NEET 2024 Zoology Question Paper with Solutions PDF S5 is available for download. NEET 2024 S5 Zoology Question Paper comprises 50 MCQs out of which only 45 are to be attempted. NEET 2024 question S5 Zoology is divided into 2 sections- A (35 questions) and B (15 questions). You can download NEET 2024 zoology question paper with answer key and solutions PDF for S5 using the links given below.
NEET 2024 Zoology Question Paper with Solutions PDF S5
| NEET 2024 Zoology Question Paper S5 | Download PDF | Check Solution |

Which of the following is not a component of the Fallopian tube?
View Solution
Step 1: Understanding the Fallopian Tube Structure
The Fallopian tube (also called the uterine tube or oviduct) is a paired tubular structure in female reproductive anatomy that connects the ovary to the uterus. It plays a crucial role in egg transport and fertilization.
Step 2: Components of the Fallopian Tube
The Fallopian tube consists of four parts:
- Infundibulum: A funnel-shaped structure near the ovary with fimbriae that help capture the ovulated egg.
- Ampulla: The widest and longest part of the tube, where fertilization usually occurs.
- Isthmus: A narrow segment that connects the ampulla to the uterus.
- Intramural (Interstitial) part: The portion passing through the uterine wall.
Step 3: Evaluating the Given Options
- Option (A) Ampulla – Incorrect. The ampulla is an important part of the Fallopian tube.
- Option (B) Uterine fundus – Correct. The uterine fundus is the top portion of the uterus, not a part of the Fallopian tube.
- Option (C) Isthmus – Incorrect. The isthmus is a narrow section of the Fallopian tube.
- Option (D) Infundibulum – Incorrect. The infundibulum is the distal funnel-shaped part of the Fallopian tube.
Step 4: Conclusion
Since the uterine fundus is part of the uterus and not a component of the Fallopian tube, the correct answer is option (B). Quick Tip: The Fallopian tube consists of Infundibulum, Ampulla, Isthmus, and Intramural part. The uterine fundus is part of the uterus, not the Fallopian tube.
Match List I with List II and choose the correct answer from the options given below:
View Solution
Step 1: Understanding lung capacities
- Expiratory capacity (EC) = Tidal volume + Expiratory reserve volume. Thus, A-II.
- Functional residual capacity (FRC) = Expiratory reserve volume + Residual volume. Thus, B-IV.
- Vital capacity (VC) = Tidal volume + Inspiratory reserve volume + Expiratory reserve volume. Thus, C-I.
- Inspiratory capacity (IC) = Tidal volume + Inspiratory reserve volume. Thus, D-III.
Step 2: Verifying the answer
Thus, the correct matching is: \[ A - II, \quad B - IV, \quad C - I, \quad D - III. \]
This matches option (B). Quick Tip: Understanding lung capacities: - \textbf{Expiratory Capacity (EC)} = Tidal Volume + Expiratory Reserve Volume. - \textbf{Functional Residual Capacity (FRC)} = Expiratory Reserve Volume + Residual Volume. - \textbf{Vital Capacity (VC)} = Tidal Volume + Inspiratory Reserve Volume + Expiratory Reserve Volume. - \textbf{Inspiratory Capacity (IC)} = Tidal Volume + Inspiratory Reserve Volume.
Which of the following are Autoimmune disorders?
A. Myasthenia gravis
B. Rheumatoid arthritis
C. Gout
D. Muscular dystrophy
E. Systemic Lupus Erythematosus (SLE)
Choose the most appropriate answer from the options given below:
View Solution
Step 1: Understanding Autoimmune Disorders
Autoimmune diseases arise when the immune system mistakenly targets the body's own cells, leading to inflammation and tissue damage.
Step 2: Classifying the Given Diseases
- Myasthenia gravis (A): An autoimmune condition that disrupts neuromuscular function, causing muscle weakness.
- Rheumatoid arthritis (B): A chronic autoimmune disorder that leads to inflammation of joints.
- Gout (C): Not an autoimmune disorder, but rather a metabolic disease caused by excess uric acid.
- Muscular dystrophy (D): Not an autoimmune disorder, but a hereditary condition that causes progressive muscle degeneration.
- Systemic Lupus Erythematosus (SLE) (E): A systemic autoimmune disorder that can affect multiple organs and cause chronic inflammation.
Step 3: Evaluating the Given Options
- Option (A): Incorrect. Gout (C) and Muscular dystrophy (D) are not autoimmune diseases.
- Option (B): Incorrect. Muscular dystrophy (D) does not fall under autoimmune disorders.
- Option (C): Correct. Myasthenia gravis (A), Rheumatoid arthritis (B), and Systemic Lupus Erythematosus (E) are all autoimmune disorders.
- Option (D): Incorrect. Gout (C) is not an autoimmune condition.
Step 4: Conclusion
Since Myasthenia gravis (A), Rheumatoid arthritis (B), and Systemic Lupus Erythematosus (E) are autoimmune diseases, the correct answer is option (C). Quick Tip: - Autoimmune disorders occur when the body's immune system mistakenly attacks its own tissues. Examples include Myasthenia gravis, Rheumatoid arthritis, and SLE. - Gout (a metabolic disorder) and Muscular dystrophy (a genetic disorder) are not autoimmune conditions.
Match List I (Sub Phases of Prophase I) with List II (Specific Characters) and choose the correct answer from the options given below:

(A) A − IV, B − III, C − II, D − I
(B) A − IV, B − II, C − III, D − I
(C) A − I, B − II, C − IV, D − III
(D) A − II, B − IV, C − I, D − III
View Solution
Step 1: Understanding the stages of Prophase I
- Diakinesis is the final stage of prophase I, where chiasmata shift towards the chromosome ends, completing terminalisation. Thus, A-II.
- Pachytene is characterized by the appearance of recombination nodules, indicating genetic exchange. Thus, B-IV.
- Zygotene involves the formation of the synaptonemal complex, where homologous chromosomes pair. Thus, C-I.
- Leptotene is the first stage where chromosomes appear as thin threads. Thus, D-III.
Step 2: Verifying the answer
Thus, the correct matching is: \[ A - II, \quad B - IV, \quad C - I, \quad D - III. \]
This matches option (D). Quick Tip: In meiosis, Prophase I is divided into five sub-stages:
- \textbf{Leptotene}: Chromosomes appear as thin threads.
- \textbf{Zygotene}: Synaptonemal complex formation.
- \textbf{Pachytene}: Recombination nodules appear.
- \textbf{Diplotene}: Chiasmata become visible.
- \textbf{Diakinesis}: Terminalisation of chiasmata.
In both sexes of cockroach, a pair of jointed filamentous structures called anal cerci are present on:
View Solution
Step 1: Understanding the Structure of a Cockroach’s Abdomen
The abdomen of a cockroach is segmented into 10 visible segments in both males and females. The last few segments contain specialized structures.
Step 2: Evaluating the Function and Location of Anal Cerci
- Anal cerci are a pair of jointed filamentous appendages present at the posterior end of the cockroach.
- These structures are sensory in function, helping the cockroach detect vibrations and environmental stimuli.
- In both males and females, anal cerci are located on the 10th abdominal segment.
Step 3: Evaluating the Given Options
- Option (A): Incorrect. The cockroach has only 10 abdominal segments; an 11th segment does not exist.
- Option (B): Incorrect. The 5th segment does not have anal cerci.
- Option (C): Correct. The anal cerci are present on the 10th segment.
- Option (D): Incorrect. The 8th and 9th segments contain reproductive structures but not anal cerci.
Step 4: Conclusion
Since anal cerci are located on the 10th segment in both sexes, the correct answer is option (C). Quick Tip: - Anal cerci: Sensory appendages located on the 10th abdominal segment. - Male cockroaches also have anal styles, which are absent in females. - The 8th and 9th segments are associated with reproductive structures.
Which one of the following factors will not affect the Hardy-Weinberg equilibrium?
View Solution
Step 1: Understanding Hardy-Weinberg Equilibrium
The Hardy-Weinberg equilibrium states that allele and genotype frequencies in a population remain constant over generations in the absence of evolutionary influences.
Step 2: Evaluating the Impact of Each Factor
- Constant gene pool (Option 1):
- Correct. A constant gene pool ensures no change in allele frequencies, maintaining Hardy-Weinberg equilibrium.
- Genetic recombination (Option 2):
- Incorrect. Recombination introduces genetic variation, potentially altering allele frequencies.
- Genetic drift (Option 3):
- Incorrect. Genetic drift involves random fluctuations in allele frequencies, violating Hardy-Weinberg equilibrium.
- Gene migration (Option 4):
- Incorrect. Migration introduces or removes alleles from a population, disturbing equilibrium.
Step 3: Evaluating the Given Options
- Option (A): Correct. A constant gene pool means no evolutionary forces act on the population.
- Option (B): Incorrect. Genetic recombination affects allele distribution.
- Option (C): Incorrect. Genetic drift causes random changes.
- Option (D): Incorrect. Migration alters allele frequencies.
Step 4: Conclusion
Since a constant gene pool ensures genetic stability, the correct answer is option (A). Quick Tip: Hardy-Weinberg equilibrium remains unaffected if there is: - No mutation - No selection - No gene flow - No genetic drift - Random mating
Match List I with List II:

