CBSE Class 10 Mathematics Basic Question Paper 2023 with Answer Key (Set 1- 430/4/1) is available for download here. The exam was conducted by the Central Board of Secondary Education on March 21, 2023 in the Morning Session 10:30 AM to 1:30 PM. The medium of paper was English & Hindi. According to initial student reaction, the CBSE Class 10 Mathematics Basic paper was rated as Moderate in difficulty level. The question paper comprised a total of 38 questions divided among 5 sections.
CBSE Class 10 Mathematics Basic (Set 1- 430/4/1) Question Paper 2023 with Answer Key
| CBSE Class 10 Mathematics Question Paper 2023 PDF | CBSE Class 10 Mathematics Answer Key 2023 PDF | Detailed Solutions |
|---|---|---|
| Download PDF | Download PDF | Download PDF |








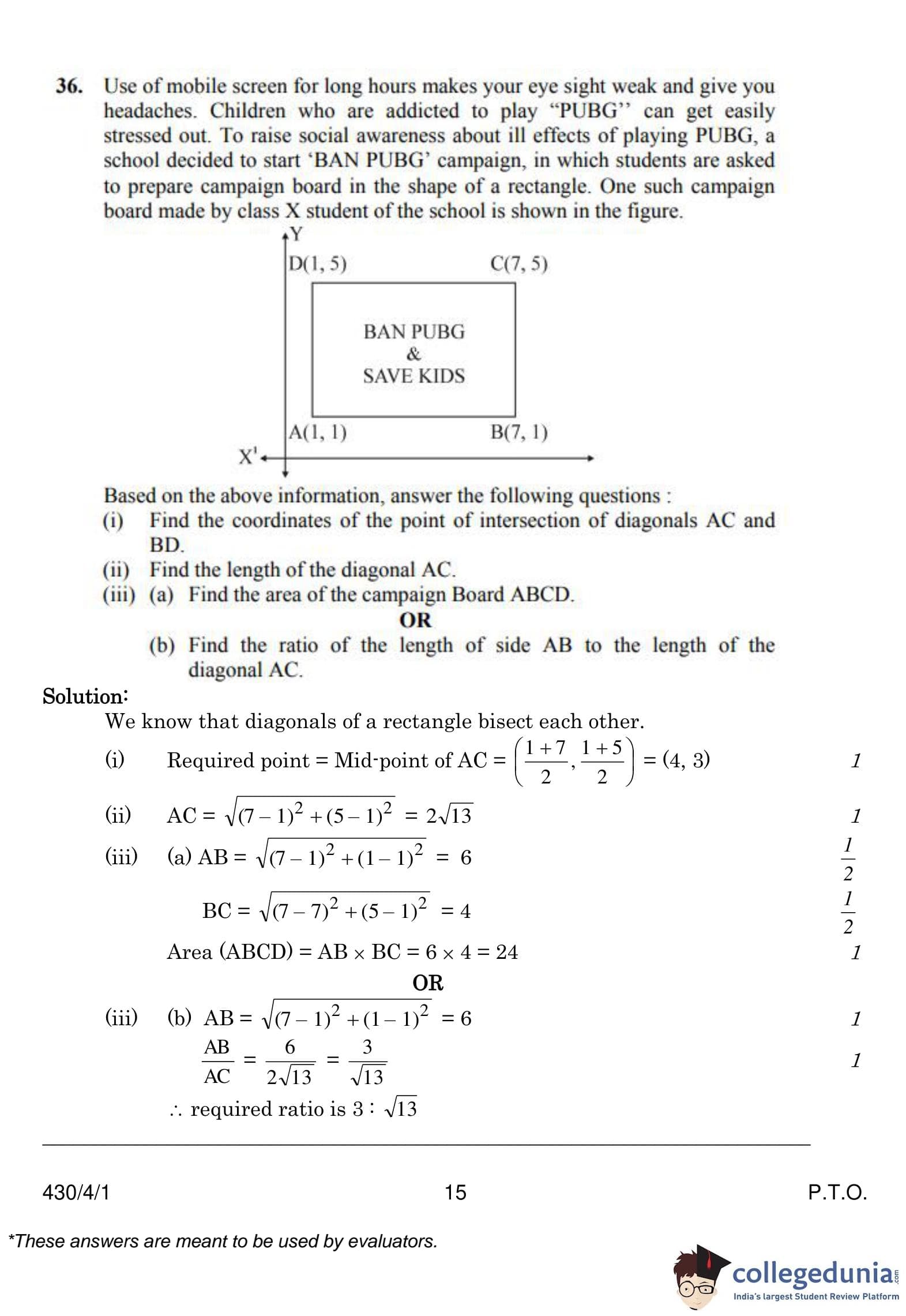
Comments