBi because he passed the O allele to the child.
- Mother (A+) must have the genotype IAi because she passed the O allele to the child.
- The child's genotype must be ii, as they inherited the O allele from both parents.
Thus, the correct answer is
(4) A only. Quick Tip: For O+ blood group, both parents must carry an O allele (genotype IAi or IBi).
The following are the statements about non-chordates:
A. Pharynx is perforated by gill slits.
B. Notochord is absent.
C. Central nervous system is dorsal.
D. Heart is dorsal if present.
E. Post anal tail is absent.
Choose the most appropriate answer from the options given below:
View Solution
- Statement A is incorrect because pharyngeal gill slits are not found in all non-chordates, but only in chordates.
- Statement B is correct: Non-chordates lack a notochord.
- Statement C is correct: In non-chordates, the central nervous system is dorsal.
- Statement D is correct: In many non-chordates, the heart, if present, is dorsal.
- Statement E is correct: Many non-chordates lack a post-anal tail.
Thus, the correct answer is
(2) B, D \& E only. Quick Tip: Non-chordates lack a notochord, have a dorsal nervous system, and may have a dorsal heart.
NEET Previous Year Question Papers with Answer Keys
| NEET 2023 Question Papers | NEET 2022 Question Papers | NEET 2021 Question Papers |
| NEET 2020 Question Papers | NEET 2019 Question Papers | NEET 2018 Question Papers |



.png?h=35&w=35&mode=stretch)



Comments