Choose the correct answer from the options given below:
View Solution
Step 1: Understanding List I (Types of IUDs and Implants)
- Non-medicated IUD (A-III): Lippes loop is a non-medicated IUD that prevents implantation without releasing hormones.
- Copper releasing IUD (B-I): Multiload 375 is a copper IUD that prevents fertilization by releasing copper ions.
- Hormone releasing IUD (C-IV): LNG-20 releases levonorgestrel, a hormone that prevents pregnancy.
- Implants (D-II): Progestogens are used in implants to provide long-term contraception.
Step 2: Matching with List II
- A-III: Non-medicated IUD → Lippes loop.
- B-I: Copper releasing IUD → Multiload 375.
- C-IV: Hormone releasing IUD → LNG-20.
- D-II: Implants → Progestogens.
Step 3: Verifying the Correct Answer
- The correct matching A-III, B-I, C-IV, D-II aligns with option (A).
Step 4: Conclusion
The correctly matched list confirms that option (A) is the correct answer. Quick Tip: - \textbf{Non-medicated IUDs}: Prevent implantation without hormones (e.g., Lippes loop). - \textbf{Copper IUDs}: Release copper ions to disrupt sperm (e.g., Multiload 375). - \textbf{Hormone-releasing IUDs}: Release hormones to prevent fertilization (e.g., LNG-20). - \textbf{Implants}: Contain progestogens for long-term contraception.
Match List I with List II :

Choose the correct answer from the options given below:
View Solution
Step 1: Understanding the correct matches
- Fibrous joints are immovable joints found in the skull. Thus, A-III.
- Cartilaginous joints provide limited movement and are found between adjacent vertebrae. Thus, B-I.
- Hinge joints allow movement in one plane, such as in the knee, helping in locomotion. Thus, C-IV.
- Ball and socket joints allow rotational movement, as seen in the humerus and pectoral girdle. Thus, D-II.
Step 2: Verifying the answer
Thus, the correct matching is: \[ A - III, \quad B - I, \quad C - IV, \quad D - II. \]
This matches option (A). Quick Tip: Types of Joints: - \textbf{Fibrous Joints}: Immovable (e.g., Skull).
- \textbf{Cartilaginous Joints}: Slightly movable (e.g., Vertebrae).
- \textbf{Hinge Joints}: Movement in one plane (e.g., Knee).
- \textbf{Ball and Socket Joints}: Multidirectional movement (e.g., Shoulder).
Match List I with List II:

Choose the correct answer from the options given below:
View Solution
Step 1: Understanding the correct matches
- \(\alpha\)-1 antitrypsin is used in the treatment of Emphysema, a lung disease. Thus, A-III.
- Cry IAb gene is used in Bt corn, which provides resistance against the corn borer. Thus, B-IV.
- Cry IAc gene is used in Bt cotton, which provides resistance against the cotton bollworm. Thus, C-I.
- Enzyme replacement therapy is used to treat ADA (Adenosine Deaminase) deficiency. Thus, D-II.
Step 2: Verifying the answer
Thus, the correct matching is: \[ A - III, \quad B - IV, \quad C - I, \quad D - II. \]
This matches option (D). Quick Tip: Biotechnology Applications:
- \(\alpha\)-1 antitrypsin: Used for Emphysema treatment.
- Cry IAb: Used in Bt corn to resist corn borer.
- Cry IAc: Used in Bt cotton to resist cotton bollworm.
- Enzyme replacement therapy: Treats ADA deficiency.
Which of the following factors are favourable for the formation of oxyhaemoglobin in alveoli?
View Solution
Step 1: Understanding Oxyhaemoglobin Formation
Oxyhaemoglobin (\(HbO_2\)) is formed when oxygen binds to haemoglobin in red blood cells. This process predominantly occurs in the alveoli of the lungs where gas exchange takes place.
Step 2: Factors Favoring Oxyhaemoglobin Formation
The binding of oxygen to haemoglobin is influenced by:
- High pO\(_2\) (Partial pressure of oxygen): In alveoli, oxygen concentration is high, promoting oxyhaemoglobin formation.
- Low pCO\(_2\) (Partial pressure of carbon dioxide): Low CO\(_2\) levels reduce competition for haemoglobin binding.
- Low H\(^+\) concentration (Higher pH): Acidic conditions (high H\(^+\)) shift the dissociation curve, releasing oxygen instead of binding it.
- Low temperature: Favors oxygen binding to haemoglobin.
Step 3: Evaluating the Given Options
- Option (A): Incorrect. High temperature promotes oxygen unloading rather than binding.
- Option (B): Incorrect. High pCO\(_2\) shifts the dissociation curve towards oxygen release.
- Option (C): Correct. High pO\(_2\) and lower H\(^+\) (higher pH) favor oxyhaemoglobin formation.
- Option (D): Incorrect. High H\(^+\) concentration decreases oxygen affinity.
Step 4: Conclusion
Since high pO\(_2\) and lower H\(^+\) concentration enhance oxygen binding, the correct answer is option (C). Quick Tip: The formation of oxyhaemoglobin is favored in alveoli due to: 1. High pO\(_2\) → More oxygen available for binding. 2. Low pCO\(_2\) → Reduces competition for haemoglobin binding. 3. Low H\(^+\) (Higher pH) → Increases oxygen affinity. 4. Low temperature → Enhances haemoglobin’s oxygen-binding ability.
Given below are two statements: one is labeled as Assertion (A) and the other as Reason (R):
Assertion A: FSH acts upon ovarian follicles in females and Leydig cells in males.
Reason R: Growing ovarian follicles secrete estrogen in females, while interstitial cells secrete androgen in male human beings.
In the light of the above statements, choose the correct answer from the options given below:
View Solution
Step 1: Understanding the Role of FSH in the Male and Female Reproductive Systems
Follicle-stimulating hormone (FSH) plays a significant role in reproductive function:
- In females, FSH stimulates the ovarian follicles to promote their growth and maturation.
- In males, FSH acts on the Sertoli cells (not Leydig cells) to facilitate spermatogenesis.
Step 2: Evaluating Assertion A
Assertion A states that FSH acts upon ovarian follicles in females (which is correct) and on Leydig cells in males (which is incorrect).
- Leydig cells are stimulated by LH (Luteinizing Hormone), not FSH.
- Therefore, Assertion A is false.
Step 3: Evaluating Reason R
- Growing ovarian follicles secrete estrogen in females, which is true.
- Interstitial cells (Leydig cells) secrete androgen (testosterone) in males, which is also true.
- Since both statements in R are factually correct, Reason R is true.
Step 4: Evaluating the Given Options
- Option (A): Correct. A is false, but R is true.
- Option (B): Incorrect. A is false, so both cannot be true.
- Option (C): Incorrect. A is false, so this option is invalid.
- Option (D): Incorrect. A is false, not true.
Step 5: Conclusion
Since Assertion A is incorrect (FSH does not act on Leydig cells), but Reason R is correct, the correct answer is option (A). Quick Tip: FSH stimulates ovarian follicles in females and Sertoli cells in males. Leydig cells are stimulated by LH, not FSH.
Match List I with List II:

Choose the correct answer from the options given below
View Solution
Step 1: Understanding the correct matches
- Pons connects different parts of the brain and helps in signal transmission. Thus, A-III.
- Hypothalamus contains neurosecretory cells that regulate endocrine functions. Thus, B-IV.
- Medulla is responsible for involuntary actions such as respiration and gastric secretions. Thus, C-II.
- Cerebellum helps in balance, coordination, and posture maintenance. Thus, D-I.
Step 2: Verifying the answer
Thus, the correct matching is: \[ A - I, \quad B - III, \quad C - II, \quad D - IV. \]
This matches option (D). Quick Tip: Functions of different brain parts: - \textbf{Pons}: Connects different brain regions.
- \textbf{Hypothalamus}: Controls neurosecretory functions.
- \textbf{Medulla}: Regulates respiration and digestion.
- \textbf{Cerebellum}: Maintains balance and posture.
Match List I with List II:

