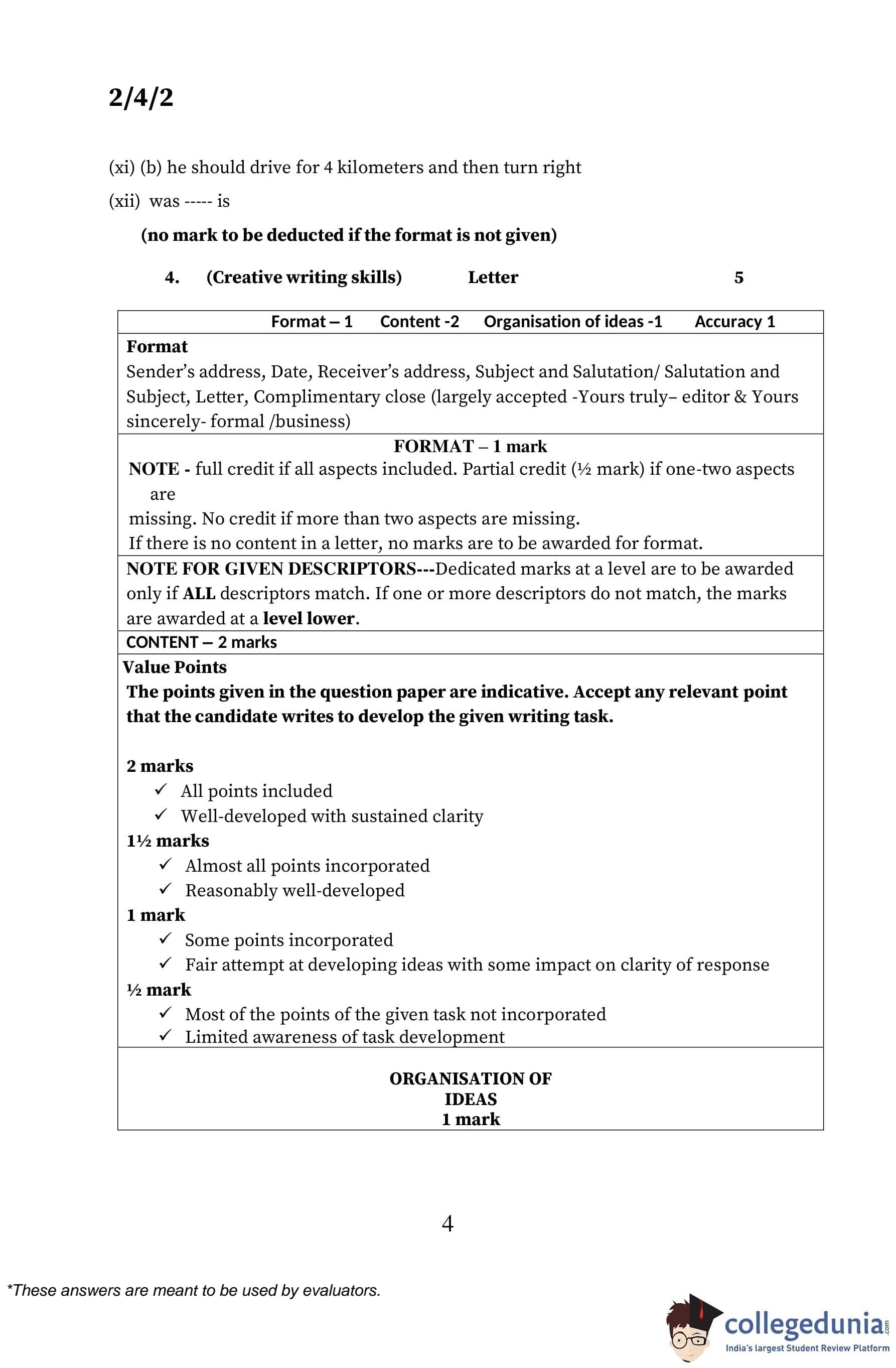
CBSE Class 10 English Question Paper 2023 with Answer Key (Set 2- 2/4/2) is available for download here. The exam was conducted by the Central Board of Secondary Education on February 27, 2023 in the Morning Session 10:30 AM to 1:30 PM. According to initial student reaction, the CBSE Class 10 English Paper was rated as easy in difficulty level. The question paper was divided into three sections Reading, Writing & Grammar and Literature.
CBSE Class 10 English (Set 2- 2/4/2) Question Paper 2023 with Answer Key
| CBSE Class 10 English Question Paper 2023 PDF | CBSE Class 10 English Answer Key 2023 PDF | Detailed Solutions |
|---|---|---|
| Download PDF | Download PDF | Download PDF |








Comments