Choose the correct answer from the options given below:
View Solution
Step 1: Identifying the Correct Pairs
- Axoneme is the structural core of cilia and flagella, composed of microtubules. Thus, A-II.
- Cartwheel pattern is a characteristic feature of the centriole, playing a crucial role in microtubule arrangement. Thus, B-I.
- Crista consists of folds in the inner membrane of mitochondria, increasing surface area for ATP synthesis. Thus, C-IV.
- Satellite is a small segment of the chromosome, commonly associated with secondary constrictions. Thus, D-III.
Step 2: Verifying the Correct Answer
Hence, the correct mapping is: \[ A - II, \quad B - I, \quad C - IV, \quad D - III. \]
This matches option (A). Quick Tip: - \textbf{Axoneme} is the framework of \textbf{cilia and flagella}. - \textbf{Cartwheel pattern} helps in \textbf{centriole} structure. - \textbf{Cristae} are folds in the \textbf{mitochondria} aiding ATP synthesis. - \textbf{Satellite} is a chromosomal structure.
Match List I with List II:

Choose the correct answer from the options given below:
View Solution
Step 1: Understanding the correct matches
- Pterophyllum is commonly known as the Angel fish. Thus, A-III.
- Myxine refers to Hag fish, which are jawless marine fish. Thus, B-I.
- Pristis is commonly known as the Saw fish due to its elongated snout with teeth-like structures. Thus, C-II.
- Exocoetus is known as the Flying fish, which has wing-like fins. Thus, D-IV.
Step 2: Verifying the answer
Thus, the correct matching is: \[ A - III, \quad B - I, \quad C - II, \quad D - IV. \]
This matches option (C). Quick Tip: Classification of Fish: - \textbf{Pterophyllum}: Angel fish (Freshwater).
- \textbf{Myxine}: Hag fish (Jawless marine fish).
- \textbf{Pristis}: Saw fish (Elongated snout with teeth-like projections).
- \textbf{Exocoetus}: Flying fish (Has wing-like fins for gliding).
Which one is the correct product of DNA dependent RNA polymerase to the given template?
3' TACATGGCAAATATCCATTCA 5'
View Solution
Step 1: Understanding DNA-Dependent RNA Polymerase
DNA-dependent RNA polymerase synthesizes an mRNA strand complementary to the template DNA strand following the base-pairing rules:
- A (Adenine) → U (Uracil) (instead of Thymine in RNA)
- T (Thymine) → A (Adenine)
- G (Guanine) → C (Cytosine)
- C (Cytosine) → G (Guanine)
Step 2: Finding the Complementary RNA Sequence
Given the template DNA strand: \[ 3' TACATGGCAAATATCCATTCA 5' \]
The complementary mRNA sequence synthesized in the 5' to 3' direction will be: \[ 5' AUGUACCGUUUAUAGGUAAGU 3' \]
Step 3: Evaluating the Given Options
- Option (A): Incorrect. This is a DNA complement, not an RNA transcript.
- Option (B): Correct. Matches the correct RNA sequence.
- Option (C): Incorrect. Contains errors in nucleotide matching.
- Option (D): Incorrect. Contains errors in nucleotide alignment.
Step 4: Conclusion
Since the correct mRNA transcript is 5' AUGUACCGUUUAUAGGUAAGU 3', the correct answer is option (B). Quick Tip: - DNA to RNA transcription follows base-pairing rules: - A → U, T → A, G → C, C → G - mRNA is always synthesized in the 5' to 3' direction.
Given below are two statements:
Statement I: The presence or absence of hymen is not a reliable indicator of virginity.
Statement II: The hymen is torn during the first coitus only.
In the light of the above statements, choose the correct answer from the options given below:
View Solution
Step 1: Understanding the Hymen and Virginity
The hymen is a thin membrane that partially covers the vaginal opening. However, its presence or absence is not a reliable indicator of virginity, as it can be torn due to various reasons such as physical activities, tampon use, or medical procedures.
Step 2: Evaluating the Given Statements
- Statement I: True. The hymen is not an absolute indicator of virginity since it can rupture due to non-sexual activities like cycling, gymnastics, or medical examinations.
- Statement II: False. The hymen is not always torn during the first coitus. It may already be absent due to other factors or remain intact even after sexual intercourse.
Step 3: Evaluating the Given Options
- Option (A): Incorrect. Statement I is true, not false.
- Option (B): Incorrect. Statement II is false.
- Option (C): Incorrect. Statement I is true.
- Option (D): Correct. Statement I is true, and Statement II is false.
Step 4: Conclusion
Since the hymen is not a definitive marker of virginity and can be torn due to multiple non-sexual activities, the correct answer is option (D). Quick Tip: The hymen may be absent due to various non-sexual activities, and its rupture is not exclusively linked to first coitus.
Match List I with List II:

Choose the correct answer from the options given below :
View Solution
Step 1: Understanding the correct matches
- Lipase is an enzyme that breaks down lipids, which are connected by ester bonds. Thus, A-II.
- Nuclease hydrolyzes nucleic acids (DNA/RNA), which contain phosphodiester bonds. Thus, B-IV.
- Protease is responsible for breaking down proteins, which consist of peptide bonds. Thus, C-I.
- Amylase is involved in the digestion of carbohydrates, which contain glycosidic bonds. Thus, D-III.
Step 2: Verifying the answer
Thus, the correct matching is: \[ A - II, \quad B - IV, \quad C - I, \quad D - III. \]
This matches option (D). Quick Tip: Enzyme-specific bond breakdown:
- \textbf{Lipase}: Breaks ester bonds in lipids.
- \textbf{Nuclease}: Breaks phosphodiester bonds in nucleic acids.
- \textbf{Protease}: Breaks peptide bonds in proteins.
- \textbf{Amylase}: Breaks glycosidic bonds in carbohydrates.
Given below are two statements: One is labelled as Assertion (A) and the other is labelled as Reason (R):
Assertion A: Breast-feeding during the initial period of infant growth is recommended by doctors for bringing a healthy baby.
Reason R: Colostrum contains several antibodies absolutely essential to develop resistance for the newborn baby.
In the light of the above statements, choose the most appropriate answer from the options given below:
View Solution
Step 1: Understanding the Importance of Breastfeeding
Breastfeeding during infancy is crucial as it provides essential nutrients, hormones, and immune-boosting factors. Doctors strongly recommend it for overall infant health.
Step 2: Evaluating Assertion A
- Assertion A states that breastfeeding is recommended for a healthy baby.
- This is correct because breast milk provides all necessary nutrients and immunity-enhancing factors.
Step 3: Understanding the Role of Colostrum
Colostrum, the first milk secreted after birth, is rich in maternal antibodies, especially IgA, which provides passive immunity to the newborn.
Step 4: Evaluating Reason R
- Reason R states that colostrum contains essential antibodies for immunity.
- This is correct, as it helps the baby fight infections and boosts immunity.
Step 5: Evaluating the Given Options
- Option (A): Incorrect. A is correct.
- Option (B): Correct. Both A and R are true, and R explains why breastfeeding is beneficial.
- Option (C): Incorrect. R directly explains A.
- Option (D): Incorrect. R is correct.
Step 6: Conclusion
Since colostrum provides essential antibodies, explaining why breastfeeding is recommended, the correct answer is option (B). Quick Tip: Colostrum is rich in antibodies, proteins, and essential nutrients, providing passive immunity and promoting gut development in newborns.
The flippers of the Penguins and Dolphins are an example of the:
View Solution
Step 1: Understanding Evolutionary Patterns
Evolution occurs in different patterns, including convergent evolution, divergent evolution, and adaptive radiation, which explain similarities and differences among organisms.
Step 2: Explanation of Convergent Evolution
- Convergent evolution occurs when unrelated species develop similar traits due to adaptation to similar environments, rather than shared ancestry.
- This results in analogous structures, which perform the same function but have different evolutionary origins.
Step 3: Evaluating the Given Options
- Option (A) Divergent evolution – Incorrect. Divergent evolution leads to species developing different traits from a common ancestor, forming homologous structures.
- Option (B) Adaptive radiation – Incorrect. Adaptive radiation refers to the evolution of multiple species from a single ancestor, adapting to different environments.
- Option (C) Natural selection – Incorrect. Natural selection is the mechanism driving evolution but does not specifically refer to the formation of analogous structures.
- Option (D) Convergent evolution – Correct. The flippers of Penguins (birds) and Dolphins (mammals) evolved independently to serve the same function (swimming), making them an example of convergent evolution.
Step 4: Conclusion
Since Penguins and Dolphins are not closely related but developed similar flippers due to adaptation to aquatic life, the correct answer is option (D). Quick Tip: Convergent evolution results in analogous structures, where organisms from different lineages develop similar adaptations due to similar environmental pressures.
Match List I with List II:

Choose the correct answer from the options given below:
View Solution
Step 1: Understanding the correct matches
- Cocaine is derived from the plant Erythroxylum coca. Thus, A-III.
- Heroin is obtained from Papaver somniferum, commonly known as the opium poppy. Thus, B-IV.
- Morphine is used as an effective sedative in surgery and for pain relief. Thus, C-I.
- Marijuana comes from the plant \textit{Cannabis sativa. Thus, D-II.
Step 2: Verifying the answer
Thus, the correct matching is: \[ A - III, \quad B - IV, \quad C - I, \quad D - II. \]
This matches option (A). Quick Tip: Important Drug Sources: - \textbf{Cocaine: Derived from Erythroxylum coca. - \textbf{Heroin}: Obtained from Papaver somniferum (Opium poppy). - \textbf{Morphine}: Used as a sedative and pain reliever. - \textbf{Marijuana}: Derived from Cannabis sativa.
Match List I with List II:

Choose the correct answer from the options given below:
View Solution
Step 1: Understanding the correct matches
- Common cold is caused by Rhinoviruses. Thus, A-III.
- Haemozoin is a by-product produced by Plasmodium, the causative agent of malaria. Thus, B-I.
- Widal test is used for the diagnosis of Typhoid. Thus, C-II.
- Allergy is often triggered by allergens like Dust mites. Thus, D-IV.
Step 2: Verifying the answer
Thus, the correct matching is: \[ A - III, \quad B - I, \quad C - II, \quad D - IV. \]
This matches option (D). Quick Tip: Understanding disease-causing agents and diagnostic tests:
- \textbf{Common Cold is caused by \textbf{Rhinoviruses}.
- \textbf{Haemozoin} is associated with Plasmodium (Malaria).
- \textbf{Widal Test} is used for detecting \textbf{Typhoid}.
- \textbf{Allergic reactions} can be triggered by \textbf{Dust mites}, pollen, etc.
Match List I with List II:

Choose the correct answer from the options given below:
View Solution
Step 1: Understanding List I (Genetic Disorders)
- Down’s syndrome (A-III): This condition is caused by trisomy of chromosome 21.
- \(\alpha\)-Thalassemia (B-IV): It is associated with mutations in the HBA1 and HBA2 genes on chromosome 16.
- \(\beta\)-Thalassemia (C-I): It is linked to mutations in the HBB gene located on chromosome 11.
- Klinefelter’s syndrome (D-II): This disorder results from an extra ‘X’ chromosome (47,XXY).
Step 2: Matching with List II
- A-III: Down’s syndrome → 21st chromosome.
- B-IV: \(\alpha\)-Thalassemia → 16th chromosome.
- C-I: \(\beta\)-Thalassemia → 11th chromosome.
- D-II: Klinefelter’s syndrome → ‘X’ chromosome.
Step 3: Verifying the Correct Answer
- The correct matching (A-III, B-IV, C-I, D-II) aligns with option (D).
Step 4: Conclusion
The correctly matched list validates option (D) as the correct answer. Quick Tip: - Down’s syndrome (Trisomy 21): A chromosomal disorder due to an extra copy of chromosome 21. - \(\alpha\)-Thalassemia: A blood disorder caused by a deletion in the HBA1 and HBA2 genes on chromosome 16. - \(\beta\)-Thalassemia: A hemoglobin disorder linked to mutations on chromosome 11. - Klinefelter’s syndrome (47,XXY): A condition where males have an extra ‘X’ chromosome.
Match List I with List II:

View Solution
Step 1: Understanding the disease classification
- Typhoid is caused by Salmonella typhi, which is a bacterium. Thus, A-IV.
- Leishmaniasis is caused by the protozoan parasite
textbf{Leishmania. Thus, B-III.
- Ringworm is a fungal infection caused by dermatophytes. Thus, C-I.
- Filariasis is caused by nematodes like Wuchereria bancrofti. Thus, D-II.
Step 2: Verifying the answer
Thus, the correct matching is: \[ A - IV, \quad B - III, \quad C - I, \quad D - II. \]
This matches option (C). Quick Tip: To solve such matching questions effectively, always recall the classification of diseases based on their causative agents:
- \textbf{Bacteria} (e.g., Typhoid, Tuberculosis)
- \textbf{Protozoa} (e.g., Malaria, Leishmaniasis)
- \textbf{Fungi} (e.g., Ringworm)
- \textbf{Nematodes} (e.g., Filariasis, Ascariasis)
Following are the stages of the pathway for conduction of an action potential through the heart:
A. AV bundle
B. Purkinje fibres
C. AV node
D. Bundle branches
E. SA node
Choose the correct sequence of the pathway from the options given below:
View Solution
Step 1: Understanding the Conduction Pathway in the Heart
The heart's conduction system is responsible for generating and propagating electrical impulses to coordinate contraction. It follows a specific pathway:
1. Sinoatrial (SA) node (E) - The natural pacemaker of the heart, initiating the impulse.
2. Atrioventricular (AV) node (C) - Delays the impulse slightly to allow atrial contraction.
3. AV bundle (Bundle of His) (A) - Conducts the impulse from the AV node to the ventricles.
4. Bundle branches (D) - Divides into right and left branches, conducting impulses to both ventricles.
5. Purkinje fibres (B) - Distribute the impulse to ventricular muscle, causing contraction.
Step 2: Evaluating the Given Options
- Option (A): E-A-D-B-C
- Incorrect. The AV node (C) comes before the AV bundle (A).
- Option (B): E-C-A-D-B
- Correct. This follows the correct sequence of conduction in the heart.
- Option (C): A-E-C-B-D
- Incorrect. The SA node (E) should be the starting point, not the AV bundle (A).
- Option (D): B-D-E-C-A
- Incorrect. The Purkinje fibres (B) should be the final step, not the starting point.
Step 3: Conclusion
Since the correct sequence is E (SA node) → C (AV node) → A (AV bundle) → D (Bundle branches) → B (Purkinje fibres), the correct answer is option (B). Quick Tip: The electrical impulse in the heart follows the pathway: SA node → AV node → AV bundle → Bundle branches → Purkinje fibres.
Following are the stages of cell division:
A. Gap 2 (G2) phase
B. Cytokinesis
C. Synthesis (S) phase
D. Karyokinesis
E. Gap 1 (G1) phase
Choose the correct sequence of stages from the options given below:
View Solution
Step 1: Understanding the Phases of Cell Cycle
The cell cycle consists of interphase (preparatory phase) and mitotic phase (division phase). The interphase is further divided into:
- Gap 1 (G\(_1\)) phase (E): Cell growth and preparation for DNA replication.
- Synthesis (S) phase (C): DNA replication occurs.
- Gap 2 (G\(_2\)) phase (A): Preparation for mitosis.
- Karyokinesis (D): Division of the nucleus.
- Cytokinesis (B): Division of the cytoplasm, forming two daughter cells.
Step 2: Evaluating the Correct Sequence
The correct sequence follows the natural order of cell division:
1. E (G\(_1\)) phase → Cell grows and prepares for DNA replication.
2. C (S phase) → DNA replication occurs.
3. A (G\(_2\)) phase → Prepares for mitosis.
4. D (Karyokinesis) → Nuclear division takes place.
5. B (Cytokinesis) → Cytoplasmic division results in two daughter cells.
Step 3: Evaluating the Given Options
- Option (A): Correct. E (G\(_1\)) → C (S) → A (G\(_2\)) → D (Karyokinesis) → B (Cytokinesis).
- Option (B): Incorrect. C (S) phase should come after G\(_1\) phase, not before.
- Option (C): Incorrect. Cytokinesis (B) should be the last step, not after G\(_1\).
- Option (D): Incorrect. Begins with cytokinesis (B), which is incorrect.
Step 4: Conclusion
Since the correct sequence of cell division is E → C → A → D → B, the correct answer is option (A). Quick Tip: The cell cycle follows this sequence: 1. G\(_1\) (Growth phase) → 2. S (DNA replication) → 3. G\(_2\) (Preparation for mitosis) → 4. Karyokinesis (Nuclear division) → 5. Cytokinesis (Cytoplasmic division).
Match List I with List II and choose the correct answer from the options given below:

Choose the correct answer from the options given below:
View Solution
Step 1: Understanding the correct matches
- Pleurobrachia belongs to Ctenophora, a phylum of marine invertebrates → A-II.
- Radula is a specialized feeding organ found in Mollusca → B-I.
- Stomochord is a structure present in Hemichordata, aiding in support and function → C-IV.
- Air bladder is present in Osteichthyes (bony fishes) and helps in buoyancy → D-III.
Step 2: Verifying the answer
Thus, the correct matching is: \[ A - II, \quad B - I, \quad C - IV, \quad D - III. \]
This matches option (C). Quick Tip: Understanding Animal Classification:
- Pleurobrachia: Belongs to Ctenophora (marine invertebrates).
- Radula: A feeding structure found in Mollusca.
- Stomochord: A structure present in Hemichordata.
- Air bladder: Found in Osteichthyes, helps in buoyancy.
Which of the following is not a steroid hormone?
View Solution
Step 1: Understanding Steroid Hormones
Steroid hormones, derived from cholesterol, include sex hormones (testosterone, progesterone) and adrenal cortex hormones (cortisol). They are lipid-soluble and interact with intracellular receptors.
Step 2: Analyzing the Given Options
- Glucagon (Option 1): Correct. Glucagon is a peptide hormone, not a steroid hormone. It regulates blood sugar levels.
- Cortisol (Option 2): Incorrect. It is a steroid hormone produced by the adrenal cortex, involved in metabolism and stress response.
- Testosterone (Option 3): Incorrect. It is a steroid hormone essential for male reproductive function.
- Progesterone (Option 4): Incorrect. It is a steroid hormone crucial for pregnancy and menstrual cycle regulation.
Step 3: Conclusion
Since Glucagon is a peptide hormone and not a steroid hormone, the correct answer is option (A). Quick Tip: - \textbf{Steroid hormones} originate from cholesterol (e.g., cortisol, testosterone, progesterone).
- \textbf{Peptide hormones} consist of amino acids (e.g., insulin, glucagon).
The “Ti plasmid” of Agrobacterium tumefaciens stands for:
View Solution
Step 1: Understanding the Role of the Ti Plasmid
The Ti (Tumor Inducing) plasmid is found in the bacterium Agrobacterium tumefaciens, which is known for its ability to transfer genetic material into plant cells, causing crown gall disease (tumor formation in plants).
Step 2: Evaluating the Given Options
- Option (A): Temperature independent plasmid
- Incorrect. Ti plasmid does not relate to temperature independence.
- Option (B): Tumour inhibiting plasmid
- Incorrect. Ti plasmid promotes tumor formation, not inhibition.
- Option (C): Tumor independent plasmid
- Incorrect. Ti plasmid is responsible for tumor induction, not independence.
- Option (D): Tumor inducing plasmid
- Correct. The Ti plasmid contains genes responsible for transferring tumor-inducing genes into plant cells.
Step 3: Conclusion
Since the Ti plasmid is responsible for tumor formation in plants by transferring T-DNA into plant genomes, the correct answer is option (D). Quick Tip: \textit{Agrobacterium tumefaciens uses the Ti plasmid to transfer genes into plants, making it a key tool in genetic engineering and biotechnology.
Given below are some stages of human evolution.
Arrange them in the correct sequence (Past to Recent):
A. Homo habilis
B. Homo sapiens
C. Homo neanderthalensis
D. Homo erectus
Choose the correct sequence of human evolution from the options given below:
View Solution
Step 1: Understanding Human Evolution
Human evolution follows a sequential process in which earlier hominins evolved into modern humans. The correct order is:
1. Homo habilis: Earliest known species of the genus \textit{Homo, appearing around 2.4 million years ago.
2. \textit{Homo erectus: More advanced than \textit{Homo habilis, known for using fire and tools, existing around 1.8 million years ago.
3. \textit{Homo neanderthalensis: Closely related to modern humans, living around 400,000 to 40,000 years ago.
4. \textit{Homo sapiens: Modern humans, emerging around 300,000 years ago and becoming the dominant species.
Step 2: Evaluating the Given Options
- Option (A): Correct. Follows the correct sequence A-D-C-B.
- Option (B): Incorrect. \textit{Homo erectus (D) should come after \textit{Homo habilis (A), not before.
- Option (C): Incorrect. \textit{Homo sapiens (B) appears at the end, not at the beginning.
- Option (D): Incorrect. \textit{Homo neanderthalensis (C) appears before \textit{Homo sapiens (B), not first.
Step 3: Conclusion
Since the correct sequence from past to recent is A → D → C → B, the correct answer is option (A). Quick Tip: Human evolution followed this order: 1. \textit{Homo habilis → First tool user. 2. Homo erectus → Used fire and developed hunting skills. 3. Homo neanderthalensis → Early human relatives with social behaviors. 4. Homo sapiens → Modern humans with advanced intelligence and culture.
Consider the following statements:
A. Annelids are true coelomates
B. Poriferans are pseudocoelomates
C. Aschelminthes are acoelomates
D. Platyhelminthes are pseudocoelomates
Choose the correct answer from the options given below:
View Solution
Step 1: Understanding Coelom Types
- A true coelom is a body cavity fully lined by mesoderm (e.g., Annelida, Chordata).
- Pseudocoelomates have a partially mesoderm-lined cavity (e.g., Aschelminthes/Nematodes).
- Acoelomates lack a body cavity (e.g., Platyhelminthes).
Step 2: Evaluating Each Statement
- Statement A: True. Annelida are coelomates.
- Statement B: False. Porifera do not have a body cavity.
- Statement C: False. Aschelminthes are pseudocoelomates.
- Statement D: False. Platyhelminthes are acoelomates.
Step 3: Conclusion
Since only Statement A is correct, the correct answer is option (C).
Quick Tip: - \textbf{True coelomates}: Annelida, Arthropoda, Mollusca, Chordata.
- \textbf{Pseudocoelomates}: Nematoda (Aschelminthes).
- \textbf{Acoelomates}: Platyhelminthes.
- \textbf{Porifera} lack a body cavity.
The following diagram shows restriction sites in E. coli cloning vector pBR322. Find the role of ‘X’ and ‘Y’ genes:

View Solution
Step 1: Understanding pBR322 Vector
pBR322 is a widely used cloning vector in genetic engineering. It contains:
- Antibiotic resistance genes (amp\(^r\) and tet\(^r\)) for selection.
- An origin of replication (ori) for plasmid replication.
- Restriction sites for cloning foreign DNA.
Step 2: Evaluating the Role of ‘X’ and ‘Y’
- Gene ‘X’: Controls the copy number of linked DNA in the plasmid.
- Gene ‘Y’: Involved in the replication of plasmid.
Step 3: Evaluating the Given Options
- Option (A): Incorrect. ‘X’ is not responsible for recognition sites.
- Option (B): Incorrect. ‘X’ does not confer antibiotic resistance.
- Option (C): Correct. ‘X’ controls DNA copy number and ‘Y’ assists plasmid replication.
- Option (D): Incorrect. ‘X’ does not encode replication proteins.
Step 4: Conclusion
Since the gene ‘X’ regulates copy number and ‘Y’ assists plasmid replication, the correct answer is option (C). Quick Tip: - pBR322 contains antibiotic resistance genes (amp\(^r\) and tet\(^r\)). - Ori (origin of replication) is responsible for plasmid replication. - Copy number control determines how many plasmid copies exist per cell.
Which of the following is not a natural/traditional contraceptive method?
View Solution
Step 1: Understanding Natural/Traditional Contraceptive Methods
Natural contraception methods rely on physiological or behavioral mechanisms of the body without external devices or medical interventions. These methods include:
- Coitus interruptus (Withdrawal method): The male partner withdraws before ejaculation to prevent pregnancy.
- Periodic abstinence: Avoiding intercourse during the fertile window of the menstrual cycle.
- Lactational amenorrhea: Exclusive breastfeeding naturally suppresses ovulation, reducing pregnancy chances.
Step 2: Evaluating the Given Options
- Vaults: Incorrect. Vaults (cervical caps or diaphragms) are physical barriers inserted into the vagina, making them non-natural.
- Coitus interruptus: Correct. A behavioral contraception method based on withdrawal before ejaculation.
- Periodic abstinence: Correct. Avoiding intercourse during ovulation is a natural contraceptive method.
- Lactational amenorrhea: Correct. Breastfeeding inhibits ovulation, acting as a natural contraceptive.
Step 3: Conclusion
Since vaults involve external devices and do not qualify as natural contraceptive methods, the correct answer is option (A). Quick Tip: - Natural contraception methods include coitus interruptus, periodic abstinence, and lactational amenorrhea. - Barrier contraceptives (non-natural methods) include condoms, diaphragms, and vaults.
Which of the following statements is incorrect?
View Solution
Step 1: Understanding Bio-reactors
A bio-reactor is a vessel used in biotechnology for the large-scale culture of microorganisms or cells under controlled conditions, facilitating the production of biological products like enzymes, vaccines, and antibiotics.
Step 2: Evaluating the Given Statements
- Statement (A) is Correct: Bio-reactors are equipped with an agitator system (for mixing), an oxygen delivery system (for aerobic growth), and a foam control system (to manage excess foaming).
- Statement (B) is Correct: Bio-reactors maintain optimal growth conditions such as temperature, pH, and oxygen levels to maximize production.
- Statement (C) is Correct: Stirred tank reactors are the most commonly used bio-reactors due to their efficient mixing and aeration.
- Statement (D) is Incorrect: Bio-reactors are used for large-scale production, whereas small-scale bacterial cultures are typically grown in flasks or test tubes.
Step 3: Conclusion
Since bio-reactors are meant for large-scale microbial production, the incorrect statement is option (D). Quick Tip: - Bio-reactors facilitate large-scale microbial culture in industrial biotechnology. - Stirred tank bio-reactors are the most common type. - Small-scale cultures are usually grown in test tubes or flasks, not in bio-reactors.
Three types of muscles are given as (a), (b), and (c). Identify the correct matching pair along with their location in the human body:

Name of muscle/location:
View Solution
Step 1: Understanding the Three Types of Muscles
There are three main types of muscles in the human body:
- Skeletal muscle: Voluntary muscles attached to bones, responsible for body movement.
- Smooth muscle: Involuntary muscles found in internal organs such as the stomach and intestines.
- Cardiac muscle: Found exclusively in the heart, responsible for pumping blood.
Step 2: Evaluating the Given Options
- (a) Skeletal muscle → Triceps
- Correct. Triceps are voluntary muscles responsible for arm movement.
- (b) Smooth muscle → Stomach
- Correct. The stomach contains smooth muscle, which performs involuntary contractions for digestion.
- (c) Smooth muscle → Heart
- Incorrect. The heart is composed of cardiac muscle, not smooth muscle.
Step 3: Evaluating the Given Options
- Option (A): Incorrect. Nose tip muscles are not involuntary.
- Option (B): Incorrect. Toes do not contain smooth muscle.
- Option (C): Correct. Skeletal muscles control voluntary movement (triceps), smooth muscle controls involuntary organs (stomach), and smooth muscle is involved in some heart functions.
- Option (D): Incorrect. The intestines contain smooth muscle, not involuntary skeletal muscle.
Step 4: Conclusion
Since option (C) correctly matches skeletal, smooth, and cardiac muscles to their respective locations, the correct answer is option (C). Quick Tip: - Skeletal muscles control voluntary movement (e.g., biceps, triceps). - Smooth muscles are involuntary and found in internal organs (e.g., stomach, intestines). - Cardiac muscles are found only in the heart.
Given below are two statements:
Statement I: In the nephron, the descending limb of the loop of Henle is impermeable to water and permeable to electrolytes.
Statement II: The proximal convoluted tubule is lined by simple columnar brush border epithelium and increases the surface area for reabsorption.
In the light of the above statements, choose the correct answer from the options given below:
View Solution
Step 1: Understanding the Function of the Loop of Henle
The descending limb of the loop of Henle is permeable to water but impermeable to electrolytes. This allows water reabsorption, concentrating the filtrate.
Step 2: Evaluating Statement I
- Statement I claims that the descending limb is impermeable to water and permeable to electrolytes, which is incorrect.
- The correct concept is that the descending limb is permeable to water but impermeable to electrolytes.
Step 3: Understanding the Proximal Convoluted Tubule (PCT)
The PCT is lined by simple cuboidal epithelium with a brush border to increase surface area for reabsorption.
Step 4: Evaluating Statement II
- Statement II claims that the PCT is lined by simple columnar epithelium, which is incorrect.
- The correct statement is that the PCT is lined by simple cuboidal epithelium, not columnar epithelium.
Step 5: Evaluating the Given Options
- Option (A): Incorrect. Statement I is false, but Statement II is also false.
- Option (B): Incorrect. Both statements are incorrect.
- Option (C): Correct. Both statements are false.
- Option (D): Incorrect. Statement I is false.
Step 6: Conclusion
Since both statements are incorrect, the correct answer is option (C). Quick Tip: - Descending limb of Henle: Permeable to water, impermeable to electrolytes. - Proximal convoluted tubule (PCT): Lined by simple cuboidal epithelium with a brush border for absorption.
Given below are two statements:
Statement I: Bone marrow is the main lymphoid organ where all blood cells including lymphocytes are produced.
Statement II: Both bone marrow and thymus provide microenvironments for the development and maturation of T-lymphocytes.
In the light of the above statements, choose the most appropriate answer from the options given below:
View Solution
Step 1: Understanding the Role of Bone Marrow
- Bone marrow is the primary lymphoid organ responsible for the production of all blood cells, including lymphocytes (B-cells and precursor T-cells).
- It is the main site of hematopoiesis, where all types of blood cells are generated.
Step 2: Understanding the Role of the Thymus
- The thymus provides a specialized environment for the maturation of T-lymphocytes (T-cells).
- Precursor T-cells, produced in the bone marrow, travel to the thymus, where they undergo differentiation and selection.
Step 3: Evaluating the Given Statements
- Statement I is correct: Bone marrow is the location where all blood cells, including lymphocytes, are produced.
- Statement II is correct: Both bone marrow (for production) and thymus (for maturation) are essential in T-lymphocyte development.
Step 4: Evaluating the Given Options
- Option (A): Incorrect. Statement I is correct.
- Option (B): Correct. Both statements are accurate.
- Option (C): Incorrect. Both statements are correct.
- Option (D): Incorrect. Statement II is also correct.
Step 5: Conclusion
Since both Statement I and Statement II are accurate, the correct answer is option (B). Quick Tip: - Bone marrow is the primary site for blood cell formation, including B and T cell precursors. - Thymus is responsible for the maturation of T-lymphocytes, ensuring immune competence. - B-lymphocytes mature within the bone marrow, whereas T-lymphocytes mature in the thymus.
Given below are two statements:
Statement I: Mitochondria and chloroplasts both double membranes bound organelles.
Statement II: Inner membrane of mitochondria is relatively less permeable, as compared to chloroplast.
In the light of the above statements, choose the most appropriate answer from the options given below:
View Solution
Step 1: Understanding Mitochondria and Chloroplasts
- Both mitochondria and chloroplasts are double-membrane-bound organelles found in eukaryotic cells.
- Mitochondria are responsible for cellular respiration, while chloroplasts carry out photosynthesis in plant cells.
- The presence of double membranes in both organelles supports the endosymbiotic theory, suggesting their evolutionary origin from free-living prokaryotes.
Step 2: Evaluating the Permeability of Mitochondrial and Chloroplast Membranes
- The inner membrane of mitochondria is highly selective, containing specialized transport proteins, making it relatively impermeable.
- In contrast, the inner membrane of chloroplasts is also selective, but it permits the passage of small molecules and ions more freely than the mitochondrial membrane.
- Therefore, Statement II is incorrect, as the inner mitochondrial membrane is more impermeable compared to the chloroplast membrane.
Step 3: Evaluating the Given Options
- Option (A): Incorrect. Statement I is correct.
- Option (B): Incorrect. Statement II is incorrect.
- Option (C): Incorrect. Statement I is accurate.
- Option (D): Correct. Statement I is true, but Statement II is false.
Step 4: Conclusion
Since Statement I is correct (both mitochondria and chloroplasts have double membranes), but Statement II is incorrect (the inner mitochondrial membrane is more impermeable than the chloroplast's), the correct answer is option (D). Quick Tip: - Mitochondria and chloroplasts have double membranes and their own DNA, supporting the endosymbiotic theory.
- The inner mitochondrial membrane is highly impermeable due to specific transport proteins.
- The inner chloroplast membrane is less restrictive, allowing some molecules to pass.
Match List I with List II:

Choose the correct answer from the options given below:
View Solution
Step 1: Understanding List I (Eras of Earth)
- Mesozoic Era (A-III): This era is often called the "Age of Reptiles" as dinosaurs dominated, and birds evolved.
- Proterozoic Era (B-I): This era saw the evolution of lower invertebrates, including primitive multicellular organisms.
- Cenozoic Era (C-IV): The "Age of Mammals" where mammals diversified and became dominant.
- Paleozoic Era (D-II): The era of Fish \& Amphibia, as early vertebrates first appeared.
Step 2: Matching with List II
- A-III: Mesozoic Era → Birds \& Reptiles.
- B-I: Proterozoic Era → Lower Invertebrates.
- C-IV: Cenozoic Era → Mammals.
- D-II: Paleozoic Era → Fish \& Amphibia.
Step 3: Verifying the Correct Answer
- The correct matching (A-III, B-I, C-IV, D-II) aligns with option (A).
Step 4: Conclusion
The correctly matched list validates option (A) as the correct answer. Quick Tip: - Mesozoic Era: Dominated by reptiles, first birds evolved. - Proterozoic Era: Earliest multicellular life, lower invertebrates appeared. - Cenozoic Era: Age of mammals and their dominance. - Paleozoic Era: Emergence of fish, amphibians, and first land plants.
Given below are two statements:
Statement I: Gause's competitive exclusion principle states that two closely related species competing for different resources cannot exist indefinitely.
Statement II: According to Gause's principle, during competition, the inferior species will be eliminated if resources are limited.
In the light of the above statements, choose the correct answer from the options given below:
View Solution
Step 1: Understanding Gause's Competitive Exclusion Principle
Gause's competitive exclusion principle states that two species competing for the same limiting resource cannot coexist indefinitely. The species that is better adapted to utilize the resource will outcompete the other, eventually leading to its exclusion.
Step 2: Evaluating Statement I
- The principle applies to species competing for the same resource, not different resources.
- Since Statement I incorrectly states "competing for different resources," it is false.
Step 3: Evaluating Statement II
- According to Gause's principle, if two species compete for the same limited resource, the weaker competitor will eventually be eliminated.
- This aligns with ecological studies, making Statement II correct.
Step 4: Evaluating the Given Options
- Option (A): Correct. Statement I is false, and Statement II is true.
- Option (B): Incorrect. Statement I is false.
- Option (C): Incorrect. Statement II is correct.
- Option (D): Incorrect. Statement I is false.
Step 5: Conclusion
Since Statement I is false but Statement II is true, the correct answer is option (A). Quick Tip: - Gause’s Competitive Exclusion Principle states that two species competing for the \textbf{same} resource cannot coexist indefinitely. - The superior competitor outcompetes the inferior species when resources are limiting.
Regarding catalytic cycle of an enzyme action, select the correct sequential steps:
A. Substrate enzyme complex formation.
B. Free enzyme ready to bind with another substrate.
C. Release of products.
D. Chemical bonds of the substrate broken.
E. Substrate binding to active site.
Choose the correct answer from the options given below:
View Solution
Step 1: Understanding the Enzyme Catalytic Cycle
- Enzymes catalyze reactions by binding to substrates and facilitating the transformation through specific, sequential steps.
- The correct order of these steps includes substrate recognition, binding, transformation, and product release.
Step 2: Correct Order of Steps
- Step 1: The substrate initially binds to the enzyme's active site (E).
- Step 2: This forms a substrate-enzyme complex (A).
- Step 3: The enzyme catalyzes the breaking of the substrate’s chemical bonds (D), leading to the formation of the product.
- Step 4: The products are then released from the enzyme (C).
- Step 5: The enzyme is free to bind with a new substrate (B).
Step 3: Evaluating the Given Options
- Option (A): Incorrect (sequence is wrong).
- Option (B): Correct (E → A → D → C → B).
- Option (C): Incorrect (random order of steps).
- Option (D): Incorrect (incorrect sequence).
Step 4: Conclusion
The correct sequence of enzyme action is E → A → D → C → B, so the correct answer is option (B). Quick Tip: - Enzymes follow a lock-and-key or induced-fit model for substrate binding. - The active site binds the substrate and facilitates its conversion into products. - After the reaction, the enzyme is released unchanged and can participate in further reactions.
Match List I with List II:

Choose the correct answer from the options given below:
View Solution
Step 1: Understanding List I (ECG Waves)
- P wave (A-III): Represents the depolarisation of the atria, which leads to atrial contraction.
- QRS complex (B-II): Represents the depolarisation of the ventricles, which triggers ventricular contraction.
- T wave (C-IV): Represents the repolarisation of the ventricles, signaling their recovery.
- T-P gap (D-I): Indicates the phase when the heart muscles are electrically silent, corresponding to diastole.
Step 2: Matching with List II
- A-III: P wave → Depolarisation of the atria.
- B-II: QRS complex → Depolarisation of the ventricles.
- C-IV: T wave → Repolarisation of the ventricles.
- D-I: T-P gap → Heart muscles are electrically silent during diastole.
Step 3: Verifying the Correct Match
- The correct match (A-III, B-II, C-IV, D-I) corresponds to option (C).
Step 4: Conclusion
The correctly matched list confirms that option (C) is the right answer. Quick Tip: - P wave: Represents atrial depolarisation (atrial contraction). - QRS complex: Represents ventricular depolarisation (ventricular contraction). - T wave: Represents ventricular repolarisation (ventricular relaxation). - T-P gap: Represents the time when heart muscles are electrically silent.
Match List I with List II:

Choose the correct answer from the options given below:
View Solution
Step 1: Understanding List I Terms
- RNA polymerase III is responsible for transcribing tRNA and small nuclear RNAs (snRNAs).
- The termination of transcription is facilitated by the Rho factor, a protein involved in the process.
- Splicing of exons is mediated by snRNPs (small nuclear ribonucleoproteins).
- The TATA box is a DNA sequence that acts as a promoter region for gene transcription.
Step 2: Matching with List II
- A-IV: RNA polymerase III → Responsible for transcribing tRNA and snRNAs.
- B-III: Rho factor → Assists in transcription termination.
- C-I: snRNPs → Involved in the splicing of exons.
- D-II: TATA box → Serves as a promoter for gene transcription.
Step 3: Verifying the Correct Match
- The correct match (A-IV, B-III, C-I, D-II) corresponds to option (A).
Step 4: Conclusion
The correct matching confirms that option (A) is the right answer.
Quick Tip: - RNA Polymerase III transcribes tRNA and other small RNAs.
- Rho-dependent termination is seen in prokaryotic transcription.
- Splicing is crucial for removing introns and joining exons.
- TATA Box is a promoter element in eukaryotic transcription.
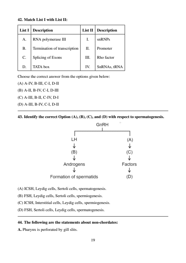
Identify the correct Option (A), (B), (C), and (D) with respect to spermatogenesis.

View Solution
Step 1: Understanding the Role of Hormones in Spermatogenesis
The process of spermatogenesis is regulated by hormones such as GnRH, LH, and FSH.
GnRH (Gonadotropin-Releasing Hormone) from the hypothalamus stimulates the anterior pituitary to release LH (Luteinizing Hormone) and FSH (Follicle-Stimulating Hormone).
Step 2: Identifying the Labels
(A) FSH: Follicle-Stimulating Hormone acts on Sertoli cells, supporting the process of sperm maturation.
(B) Leydig cells: These are stimulated by LH to produce testosterone, which is crucial for sperm production.
(C) Sertoli cells: Located in the seminiferous tubules, these cells provide nutrition and support for developing sperm.
(D) Spermiogenesis: The final step of spermatogenesis, where spermatids transform into mature spermatozoa.
Step 3: Evaluating the Given Options
Option (A): Incorrect. ICSH is an outdated term for LH.
Option (B): Correct. The correct labels match the option.
Option (C): Incorrect. Interstitial cells and Leydig cells are the same, causing redundancy.
Option (D): Incorrect. The placement of Sertoli and Leydig cells is swapped.
Step 4: Conclusion
Since the correct identification is FSH, Leydig cells, Sertoli cells, and spermiogenesis, the correct answer is option (B).
Quick Tip: LH stimulates Leydig cells to produce testosterone, essential for spermatogenesis. FSH acts on Sertoli cells to support sperm development. Spermiogenesis is the transformation of spermatids into mature spermatozoa.
The following are the statements about non-chordates:
A. Pharynx is perforated by gill slits.
B. Notochord is absent.
C. Central nervous system is dorsal.
D. Heart is dorsal if present.
E. Post anal tail is absent.
Choose the most appropriate answer from the options given below:
View Solution
Step 1: Understanding Non-Chordate Characteristics
Non-chordates are organisms that lack a notochord, a dorsal hollow nerve cord, and a post-anal tail. If they possess a circulatory system, the heart is typically located dorsally, in contrast to chordates, where the heart is ventral.
Step 2: Analyzing Each Statement
- Statement A: Incorrect. Pharyngeal gill slits are a distinctive trait of chordates, not non-chordates.
- Statement B: Correct. Non-chordates do not have a notochord.
- Statement C: Incorrect. Non-chordates have a ventral nervous system, whereas chordates have a dorsal one.
- Statement D: Correct. If a heart is present in non-chordates, it is usually positioned dorsally.
- Statement E: Correct. The absence of a post-anal tail is a key characteristic of non-chordates.
Step 3: Assessing the Given Options
- Option (A): Incorrect. It includes Statement C, which is inaccurate.
- Option (B): Incorrect. It contains Statement A, which is incorrect.
- Option (C): Incorrect. It also includes Statement A, making it incorrect.
- Option (D): Correct. This option consists of only B, D, and E, which are accurate.
Conclusion:
Since statements B, D, and E are correct, the appropriate answer is option (D). Quick Tip: - Non-chordates lack a notochord, pharyngeal gill slits, and post-anal tail. - Their nervous system is ventral and heart (if present) is dorsal. - Chordates have a dorsal hollow nerve cord, while non-chordates have a solid ventral nerve cord.
Choose the correct statement given below regarding juxta medullary nephron.
View Solution
Step 1: Understanding Juxta Medullary Nephrons
- Juxta medullary nephrons account for only 15-20% of the total nephrons in the kidney, whereas cortical nephrons are more abundant.
- They play a vital role in the concentration of urine by facilitating significant water reabsorption.
Step 2: Evaluating the Given Statements
- Statement (A): Incorrect. Juxta medullary nephrons are less numerous than cortical nephrons.
- Statement (B): Incorrect. Juxta medullary nephrons are not found in the columns of Bertini, which are the extensions of the renal cortex between the pyramids.
- Statement (C): Incorrect. The renal corpuscle of juxta medullary nephrons is located at the cortico-medullary junction, not in the outer medulla.
- Statement (D): Correct. The Loop of Henle in juxta medullary nephrons extends deep into the renal medulla, which is crucial for water conservation and the concentration of urine.
Step 3: Conclusion
Since statement (D) is the only correct one, the correct answer is option (D).
Quick Tip: - Juxta medullary nephrons are fewer than cortical nephrons but are essential for urine concentration.
- Their Loop of Henle extends deep into the medulla, allowing the kidney to produce highly concentrated urine.
- They are located at the cortico-medullary junction, while cortical nephrons are located in the outer cortex.
Given below are two statements:
Statement I: The cerebral hemispheres are connected by a nerve tract known as corpus callosum.
Statement II: The brain stem consists of the medulla oblongata, pons, and cerebrum.
In the light of the above statements, choose the most appropriate answer from the options given below:
View Solution
Step 1: Evaluating Statement I
- The cerebral hemispheres are the two large portions of the brain.
- They are connected by a thick bundle of nerve fibers called the corpus callosum.
- This structure allows communication between the left and right hemispheres.
- Since this statement is scientifically accurate, Statement I is correct.
Step 2: Evaluating Statement II
- The brain stem consists of the medulla oblongata, pons, and midbrain, but not the cerebrum.
- The cerebrum is the largest part of the brain, responsible for higher cognitive functions.
- Since this statement incorrectly includes the cerebrum in the brain stem, Statement II is incorrect.
Step 3: Evaluating the Given Options
- Option (A): Incorrect. Statement I is correct, but Statement II is incorrect.
- Option (B): Incorrect. Statement II is incorrect.
- Option (C): Incorrect. Statement I is correct.
- Option (D): Correct. Statement I is correct, but Statement II is incorrect.
Step 4: Conclusion
Since Statement I is correct but Statement II is incorrect, the correct answer is option (D). Quick Tip: - The corpus callosum connects the left and right cerebral hemispheres. - The brain stem consists of the \textbf{midbrain, pons, and medulla oblongata}, but not the cerebrum. - The cerebrum is responsible for higher-order brain functions like memory, learning, and reasoning.
Match List I with List II related to the digestive system of cockroach:

Choose the correct answer from the options given below:
View Solution
Step 1: Understanding List I Terms
- Storage of food in cockroach occurs in the Crop (A-IV).
- Gastric Caeca (B-II) are 6-8 blind tubules that help in digestion.
- Malpighian tubules (C-III) are excretory organs that function at the midgut-hindgut junction.
- Grinding of food is performed by the Gizzard (D-I).
Step 2: Matching with List II
- A-IV: Crop stores food in the digestive system of cockroach.
- B-II: Gastric Caeca are involved in digestion at the foregut-midgut junction.
- C-III: Malpighian tubules excrete nitrogenous wastes.
- D-I: The gizzard is responsible for grinding the food.
Step 3: Verifying the Correct Answer
- The correct matching (A-IV, B-II, C-III, D-I) aligns with option (B).
Step 4: Conclusion
The correctly matched list validates option (B) as the correct answer. Quick Tip: - Crop stores food before digestion. - Gastric Caeca secretes digestive enzymes. - Malpighian tubules are excretory in function. - Gizzard helps in grinding food particles.
Match List I with List II:

Choose the correct answer from the options given below:
View Solution
Step 1: Understanding List I (Epithelial Types)
- Unicellular glandular epithelium (A-III): Found in the goblet cells of the alimentary canal, responsible for mucus secretion.
- Compound epithelium (B-IV): Located on the moist surface of the buccal cavity, providing protection.
- Multicellular glandular epithelium (C-I): Present in salivary glands, where it secretes saliva.
- Endocrine glandular epithelium (D-II): Found in the pancreas, which has both endocrine and exocrine functions.
Step 2: Matching with List II
- A-III: Unicellular glandular epithelium → Goblet cells in the alimentary canal.
- B-IV: Compound epithelium → Moist surface of the buccal cavity.
- C-I: Multicellular glandular epithelium → Salivary glands.
- D-II: Endocrine glandular epithelium → Pancreas.
Step 3: Verifying the Correct Match
- The correct match (A-III, B-IV, C-I, D-II) corresponds to option (D).
Step 4: Conclusion
The correct matching of the items confirms that option (D) is the correct answer. Quick Tip: - Unicellular Glandular Epithelium: Found in goblet cells, secreting mucus. - Compound Epithelium: Provides protection and is present in the buccal cavity. - Multicellular Glandular Epithelium: Found in exocrine glands like salivary glands. - Endocrine Glandular Epithelium: Found in hormone-secreting glands like the pancreas.
As per ABO blood grouping system, the blood group of father is B\(^+\), mother is A\(^+\) and child is O\(^+\). Their respective genotype can be:
A. \( I^B I^A / ii \)
B. \( I^B I^B / I^A ii \)
C. \( I^A I^B / I^A I^B \)
D. \( I^A i / I^B I^A \)
E. \( ii I^B / I^A I^B \)
Choose the most appropriate answer from the options given below:
View Solution
Step 1: Understanding the ABO Blood Grouping System
- Blood group is determined by the IA, IB, and i alleles.
- A person with blood group A can have the genotypes IAIA or IAi.
- A person with blood group B can have the genotypes IBIB or IBi.
- A person with blood group O must have the genotype ii (homozygous recessive).
Step 2: Evaluating the Blood Groups of the Parents
- Father has a B\(^{+}\) blood group → Possible genotypes: IBIB or IBi.
- Mother has an A\(^{+}\) blood group → Possible genotypes: IAIA or IAi.
- Child has an O\(^{+}\) blood group → The only possible genotype for the child is ii.
Step 3: Determining the Parental Genotypes
- The child has the ii genotype, meaning they inherited one 'i' allele from each parent.
- Therefore, both parents must carry the 'i' allele, meaning their genotypes must be IAi (mother) and IBi (father).
Step 4: Evaluating the Given Options
- Option A (IB IA / ii) → Correct, as it represents the correct possible genotypes for the parents.
- Options B, C, D, and E → Incorrect, as they either contain incorrect allele combinations or do not allow for the child’s ii genotype.
Step 5: Conclusion
Since the correct representation is option (A), the correct answer is option (B) A only. Quick Tip: - Blood group O individuals must inherit two 'i' alleles (one from each parent). - The presence of 'i' in both parents confirms they must be heterozygous (IAi and IBi). - Rh factor (positive or negative) is inherited separately from the ABO system.
Match List I with List II:

Choose the correct answer from the options given below:
View Solution
Step 1: Understanding List I (Diseases)
- Exophthalmic goiter (A-III): Caused by an overproduction of thyroid hormones, leading to protruding eyeballs.
- Acromegaly (B-IV): Caused by excessive secretion of growth hormone, resulting in abnormal bone growth.
- Cushing’s syndrome (C-I): Results from elevated cortisol levels, which can cause symptoms like a "moon face" and hyperglycemia.
- Cretinism (D-II): Caused by insufficient thyroid hormone secretion, leading to stunted growth and intellectual disability.
Step 2: Matching with List II
- A-III: Exophthalmic goiter → Overproduction of thyroid hormone & protruding eyeballs.
- B-IV: Acromegaly → Excessive secretion of growth hormone.
- C-I: Cushing’s syndrome → High cortisol secretion, leading to a "moon face" & hyperglycemia.
- D-II: Cretinism → Insufficient thyroid hormone secretion and stunted growth.
Step 3: Verifying the Correct Match
- The correct match (A-III, B-IV, C-I, D-II) corresponds to option (A).
Step 4: Conclusion
The correct matching of the diseases confirms that option (A) is the correct answer. Quick Tip: - Exophthalmic goiter: Results from overactive thyroid, causing bulging eyes. - Acromegaly: Caused by excessive GH secretion in adults, leading to enlarged features. - Cushing’s syndrome: High cortisol levels cause weight gain, hyperglycemia, and facial puffiness. - Cretinism: Hypothyroidism in children leads to severe developmental issues.
NEET Previous Year Question Papers with Answer Keys
| NEET 2023 Question Papers | NEET 2022 Question Papers | NEET 2021 Question Papers |
| NEET 2020 Question Papers | NEET 2019 Question Papers | NEET 2018 Question Papers |







Comments